R语言广义线性模型索赔频率预测:过度分散、风险暴露数和树状图可视化

147 阅读5分钟

原文链接:http://tecdat.cn/?p=13963

原文出处:拓端数据部落公众号

 

在精算科学和保险费率制定中,考虑到**风险敞口**可能是一场噩梦。不知何故,简单的结果是因为计算起来更加复杂,只是因为我们必须考虑到暴露是一个异构变量这一事实。

 

保险费率制定中的风险敞口可以看作是审查数据的问题(在我的数据集中,风险敞口始终小于1,因为观察结果是合同,而不是保单持有人),利息变量是未观察到的变量,因为我们必须为保险合同定价一年(整年)的保险期。因此,我们必须对保险索赔的年度频率进行建模。

 

在我们的数据集中,我们考虑索赔总数与总风险承担比率。例如,如果我们考虑泊松过程,可能性是

https://latex.codecogs.com/gif.latex?\mathcal{L}(\lambda,\boldsymbol{Y},\boldsymbol{E})=\prod_{i=1}^n%20\frac{e^{-\lambda%20E_i}%20[\lambda%20E_i]^{Y_i}}{Y_i!}

https://latex.codecogs.com/gif.latex?\log%20\mathcal{L}(\lambda,\boldsymbol{Y},\boldsymbol{E})%20=%20-\lambda%20\sum_{i=1}^n%20E_i%20+\sum_{i=1}^n%20Y_i%20\log[\lambda%20E_i]%20-%20\log\left(\prod_{i=1}^n%20Y_i!\right)

 

 

因此,我们有一个预期值的估算,一个自然估算 。

现在,我们需要估算方差,更准确地说是条件变量。

这可以用来检验泊松假设是否对频率建模有效。考虑以下数据集,

>  nombre=rbind(nombre1,nombre2)
>  baseFREQ = merge(contrat,nombre)

在这里,我们确实有两个感兴趣的变量,即每张合约的敞口,

>  E <- baseFREQ$exposition

和(观察到的)索赔数量(在该时间段内)

>  Y <- baseFREQ$nbre

无需协变量,可以计算每个合同的平均(每年)索赔数量以及相关的方差

> (mean=weighted.mean(Y/E,E))
[1] 0.07279295
> (variance=sum((Y-mean*E)^2)/sum(E)) 
[1] 0.08778567

看起来方差(略)大于平均值(我们将在几周后看到如何更正式地对其进行测试)。可以在保单持有人居住的地区添加协变量,例如人口密度,


Density, zone 11 average = 0.07962411  variance = 0.08711477 
Density, zone 21 average = 0.05294927  variance = 0.07378567 
Density, zone 22 average = 0.09330982  variance = 0.09582698 
Density, zone 23 average = 0.06918033  variance = 0.07641805 
Density, zone 24 average = 0.06004009  variance = 0.06293811 
Density, zone 25 average = 0.06577788  variance = 0.06726093 
Density, zone 26 average = 0.0688496   variance = 0.07126078 
Density, zone 31 average = 0.07725273  variance = 0.09067 
Density, zone 41 average = 0.03649222  variance = 0.03914317 
Density, zone 42 average = 0.08333333  variance = 0.1004027 
Density, zone 43 average = 0.07304602  variance = 0.07209618 
Density, zone 52 average = 0.06893741  variance = 0.07178091 
Density, zone 53 average = 0.07725661  variance = 0.07811935 
Density, zone 54 average = 0.07816105  variance = 0.08947993 
Density, zone 72 average = 0.08579731  variance = 0.09693305 
Density, zone 73 average = 0.04943033  variance = 0.04835521 
Density, zone 74 average = 0.1188611   variance = 0.1221675 
Density, zone 82 average = 0.09345635  variance = 0.09917425 
Density, zone 83 average = 0.04299708  variance = 0.05259835 
Density, zone 91 average = 0.07468126  variance = 0.3045718 
Density, zone 93 average = 0.08197912  variance = 0.09350102 
Density, zone 94 average = 0.03140971  variance = 0.04672329

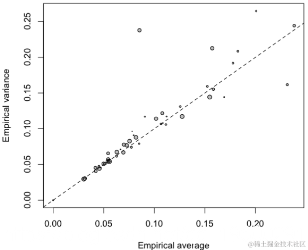
可以可视化该信息

> plot(meani,variancei,cex=sqrt(Ei),col="grey",pch=19,
+ xlab="Empirical average",ylab="Empirical variance")
> points(meani,variancei,cex=sqrt(Ei))

 

圆圈的大小与组的大小有关(面积与组内的总暴露量成正比)。第一个对角线对应于泊松模型,即方差应等于均值。也可以考虑其他协变量

 

或汽车品牌,

 

也可以将驾驶员的年龄视为分类变量

http://freakonometrics.hypotheses.org/files/2013/02/Capture-d%E2%80%99e%CC%81cran-2013-02-01-a%CC%80-10.51.40.png

让我们更仔细地看一下不同年龄段的人,

 

在右边,我们可以观察到年轻的(没有经验的)驾驶员。那是预料之中的。但是有些类别  低于  第一个对角线:期望的频率很大,但方差不大。也就是说,我们  可以肯定的  是,年轻的驾驶员会发生更多的车祸。相反,它不是一个异类:年轻的驾驶员可以看作是一个相对同质的类,发生车祸的频率很高。

使用原始数据集(在这里,我仅使用具有50,000个客户的子集),我们确实获得了以下图形:

 

由于圈正在从18岁下降到25岁,因此具有明显的经验影响。

同时我们可以发现有可能将曝光量视为标准变量,并查看系数实际上是否等于1。如果没有任何协变量,



Call:
glm(formula = Y ~ log(E), family = poisson("log"))

Deviance Residuals: 
    Min       1Q   Median       3Q      Max  
-0.3988  -0.3388  -0.2786  -0.1981  12.9036  

Coefficients:
            Estimate Std. Error z value Pr(>|z|)    
(Intercept) -2.83045    0.02822 -100.31   <2e-16 ***
log(E)       0.53950    0.02905   18.57   <2e-16 ***
---
Signif. codes:  0 ‘***’ 0.001 ‘**’ 0.01 ‘*’ 0.05 ‘.’ 0.1 ‘ ’ 1 

(Dispersion parameter for poisson family taken to be 1)

    Null deviance: 12931  on 49999  degrees of freedom
Residual deviance: 12475  on 49998  degrees of freedom
AIC: 16150

Number of Fisher Scoring iterations: 6

也就是说,该参数显然严格小于1。它与重要性均不相关,

Linear hypothesis test

Hypothesis:
log(E) = 1

Model 1: restricted model
Model 2: Y ~ log(E)

  Res.Df Df  Chisq Pr(>Chisq)    
1  49999                         
2  49998  1 251.19  < 2.2e-16 ***
---
Signif. codes:  0 ‘***’ 0.001 ‘**’ 0.01 ‘*’ 0.05 ‘.’ 0.1 ‘ ’ 1

我也没有考虑协变量,



Deviance Residuals: 
    Min       1Q   Median       3Q      Max  
-0.7114  -0.3200  -0.2637  -0.1896  12.7104  

Coefficients:
                              Estimate Std. Error z value Pr(>|z|)    
(Intercept)                  -14.07321  181.04892  -0.078 0.938042    
log(exposition)                0.56781    0.03029  18.744  < 2e-16 ***
carburantE                    -0.17979    0.04630  -3.883 0.000103 ***
as.factor(ageconducteur)19    12.18354  181.04915   0.067 0.946348    
as.factor(ageconducteur)20    12.48752  181.04902   0.069 0.945011

因此,假设暴露是此处的外生变量可能是一个过强的假设。

接下来我们开始讨论建模索赔频率时的过度分散。在前面,我讨论了具有不同暴露程度的经验方差的计算。但是我只使用一个因素来计算类。当然,可以使用更多的因素。例如,使用因子的笛卡尔积


Class D A (17,24]  average = 0.06274415  variance = 0.06174966 
Class D A (24,40]  average = 0.07271905  variance = 0.07675049 
Class D A (40,65]  average = 0.05432262  variance = 0.06556844 
Class D A (65,101] average = 0.03026999  variance = 0.02960885 
Class D B (17,24]  average = 0.2383109   variance = 0.2442396 
Class D B (24,40]  average = 0.06662015  variance = 0.07121064 
Class D B (40,65]  average = 0.05551854  variance = 0.05543831 
Class D B (65,101] average = 0.0556386   variance = 0.0540786 
Class D C (17,24]  average = 0.1524552   variance = 0.1592623 
Class D C (24,40]  average = 0.0795852   variance = 0.09091435 
Class D C (40,65]  average = 0.07554481  variance = 0.08263404 
Class D C (65,101] average = 0.06936605  variance = 0.06684982 
Class D D (17,24]  average = 0.1584052   variance = 0.1552583 
Class D D (24,40]  average = 0.1079038   variance = 0.121747 
Class D D (40,65]  average = 0.06989518  variance = 0.07780811 
Class D D (65,101] average = 0.0470501   variance = 0.04575461 
Class D E (17,24]  average = 0.2007164   variance = 0.2647663 
Class D E (24,40]  average = 0.1121569   variance = 0.1172205 
Class D E (40,65]  average = 0.106563    variance = 0.1068348 
Class D E (65,101] average = 0.1572701   variance = 0.2126338 
Class D F (17,24]  average = 0.2314815   variance = 0.1616788 
Class D F (24,40]  average = 0.1690485   variance = 0.1443094 
Class D F (40,65]  average = 0.08496827  variance = 0.07914423 
Class D F (65,101] average = 0.1547769   variance = 0.1442915 
Class E A (17,24]  average = 0.1275345   variance = 0.1171678 
Class E A (24,40]  average = 0.04523504  variance = 0.04741449 
Class E A (40,65]  average = 0.05402834  variance = 0.05427582 
Class E A (65,101] average = 0.04176129  variance = 0.04539265 
Class E B (17,24]  average = 0.1114712   variance = 0.1059153 
Class E B (24,40]  average = 0.04211314  variance = 0.04068724 
Class E B (40,65]  average = 0.04987117  variance = 0.05096601 
Class E B (65,101] average = 0.03123003  variance = 0.03041192 
Class E C (17,24]  average = 0.1256302   variance = 0.1310862 
Class E C (24,40]  average = 0.05118006  variance = 0.05122782 
Class E C (40,65]  average = 0.05394576  variance = 0.05594004 
Class E C (65,101] average = 0.04570239  variance = 0.04422991 
Class E D (17,24]  average = 0.1777142   variance = 0.1917696 
Class E D (24,40]  average = 0.06293331  variance = 0.06738658 
Class E D (40,65]  average = 0.08532688  variance = 0.2378571 
Class E D (65,101] average = 0.05442916  variance = 0.05724951 
Class E E (17,24]  average = 0.1826558   variance = 0.2085505 
Class E E (24,40]  average = 0.07804062  variance = 0.09637156 
Class E E (40,65]  average = 0.08191469  variance = 0.08791804 
Class E E (65,101] average = 0.1017367   variance = 0.1141004 
Class E F (17,24]  average = 0           variance = 0 
Class E F (24,40]  average = 0.07731177  variance = 0.07415932 
Class E F (40,65]  average = 0.1081142   variance = 0.1074324 
Class E F (65,101] average = 0.09071118  variance = 0.1170159

同样,可以将方差与平均值作图,

> plot(vm,vv,cex=sqrt(ve),col="grey",pch=19,
+ xlab="Empirical average",ylab="Empirical variance")
> points(vm,vv,cex=sqrt(ve))
> abline(a=0,b=1,lty=2)

 

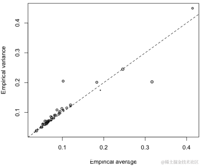
一种替代方法是使用树。树可以从其他变量获得,但它应该是相当接近我们理想的模型。在这里,我确实使用了整个数据库(超过60万行)

树如下

> plot(T)
> text(T)

 

现在,每个分支都定义了一个类,可以使用它来定义一个类。应该被认为是同质的。


Class  6 average =   0.04010406  variance = 0.04424163 
Class  8 average =   0.05191127  variance = 0.05948133 
Class  9 average =   0.07442635  variance = 0.08694552 
Class  10 average =  0.4143646   variance = 0.4494002 
Class  11 average =  0.1917445   variance = 0.1744355 
Class  15 average =  0.04754595  variance = 0.05389675 
Class  20 average =  0.08129577  variance = 0.0906322 
Class  22 average =  0.05813419  variance = 0.07089811 
Class  23 average =  0.06123807  variance = 0.07010473 
Class  24 average =  0.06707301  variance = 0.07270995 
Class  25 average =  0.3164557   variance = 0.2026906 
Class  26 average =  0.08705041  variance = 0.108456 
Class  27 average =  0.06705214  variance = 0.07174673 
Class  30 average =  0.05292652  variance = 0.06127301 
Class  31 average =  0.07195285  variance = 0.08620593 
Class  32 average =  0.08133722  variance = 0.08960552 
Class  34 average =  0.1831559   variance = 0.2010849 
Class  39 average =  0.06173885  variance = 0.06573939 
Class  41 average =  0.07089419  variance = 0.07102932 
Class  44 average =  0.09426152  variance = 0.1032255 
Class  47 average =  0.03641669  variance = 0.03869702 
Class  49 average =  0.0506601   variance = 0.05089276 
Class  50 average =  0.06373107  variance = 0.06536792 
Class  51 average =  0.06762947  variance = 0.06926191 
Class  56 average =  0.06771764  variance = 0.07122379 
Class  57 average =  0.04949142  variance = 0.05086885 
Class  58 average =  0.2459016   variance = 0.2451116 
Class  59 average =  0.05996851  variance = 0.0615773 
Class  61 average =  0.07458053  variance = 0.0818608 
Class  63 average =  0.06203737  variance = 0.06249892 
Class  64 average =  0.07321618  variance = 0.07603106 
Class  66 average =  0.07332127  variance = 0.07262425 
Class  68 average =  0.07478147  variance = 0.07884597 
Class  70 average =  0.06566728  variance = 0.06749411 
Class  71 average =  0.09159605  variance = 0.09434413 
Class  75 average =  0.03228927  variance = 0.03403198 
Class  76 average =  0.04630848  variance = 0.04861813 
Class  78 average =  0.05342351  variance = 0.05626653 
Class  79 average =  0.05778622  variance = 0.05987139 
Class  80 average =  0.0374993   variance = 0.0385351 
Class  83 average =  0.06721729  variance = 0.07295168 
Class  86 average =  0.09888492  variance = 0.1131409 
Class  87 average =  0.1019186   variance = 0.2051122 
Class  88 average =  0.05281703  variance = 0.0635244 
Class  91 average =  0.08332136  variance = 0.09067632 
Class  96 average =  0.07682093  variance = 0.08144446 
Class  97 average =  0.0792268   variance = 0.08092019 
Class  99 average =  0.1019089   variance = 0.1072126 
Class  100 average = 0.1018262   variance = 0.1081117 
Class  101 average = 0.1106647   variance = 0.1151819 
Class  103 average = 0.08147644  variance = 0.08411685 
Class  104 average = 0.06456508  variance = 0.06801061 
Class  107 average = 0.1197225   variance = 0.1250056 
Class  108 average = 0.0924619   variance = 0.09845582 
Class  109 average = 0.1198932   variance = 0.1209162

在这里,当根据索赔的经验平均值绘制经验方差时,我们得到

 

在这里,我们可以识别剩余异质性的类。