R语言线性分类判别LDA和二次分类判别QDA实例

373 阅读2分钟

R语言实例链接:tecdat.cn/?p=5689

原文出处:拓端数据部落公众号

 


一、线性分类判别

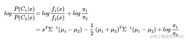
对于二分类问题,LDA针对的是:数据服从高斯分布,且均值不同,方差相同

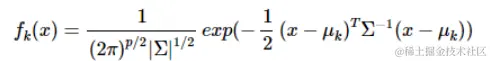
概率密度:

p是数据的维度。

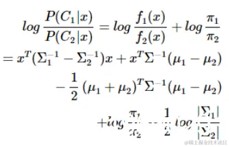
分类判别函数:

可以看出结果是关于x的一次函数:wx+w0,线性分类判别的说法由此得来。

参数计算:

 

二、二次分类判别

对于二分类问题,QDA针对的是:数据服从高斯分布,且均值不同,方差不同

数据方差相同的时候,一次判别就可以,如左图所示;但如果方差差别较大,就是一个二次问题了,像右图那样。

 从sklearn给的例子中,也容易观察到:

QDA对数据有更好的适用性,QDA判别公式:

 

三、Fisher判据

A-Fisher理论推导

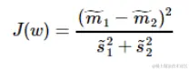
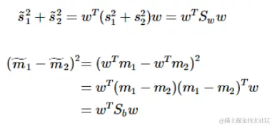
 Fisher一个总原则是:投影之后的数据,最小化类内误差,同时最大化类间误差

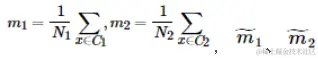
其中,分别对应投影后的类均值。对应投影后的类内方差。

重写类内总方差、类间距离:

 准则函数重写:

容易求解:

其中常借助SVD求解:Sw = U∑VT,Sw-1 = U∑-1VT,借助特征值分解也是可以的。

 


参考文献

1.用SPSS估计HLM层次线性模型模型

2.R语言线性判别分析(LDA),二次判别分析(QDA)和正则判别分析(RDA)

3.基于R语言的lmer混合线性回归模型

4.R语言Gibbs抽样的贝叶斯简单线性回归仿真分析

5.在r语言中使用GAM(广义相加模型)进行电力负荷时间序列分析

6.使用SAS,Stata,HLM,R,SPSS和Mplus的分层线性模型HLM

7.R语言中的岭回归、套索回归、主成分回归:线性模型选择和正则化

8.R语言用线性回归模型预测空气质量臭氧数据

9.R语言分层线性模型案例