R语言预测人口死亡率:用李·卡特(Lee-Carter)模型、非线性模型进行平滑估计

659 阅读2分钟

原文链接:tecdat.cn/?p=13663

原文出处:拓端数据部落公众号


 

今天早上,我和同事一起分析死亡率。我们在研究人口数据集,可以观察到很多波动性。

我们得到这样的结果:

 

 

由于我们缺少一些数据,因此我们想使用一些广义非线性模型。因此,让我们看看如何获​​得死亡率曲面图的平滑估计。我们编写一些代码。


D=DEATH$Male
E=EXPO$Male
A=as.numeric(as.character(DEATH$Age))
Y=DEATH$Year
I=(A<100)
base=data.frame(D=D,E=E,Y=Y,A=A)
subbase=base[I,]
subbase=subbase[!is.na(subbase$A),]

第一个想法可以是使用Poisson模型,其中死亡率是年龄和年份的平稳函数,类似于

可以使用


persp(vZ,theta=-30,col="green",shade=TRUE,xlab="Ages (0-100)",
ylab="Years (1900-2005)",zlab="Mortality rate (log)")

死亡率曲面图

 

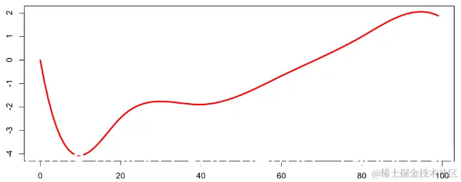
还可以提取年份的平均值,这是 Lee-Carter模型中系数的解释  

predAx=function(a) mean(predict(regbsp,newdata=data.frame(A=a,
Y=seq(min(subbase$Y),max(subbase$Y)),E=1)))
plot(seq(0,99),Vectorize(predAx)(seq(0,99)),col="red",lwd=3,type="l")

我们有以下平滑的死亡率

 

回顾下李·卡特模型是

可以使用以下方法获得参数估计值

persp(vZ,theta=-30,col="green",shade=TRUE,xlab="Ages (0-100)",
ylab="Years (1900-2005)",zlab="Mortality rate (log)")

粗略的死亡率曲面图是

 

有以下   系数。

plot(seq(1,99),coefficients(regnp)[2:100],col="red",lwd=3,type="l")

 

这里我们有很多系数,但是,在较小的数据集上,我们具有更多的可变性。我们可以平滑李·卡特模型: 

 代码片段


persp(vZ,theta=-30,col="green",shade=TRUE,xlab="Ages (0-100)", 
ylab="Years (1900-2005)",zlab="Mortality rate (log)")

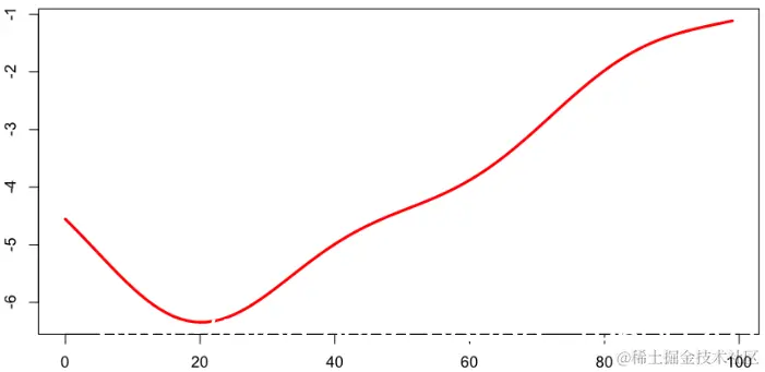
现在的死亡人数是

 

得出多年来随年龄变化的平均死亡率,

BpA=bs(seq(0,99),knots=knotsA,Boundary.knots=range(subbase$A),degre=3)
Ax=BpA%*%coefficients(regsp)[2:8]
plot(seq(0,99),Ax,col="red",lwd=3,type="l")

 

然后,我们可以使用样条函数的平滑参数,并查看对死亡率曲面的影响

persp(vZ,theta=-30,col="green",shade=TRUE,xlab="Ages (0-100)",
ylab="Years (1900-2005)",zlab="Mortality rate (log)")


最受欢迎的见解

1.用SPSS估计HLM层次线性模型模型

2.R语言线性判别分析(LDA),二次判别分析(QDA)和正则判别分析(RDA)

3.基于R语言的lmer混合线性回归模型

4.R语言里的非线性模型:多项式回归、局部样条、平滑样条、广义加性模型分析

5.R语言用Rshiny探索lme4广义线性混合模型(GLMM)和线性混合模型(LMM)

6.R语言Gibbs抽样的贝叶斯简单线性回归仿真分析

7.R语言线性混合效应模型实战案例

8.R语言线性混合效应模型实战案例

9.使用SAS,Stata,HLM,R,SPSS和Mplus的分层线性模型HLM

 


热门文章

 

用r语言实现神经网络预测股票实例

八月 12, 2019 – 神经网络是一种基于现有数据创建预测的计算系统。在这个特定的例子中,我们的目标是开发一个神经网络来确定股票是否支付股息。

 

隐马尔科夫模型hmm在股市中的应用

20203月 –弄清楚何时开始或何时止损,调整风险和资金管理技巧,都取决于股市的当前状况。

 

 

机器学习精准销售时间序列预测

20204月 –对于零售行业来说,预测几乎是商业智能(BI)研究的终极问题。

 

r语言实现copula算法建模依赖性

20204月 –copula是将多变量分布函数与其边际分布函数耦合的函数,通常称为边缘。