R语言用线性回归模型预测空气质量臭氧数据

212 阅读4分钟

原文链接:tecdat.cn/?p=11387

原文出处:拓端数据部落公众号

 

尽管线性模型是最简单的机器学习技术之一,但它们仍然是进行预测的强大工具。这尤其是由于线性模型特别容易解释这一事实。在这里,我将讨论使用空气质量数据集的普通最小二乘回归示例解释线性模型时最重要的方面。

空气质量数据集

空气质量数据集包含以下四个空气质量指标的154次测量:

  • 臭氧:平均臭氧水平,以十亿分之一为单位
  • Solar.R:太阳辐射 
  • 风:平均风速,每小时英里
  • 温度:每日最高温度,以华氏度为单位

我们将通过删除所有NA 并排除  Month 和Day 列来清理数据集  ,选择部分预测变量。

data(airquality)
ozone <- subset(na.omit(airquality), 
        select = c("Ozone", "Solar.R", "Wind", "Temp"))

数据探索和准备

预测任务如下:根据太阳辐射,风速和温度,我们可以预测臭氧水平吗?要查看线性模型的假设是否适合手头的数据,我们将计算变量之间的相关性:

# 散点图矩阵
plot(ozone)

 

 

# 成对变量的相关性
cors <- cor(ozone)
print(cors)
##              Ozone    Solar.R       Wind       Temp
## Ozone    1.0000000  0.3483417 -0.6124966  0.6985414
## Solar.R  0.3483417  1.0000000 -0.1271835  0.2940876
## Wind    -0.6124966 -0.1271835  1.0000000 -0.4971897
## Temp     0.6985414  0.2940876 -0.4971897  1.0000000
# 哪些变量高度相关,排除自相关

print(cor.names)
## [1] "Wind+Ozone: -0.61" "Temp+Ozone: 0.7"   "Ozone+Wind: -0.61"
## [4] "Ozone+Temp: 0.7"

由于臭氧参与两个线性相互作用,即:

  • 臭氧与温度呈正相关
  • 臭氧与风速负相关

这表明应该有可能使用其余特征来形成预测臭氧水平的线性模型。

分为训练和测试集

我们将抽取70%的样本进行训练,并抽取30%的样本进行测试:

set.seed(123)
N.train <- ceiling(0.7 * nrow(ozone))
N.test <- nrow(ozone) - N.train
trainset <- sample(seq_len(nrow(ozone)), N.train)
testset <- setdiff(seq_len(nrow(ozone)), trainset)

研究线性模型

为了说明解释线性模型的最重要方面,我们将通过以下方式训练训练数据的普通最小二乘模型:

为了解释模型,我们使用以下 summary 函数:

model.summary <- summary(model)
print(model.summary)
## 
## Call:

## Residuals:
##     Min      1Q  Median      3Q     Max 
## -36.135 -12.670  -2.221   9.420  65.914 
## 
## Coefficients:
##              Estimate Std. Error t value Pr(>|t|)    
## (Intercept) -65.76604   22.52381  -2.920 0.004638 ** 
## Solar.R       0.05309    0.02305   2.303 0.024099 *  
## Temp          1.56320    0.25530   6.123 4.03e-08 ***
## Wind         -2.61904    0.68921  -3.800 0.000295 ***
## ---
## Signif. codes:  0 '***' 0.001 '**' 0.01 '*' 0.05 '.' 0.1 ' ' 1
## 
## Residual standard error: 18.17 on 74 degrees of freedom
## Multiple R-squared:  0.5924, Adjusted R-squared:  0.5759 
## F-statistic: 35.85 on 3 and 74 DF,  p-value: 2.039e-14

残差

我们获得的第一条信息是残差。 

残差值表明,该模型通常预测的臭氧值略高于观测值。但是,最大值很大,表明某些离群值预测太低了。查看数字可能有点抽象,因此让我们根据观察值绘制模型的预测:

res <- residuals(model)

# 向图中添加残差
segments(obs, pred, obs, pred + res)

系数

现在我们了解了残差,让我们看一下系数。我们可以使用该coefficients 函数来获取模型的拟合系数:

##  (Intercept)      Solar.R         Temp         Wind 
## -65.76603538   0.05308965   1.56320267  -2.61904128

请注意,模型的截距值非常低。这是在所有独立值均为零的情况下模型预测的值。 低系数  Solar.R 表示太阳辐射对预测臭氧水平没有重要作用,这不足为奇,因为在我们的探索性分析中,它与臭氧水平没有很大的相关性。 系数 Temp表示温度高时臭氧水平高(因为臭氧会更快形成)。 系数  Wind 告诉我们风速快时臭氧水平会降低(因为臭氧会被吹走)。

与系数关联的其他值提供有关估计的统计确定性的信息。

##                 Estimate  Std. Error   t value     Pr(>|t|)
## (Intercept) -65.76603538 22.52380940 -2.919845 4.638426e-03
## Solar.R       0.05308965  0.02305379  2.302860 2.409936e-02
## Temp          1.56320267  0.25530453  6.122894 4.034064e-08
## Wind         -2.61904128  0.68920661 -3.800081 2.946349e-04
  • Std. Error 是系数估计的标准误差
  • t value 以标准误差表示系数的值
  • Pr(>|t|) 是t检验的p值,表示检验统计量的重要性

标准误差

系数的标准误差定义为特征方差的标准偏差:

 

 

在R中,可以通过以下方式计算模型估计的标准误差:

##              (Intercept)       Solar.R         Temp          Wind
## (Intercept) 507.32198977  2.893612e-02 -5.345957524 -9.940961e+00
## Solar.R       0.02893612  5.314773e-04 -0.001667748  7.495211e-05
## Temp         -5.34595752 -1.667748e-03  0.065180401  6.715467e-02
## Wind         -9.94096142  7.495211e-05  0.067154670  4.750058e-01
## (Intercept)     Solar.R        Temp        Wind 
## 22.52380940  0.02305379  0.25530453  0.68920661

现在, 你可能想知道这些值的 vcov 。它定义为矩阵的方差-协方差矩阵,该矩阵按误差的方差标准化:

##              (Intercept)       Solar.R         Temp          Wind
## (Intercept) 507.32198977  2.893612e-02 -5.345957524 -9.940961e+00
## Solar.R       0.02893612  5.314773e-04 -0.001667748  7.495211e-05
## Temp         -5.34595752 -1.667748e-03  0.065180401  6.715467e-02
## Wind         -9.94096142  7.495211e-05  0.067154670  4.750058e-01

用于标准化的方差-协方差矩阵的方差是误差的估计方差,其定义为

 cov.unscaled 参数是方差-协方差矩阵  :

# 通过'model.matrix'将截距作为特征
X <- model.matrix(model) # design matrix
# 求解X ^ T%*%X = I求X ^ T * X的逆
unscaled.var.matrix <- solve(crossprod(X), diag(4))
print(paste("Is this the same?", isTRUE(all.equal(unscaled.var.matrix, model.summary$cov.unscaled, check.attributes = FALSE))))
## [1] "Is this the same? TRUE"

t值

t值定义为

 

在R中 

## (Intercept)     Solar.R        Temp        Wind 
##   -2.919845    2.302860    6.122894   -3.800081

p值

在所有系数βi=0 的假设下计算p值。t值遵循t分布

model.df <- df.residual(model)

自由度。线性模型的自由度定义为

其中n 是样本数,p 是特征数(包括inctercept)。p值表示获得的系数估计纯粹是偶然地与零不同的可能性。因此,低p值表明变量与结果之间存在显着关联。

进一步统计

summary 函数提供以下附加统计信息  :R方,调整后的R方和F统计。 

残余标准偏差

顾名思义,残余标准偏差是模型的平均RSS(MSE)的平方根:

## [1] 18.16979

残余标准偏差仅表示模型的平均精度。在这种情况下,该值非常低,表明该模型具有良好的拟合度。

R方

R方表示确定系数。它定义为估计值与观察到的结果之间的相关性的平方:

## [1] 0.5924073

与[-1,1]中的相关性相反,R平方在[0,1] 中。

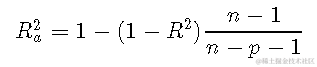
调整后的R方

调整后的R方值会根据模型的复杂性来调整R方:

 

其中n是观察数,p是特征数。因此,调整后的R方可以像这样计算:

n <- length(trainset) # 样本数

print(r.squared.adj)
## [1] 0.5758832

如果R平方和调整后的R方之间存在相当大的差异,则表明可以考虑减少特征空间。

F统计

F统计量定义为已解释方差与无法解释方差的比率。为了进行回归,F统计量始终指示两个模型之间的差异,其中模型1(p1)由模型2(p2)的特征子集定义:

 

F统计量描述模型2的预测性能(就RSS而言)优于模型1的程度。报告的默认F统计量是指训练后的模型与仅截距模型之间的差异:

## 
## Call:
## 
## Coefficients:
## (Intercept)  
##       36.76

 

因此,测试的零假设是唯一的截距-模型的拟合和指定的模型是相等的。如果可以拒绝原假设,则意味着指定模型比原模型具有更好的拟合度。

让我们通过手工计算得出这个想法:

rss <- function(model) {
    return(sum(model$residuals^2))
}

# 比较仅截距模型和具有3个模型
f.statistic(null.model, model)
## [1] 35.85126

在这种情况下,F统计量具有较大的值,这表明我们训练的模型明显优于仅截距模型。

置信区间

置信区间是解释线性模型的有用工具。默认情况下,  confint 计算95%置信区间(±1.96σ^±1.96σ^):

ci <- confint(model)
##                (Intercept)                    Solar.R 
## "95% CI: [-110.65,-20.89]"       "95% CI: [0.01,0.1]" 
##                       Temp                       Wind 
##      "95% CI: [1.05,2.07]"    "95% CI: [-3.99,-1.25]"

这些值表明模型对截距的估计不确定。这可能表明需要更多数据才能获得更好的拟合度。

检索估计值的置信度和预测区间

通过提供自interval 变量,可以将线性模型的预测转换为区间 。这些区间给出了对预测值的置信度。区间有两种类型:置信区间和预测区间。让我们将模型应用于测试集,使用不同的参数作为  interval 参数,以查看两种区间类型之间的差异:

# 计算预测的置信区间(CI)
preds.ci <- predict(model, newdata = ozone[testset,], interval = "confidence")
##      fit                 lwr                 upr                Method
## [1,] "-4.42397219873667" "-13.4448767773931" "4.59693237991976" "CI"  
## [2,] "-22.0446990408131" "-61.0004555440645" "16.9110574624383" "PI"

置信区间是窄区间,而预测 区间是宽区间。它们的值基于level 参数指定的提供的重要性水平  (默认值:0.95)。

它们的定义略有不同。给定新的观测值x,CI和PI定义如下

 

其中tα/ 2,dftα/ 2,df是df = 2自由度且显着性水平为α的t值,σerr是残差的标准误差,σ2xσx2是独立特征的方差, x(x)表示特征的平均值。 


最受欢迎的见解

1.R语言多元Logistic逻辑回归 应用案例

2.面板平滑转移回归(PSTR)分析案例实现

3.matlab中的偏最小二乘回归(PLSR)和主成分回归(PCR)

4.R语言泊松Poisson回归模型分析案例

5.R语言回归中的Hosmer-Lemeshow拟合优度检验

6.r语言中对LASSO回归,Ridge岭回归和Elastic Net模型实现

7.在R语言中实现Logistic逻辑回归

8.python用线性回归预测股票价格

9.R语言如何在生存分析与Cox回归中计算IDI,NRI指标