R语言中进行期权定价的Heston模型

415 阅读3分钟

原文链接:tecdat.cn/?p=12111

原文出处:拓端数据部落

 


在本文中,我将向您展示如何模拟股票价格的Heston随机波动率模型。 

Heston模型是一种期权估值方法,它考虑到同一资产在给定时间交易的不同期权的波动性变化。它试图通过使用随机过程来模拟波动率和利率来重新创建市场定价。Heston模型的特点是将波动率函数的平方根包含在整个定价函数中。

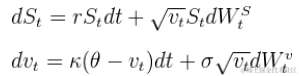
对于固定的无风险利率,描述为:

通过使用这种模型,可以得出欧洲看涨期权的价格 。

这是函数的描述。 

callHestoncf(S, X, tau, r, v0, vT, rho, k, sigma){
# S = 股价在到期日的价格, X = 行权价格, tau = 到期日
# r = 为无风险利率, q = 股息收益
# v0 = 初始方差, vT = 长期方差
# rho = 相关系数, k = 是Vt回归至θ的速度;
# sigma = 波动率
}

 

现在,进行蒙特卡洛定价。我们将为3个欧洲看涨期权定价,具有3种不同的行权价格。我们在15年中使用100000个模拟,每个月进行一次。以下是仿真的参数:

#初始价格
S0 <- 100
# 模拟次数(可以随意减少)
n <- 100000
# 抽样频率
freq <- "monthly"
# 波动率均值回复速度
kappa <- 0.003
#波动率
volvol <- 0.009
# 相关性。成交量和现货价格
rho <- -0.5
# 初始方差
V0 <- 0.04
# 长期的方差
theta <- 0.04
#初始短期利率
r0 <- 0.015
 
# 期权到期日
horizon <- 15
#期权行权价格
strikes <- c(140, 100, 60)

 

为了使用模拟Heston模型,我们首先需要定义如何进行模拟。

此函数提供一个包含2个成分的列表,每个成分包含模拟的随机高斯增量。 

#  随机波动模拟
sim.vol <- simdiff(n =  n, horizon =  horizon,
frequency =  freq, model = "CIR", x0 =  V0,
theta1 =  kappa*theta, theta2 =  kappa,
theta3 =  volvol, eps =  shocks[[1]])
 
# 股票价格模拟
sim.price <- simdiff(n = n, horizon = horizon,
frequency = freq, model = "GBM", x0 = S0,
theta1 = r0, theta2 = sqrt(sim.vol),
eps = shocks[[2]])

 现在,我们可以计算3种不同的期权价格。 

 

# 到期股票价格(15年)

print(results)
 
 
strikes mcprices  lower95  upper95 pricesAnalytic
1     140 25.59181 25.18569 25.99793         25.96174
2     100 37.78455 37.32418 38.24493         38.17851
3      60 56.53187 56.02380 57.03995         56.91809

 

从这些结果中,我们看到这三个期权的蒙特卡洛价格与使用函数(直接使用公式来计算价格)计算出的价格相当接近。95%的置信区间包含理论价格。

下面是期权价格,作为模拟次数的函数。计算出的理论价格用蓝色绘制,蒙特卡洛平均价格用红色绘制,阴影区域表示均值(蒙特卡洛价格)周围的95%置信区间。

 


最受欢迎的见解

1.用机器学习识别不断变化的股市状况—隐马尔科夫模型(HMM)的应用

2.R语言GARCH-DCC模型和DCC(MVT)建模估计

3.R语言实现 Copula 算法建模依赖性案例分析报告

4.R语言COPULAS和金融时间序列数据VaR分析

5.R语言多元COPULA GARCH 模型时间序列预测

6.用R语言实现神经网络预测股票实例

7.r语言预测波动率的实现:ARCH模型与HAR-RV模型

8.R语言如何做马尔科夫转换模型markov switching model

9.matlab使用Copula仿真优化市场风险