R语言中回归模型预测的不同类型置信区间应用比较分析

170 阅读4分钟

原文链接tecdat.cn/?p=13913 

原文出处:拓端数据部落公众号

 

 

我们讨论了使用程序来获得预测的置信区间的方法。我们将讨论线性回归。

 

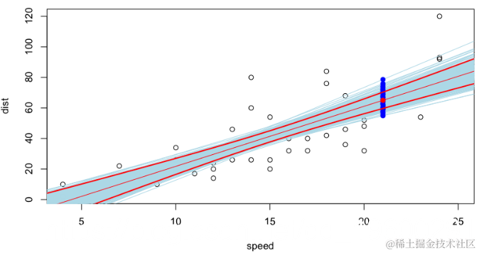
> plot(cars)
> reg=lm(dist~speed,data=cars)
> abline(reg,col="red")
> n=nrow(cars)
> x=21
> points(x,predict(reg,newdata= data.frame(speed=x)),pch=19,col="red")

 

我们正在这里做出一个预测。正如在R课堂上(以及在预测模型的过程中)所回顾的,当我们要为预测提供一个置信区间时,建议您为预测器确定置信区间(这将取决于预测误差)参数的估计)和潜在值的置信区间(这也取决于模型误差,即残差的离散度)。让我们从预测的置信区间开始:


abline(reg,col="light blue")
points(x,predict(reg,newdata=data.frame(speed=x)),pch=19,col="blue")

蓝色值是可能的预测,可以通过在我们的观察数据库中重新采样获得。残差(以及因此的斜率和回归线的常数的估计值)的正态性假设下的置信区间(为90%)如下


lines(0:30,U[,2],col="red",lwd=2)
lines(0:30,U[,3],col="red",lwd=2)

 

我们可以在这里比较在500个生成的数据集上获得的值的分布,并比较经验分位数和假设正态性下的分位数,

 polygon(c(D$x[I],rev(D$x[I])),c(D$y[I],rep(0,length(I))),col="blue",border=NA)

数量比较

      5%      95% 
58.63689 70.31281 
       fit      lwr      upr
65.00149 59.65934 70.34364

现在,让我们来看另一种类型的置信区间,即关注变量的可能值。这次,除了绘制新样本和计算预测值之外,我们还将在每次绘制中添加噪声,我们获得可能的值。

 points(x,Yx[s],pch=19,col="red")

 

同样,在这里,我们可以比较(以图形方式开始)通过重采样获得的值,以及在正常情况下获得的值,

 polygon(c(D$x[I],rev(D$x[I])),c(D$y[I],rep(0,length(I))),col="blue",border=NA)

 

从数字上给出以下比较

      5%      95% 
44.43468 96.01357 
       fit      lwr      upr
1 67.63136 45.16967 90.09305

这次右侧略有不对称。显然,我们不能假设高斯残差,因为正值比负值大。考虑到数据的性质(距离不能为负),这是合理的。

然后,我们开始讨论使用回归模型。

     [,1] [,2] [,3] [,4] [,5] [,6]
[1,] 3209 4372 4411 4428 4435 4456
[2,] 3367 4659 4696 4720 4730   NA
[3,] 3871 5345 5398 5420   NA   NA
[4,] 4239 5917 6020   NA   NA   NA
[5,] 4929 6794   NA   NA   NA   NA
[6,] 5217   NA   NA   NA   NA   NA
     [,1] [,2] [,3] [,4] [,5] [,6]
[1,] 3209 1163   39   17    7   21
[2,] 3367 1292   37   24   10   NA
[3,] 3871 1474   53   22   NA   NA
[4,] 4239 1678  103   NA   NA   NA
[5,] 4929 1865   NA   NA   NA   NA
[6,] 5217   NA   NA   NA   NA   NA

然后,我们可以建立一个数据。


> head(base,12)
      y   ai bj
1  3209 2000  0
2  3367 2001  0
3  3871 2002  0
4  4239 2003  0
5  4929 2004  0
6  5217 2005  0
7  1163 2000  1
8  1292 2001  1
9  1474 2002  1
10 1678 2003  1
11 1865 2004  1
12   NA 2005  1
> tail(base,12)
    y   ai bj
25  7 2000  4
26 10 2001  4
27 NA 2002  4
28 NA 2003  4
29 NA 2004  4
30 NA 2005  4
31 21 2000  5
32 NA 2001  5
33 NA 2002  5
34 NA 2003  5
35 NA 2004  5
36 NA 2005  5

然后,我们可以使用基于 Stavros Christofides的对数增量支付模型回归模型,该模型基于对数正态模型,该模型最初由Etienne de Vylder于1978年提出。


Residuals:
     Min       1Q   Median       3Q      Max 
-0.26374 -0.05681  0.00000  0.04419  0.33014 

Coefficients:
                  Estimate Std. Error t value Pr(>|t|)    
(Intercept)         7.9471     0.1101  72.188 6.35e-15 ***
as.factor(ai)2001   0.1604     0.1109   1.447  0.17849    
as.factor(ai)2002   0.2718     0.1208   2.250  0.04819 *  
as.factor(ai)2003   0.5904     0.1342   4.399  0.00134 ** 
as.factor(ai)2004   0.5535     0.1562   3.543  0.00533 ** 
as.factor(ai)2005   0.6126     0.2070   2.959  0.01431 *  
as.factor(bj)1     -0.9674     0.1109  -8.726 5.46e-06 ***
as.factor(bj)2     -4.2329     0.1208 -35.038 8.50e-12 ***
as.factor(bj)3     -5.0571     0.1342 -37.684 4.13e-12 ***
as.factor(bj)4     -5.9031     0.1562 -37.783 4.02e-12 ***
as.factor(bj)5     -4.9026     0.2070 -23.685 4.08e-10 ***
---
Signif. codes:  0 ‘***’ 0.001 ‘**’ 0.01 ‘*’ 0.05 ‘.’ 0.1   1 

Residual standard error: 0.1753 on 10 degrees of freedom
  (15 observations deleted due to missingness)
Multiple R-squared: 0.9975,	Adjusted R-squared: 0.9949 
F-statistic: 391.7 on 10 and 10 DF,  p-value: 1.338e-11 


       [,1]   [,2] [,3] [,4] [,5] [,6]
[1,] 2871.2 1091.3 41.7 18.3  7.8 21.3
[2,] 3370.8 1281.2 48.9 21.5  9.2 25.0
[3,] 3768.0 1432.1 54.7 24.0 10.3 28.0
[4,] 5181.5 1969.4 75.2 33.0 14.2 38.5
[5,] 4994.1 1898.1 72.5 31.8 13.6 37.1
[6,] 5297.8 2013.6 76.9 33.7 14.5 39.3

> sum(base$py[is.na(base$y)])
[1] 2481.857

我们获得与通过Chain Ladder方法获得的结果略有不同。如Hachemeister和Stanard在1975年所建议的,我们还可以尝试Poisson回归(具有对数链接),





Deviance Residuals: 
    Min       1Q   Median       3Q      Max  
-2.3426  -0.4996   0.0000   0.2770   3.9355  

Coefficients:
                  Estimate Std. Error z value Pr(>|z|)    
(Intercept)        8.05697    0.01551 519.426  < 2e-16 ***
as.factor(ai)2001  0.06440    0.02090   3.081  0.00206 ** 
as.factor(ai)2002  0.20242    0.02025   9.995  < 2e-16 ***
as.factor(ai)2003  0.31175    0.01980  15.744  < 2e-16 ***
as.factor(ai)2004  0.44407    0.01933  22.971  < 2e-16 ***
as.factor(ai)2005  0.50271    0.02079  24.179  < 2e-16 ***
as.factor(bj)1    -0.96513    0.01359 -70.994  < 2e-16 ***
as.factor(bj)2    -4.14853    0.06613 -62.729  < 2e-16 ***
as.factor(bj)3    -5.10499    0.12632 -40.413  < 2e-16 ***
as.factor(bj)4    -5.94962    0.24279 -24.505  < 2e-16 ***
as.factor(bj)5    -5.01244    0.21877 -22.912  < 2e-16 ***
---
Signif. codes:  0 ‘***’ 0.001 ‘**’ 0.01 ‘*’ 0.05 ‘.’ 0.1   1 

(Dispersion parameter for poisson family taken to be 1)

    Null deviance: 46695.269  on 20  degrees of freedom
Residual deviance:    30.214  on 10  degrees of freedom
  (15 observations deleted due to missingness)
AIC: 209.52

Number of Fisher Scoring iterations: 4


> round(matrix(base$py2,n,n),1)
       [,1]   [,2] [,3] [,4] [,5] [,6]
[1,] 3155.7 1202.1 49.8 19.1  8.2 21.0
[2,] 3365.6 1282.1 53.1 20.4  8.8 22.4
[3,] 3863.7 1471.8 61.0 23.4 10.1 25.7
[4,] 4310.1 1641.9 68.0 26.1 11.2 28.7
[5,] 4919.9 1874.1 77.7 29.8 12.8 32.7
[6,] 5217.0 1987.3 82.4 31.6 13.6 34.7
> 
> sum(base$py2[is.na(base$y)])
[1] 2426.985

该预测与通过链梯方法获得的估计量一致。Klaus Schmidt和AngelaWünsche于1998年在链梯,边际总和和最大似然估计中建立了带有最小偏差方法的链接。