R语言中基于混合数据抽样(MIDAS)回归的HAR-RV模型预测GDP增长

182 阅读2分钟

原文链接:tecdat.cn/?p=12292 

原文出处:拓端数据部落公众号


预测GDP增长

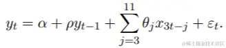
我们复制了Ghysels(2013)中提供的示例。我们进行了MIDAS回归分析,以预测季度GDP增长以及每月非农就业人数的增长。预测公式如下

其中yt是按季度季节性调整后的实际美国GDP的对数增长,x3t是月度总就业非农业工资的对数增长。

首先,我们加载数据并执行必要的转换。


R> y <- window(USqgdp, end = c(2011, 2))
R> x <- window(USpayems, end = c(2011, 7))
R> yg <- diff(log(y)) * 100
R> xg <- diff(log(x)) * 100

最后两行用于均衡样本大小,样本大小在原始数据中有所不同。我们只需在数据的开头和结尾添加其他NA值即可。数据的图形表示如图3所示。要指定midas_r函数的模型,我们以下等效形式重写它:

就像在Ghysels(2013)中一样,我们将估算样本限制在1985年第一季度到2009年第一季度之间。我们使用Beta多项式,非零Beta和U-MIDAS权重规格来评估模型。

 


R> coef(beta0)
(Intercept) yy xx1 xx2 xx3
0.8315274 0.1058910 2.5887103 1.0201202 13.6867809

R> coef(betan)
(Intercept) yy xx1 xx2 xx3 xx4
0.93778705 0.06748141 2.26970646 0.98659174 1.49616336 -0.09184983

(Intercept) yy xx1 xx2 xx3 xx4
0.92989757 0.08358393 2.00047205 0.88134597 0.42964662 -0.17596814
xx5 xx6 xx7 xx8 xx9
0.28351010 1.16285271 -0.53081967 -0.73391876 -1.18732001

我们可以使用2009年第2季度至2011年第2季度包含9个季度的样本数据评估这三个模型的预测性能。

R> fulldata <- list(xx = window(nx, start = c(1985, 1), end = c(2011, 6)),
+ yy = window(ny, start = c(1985, 1), end = c(2011, 2)))
R> insample <- 1:length(yy)
R> outsample <- (1:length(fulldata$yy))[-insample]
R> avgf <- average_forecast(list(beta0, betan, um), data = fulldata,
+ insample = insample, outsample = outsample)
R> sqrt(avgf$accuracy$individual$MSE.out.of.sample)
[1] 0.5361953 0.4766972 0.4457144

 我们看到,MIDAS回归模型提供了最佳的样本外RMSE。

预测实际波动

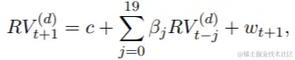
作为另一个演示,我们使用midasr来预测每日实现的波动率。Corsi(2009)提出了一个简单的预测每日实际波动率的模型。实现波动率的异质自回归模型(HAR-RV)定义为

 

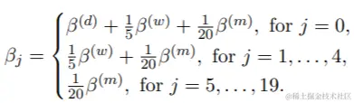
我们假设一周有5天,一个月有4周。该模型是MIDAS回归的特例:

 

相应的R代码如下 

 

为了进行经验论证,我们使用了由Heber,Lunde,Shephard和Sheppard(2009)提供的关于股票指数的已实现波动数据。我们基于5分钟的回报数据估算S&P500指数的年度实现波动率模型。

 
Parameters:
Estimate Std. Error t value Pr(>|t|)
(Intercept) 0.83041 0.36437 2.279 0.022726 *
rv1 0.34066 0.04463 7.633 2.95e-14 ***
rv2 0.41135 0.06932 5.934 3.25e-09 ***
rv3 0.19317 0.05081 3.802 0.000146 ***
---
Signif. codes: 0 '***' 0.001 '**' 0.01 '*' 0.05 '.' 0.1 ' ' 1
Residual standard error: 5.563 on 3435 degrees of freedom

 为了进行比较,我们还使用归一化指数Almon权重来估计模型

 
Parameters:
Estimate Std. Error t value Pr(>|t|)
(Intercept) 0.837660 0.377536 2.219 0.0266 *
rv1 0.944719 0.027748 34.046 < 2e-16 ***
rv2 -0.768296 0.096120 -7.993 1.78e-15 ***
rv3 0.029084 0.005604 5.190 2.23e-07 ***
---
Signif. codes: 0 '***' 0.001 '**' 0.01 '*' 0.05 '.' 0.1 ' ' 1
Residual standard error: 5.535 on 3435 degrees of freedom

我们可以使用异方差性和自相关鲁棒权重规范测试hAhr_test来测试这些限制中哪些与数据兼容。

 
hAh restriction test (robust version)
data:
hAhr = 28.074, df = 17, p-value = 0.04408
 
hAh restriction test (robust version)
data:
hAhr = 19.271, df = 17, p-value = 0.3132

我们可以看到,与MIDAS回归模型中的HAR-RV隐含约束有关的零假设在0.05的显着性水平上被拒绝,而指数Almon滞后约束足够的零假设则不能被拒绝。

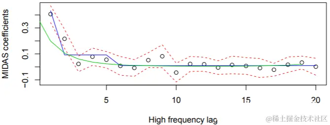
 图说明了拟合的MIDAS回归系数和U-MIDAS回归系数及其相应的95%置信区间。对于指数Almon滞后指标,我们可以通过AIC或BIC选择滞后次数。

在这里,我们使用了两种优化方法来提高收敛性。将测试函数应用于每个候选模型。函数hAhr_test需要大量的计算时间,尤其是对于滞后数量较大的模型,因此我们仅在第二步进行计算,并且限制了滞后次数的选择。AIC选择模型有9个滞后:

 

 
Selected model with AIC = 21551.97
Based on restricted MIDAS regression model
The p-value for the null hypothesis of the test hAhr_test is 0.5531733
 Parameters:
Estimate Std. Error t value Pr(>|t|)
(Intercept) 0.96102 0.36944 2.601 0.00933 **
rv1 0.93707 0.02729 34.337 < 2e-16 ***
rv2 -1.19233 0.19288 -6.182 7.08e-10 ***
rv3 0.09657 0.02190 4.411 1.06e-05 ***
---
Signif. codes: 0 '***' 0.001 '**' 0.01 '*' 0.05 '.' 0.1 ' ' 1
Residual standard error: 5.524 on 3440 degrees of freedom

hAh_test的HAC再次不拒绝指数Almon滞后规范的原假设。我们可以使用具有1000个观测值窗口的滚动预测来研究两个模型的预测性能。为了进行比较,我们还计算了无限制AR(20)模型的预测。

 
Model MSE.out.of.sample MAPE.out.of.sample
1 rv ~  (rv, 1:20, 1) 10.82516 26.60201
2 rv ~  (rv, 1:20, 1, harstep) 10.45842 25.93013
3 rv ~  (rv, 1:9, 1, nealmon) 10.34797 25.90268
MASE.out.of.sample MSE.in.sample MAPE.in.sample MASE.in.sample
1 0.8199566 28.61602 21.56704 0.8333858
2 0.8019687 29.24989 21.59220 0.8367377
3 0.7945121 29.08284 21.81484 0.8401646

我们看到指数Almon滞后模型略胜于HAR-RV模型,并且两个模型均胜过AR(20)模型。

 

参考文献

Andreou E,Ghysels E,Kourtellos A(2010)。“具有混合采样频率的回归模型。” 计量经济学杂志,158,246–261。doi:10.1016 / j.jeconom.2010.01。004。

Andreou E,Ghysels E,Kourtellos A(2011)。“混合频率数据的预测。” 在MP Clements中,DF Hendry(编),《牛津经济预测手册》,第225–245页。


最受欢迎的见解

QQ截图20220608232805.png

1.R语言对S&P500股票指数进行ARIMA + GARCH交易策略

2.R语言改进的股票配对交易策略分析SPY—TLT组合和中国股市投资组合

3.R语言时间序列:ARIMA GARCH模型的交易策略在外汇市场预测应用

4.TMA三均线期指高频交易策略的R语言实现

5.r语言多均线量化策略回测比较

6.用R语言实现神经网络预测股票实例

7.r语言预测波动率的实现:ARCH模型与HAR-RV模型

8.R语言如何做马尔科夫转换模型markov switching model

9.matlab使用Copula仿真优化市场风险