R语言使用Rasch模型分析学生答题能力

377 阅读5分钟

原文链接:tecdat.cn/?p=10175

原文出处:拓端数据部落公众号

 

几个月以来,我一直对序数回归与项目响应理论(IRT)之间的关系感兴趣。 在这篇文章中,我重点介绍Rasch分析。

最近,我花了点时间尝试理解不同的估算方法。三种最常见的估算方法是:

  • 联合最大似然(JML)
  • 条件逻辑回归,在文献中称为条件最大似然(CML)。
  • 标准多层次模型,在测量文献中称为边际最大似然(MML)。

阅读后,我决定尝试进行Rasch分析,生成多个Rasch输出。

例子

需要ggplot2和dplyr才能创建图表。

library(Epi)  # 用于带对比的条件逻辑回归
library(lme4)  # glmer
library(ggplot2)  # 用于绘图
library(dplyr)  # 用于数据操作

数据。

raschdat1 <- as.data.frame(raschdat)

CML估算

res.rasch <- RM(raschdat1)

系数

coef(res.rasch)

beta V1      beta V2      beta V3      beta V4      beta V5
1.565269700  0.051171719  0.782190094 -0.650231958 -1.300578876
beta V6      beta V7      beta V8      beta V9     beta V10
0.099296282  0.681696827  0.731734160  0.533662275 -1.107727126
beta V11     beta V12     beta V13     beta V14     beta V15
-0.650231959  0.387903893 -1.511191830 -2.116116897  0.339649394
beta V16     beta V17     beta V18     beta V19     beta V20
-0.597111141  0.339649397 -0.093927362 -0.758721132  0.681696827
beta V21     beta V22     beta V23     beta V24     beta V25
0.936549373  0.989173502  0.681696830  0.002949605 -0.814227487
beta V26     beta V27     beta V28     beta V29     beta V30
1.207133468 -0.093927362 -0.290443234 -0.758721133  0.731734150

使用回归

raschdat1.long$tot <- rowSums(raschdat1.long)  # 创建总分
c(min(raschdat1.long$tot), max(raschdat1.long$tot))  #最小和最大分数

[1]  1 26

raschdat1.long$ID <- 1:nrow(raschdat1.long)  #创建ID
raschdat1.long <- tidyr::gather(raschdat1.long, item, value, V1:V30)  # 宽数据转换为长数据
 # 转换因子类型
raschdat1.long$item <- factor(
  raschdat1.long$item, levels = p

条件最大似然


 # 回归系数


item1        item2        item3        item4        item5
0.051193209  0.782190560 -0.650241362 -1.300616876  0.099314453
item6        item7        item8        item9       item10
0.681691285  0.731731557  0.533651426 -1.107743224 -0.650241362
item11       item12       item13       item14       item15
0.387896763 -1.511178125 -2.116137610  0.339645555 -0.597120333
item16       item17       item18       item19       item20
0.339645555 -0.093902568 -0.758728000  0.681691285  0.936556599
item21       item22       item23       item24       item25
0.989181510  0.681691285  0.002973418 -0.814232531  1.207139323
item26       item27       item28       item29        
-0.093902568 -0.290430680 -0.758728000  0.731731557           

请注意,item1是V2而不是V1,item29是V30。要获得第一个题目V1的难易程度,只需将题目1到题目29的系数求和,然后乘以-1。

sum(coef(res.clogis)[1:29]) * -1

[1] 1.565278

 # 再确认两个模型是否等效
res.rasch$loglik  #Rasch对数似然

[1] -1434.482

 # 条件逻辑对数似然,第二个值是最终模型的对数似然
res.clogis$loglik

[1] -1630.180 -1434.482

 #还可以比较置信区间,方差,... 

 #clogistic可让您检查分析的实际样本量: res.clogis$n

[1] 3000

显然,所有数据(30 * 100)都用于估算。这是因为没有一个参与者在所有问题上都得分为零,在所有问题上都得分为1(最低为1,最高为30分中的26分)。所有数据都有助于估计,因此本示例中的方差估计是有效的。

联合极大似然估计

 # 标准逻辑回归,请注意使用对比
res.jml 
 # 前三十个系数


(Intercept)        item1        item2        item3        item4
-3.688301292  0.052618523  0.811203577 -0.674538589 -1.348580496
      item5        item6        item7        item8        item9
0.102524596  0.706839644  0.758800752  0.553154545 -1.148683041
     item10       item11       item12       item13       item14
-0.674538589  0.401891360 -1.566821260 -2.193640539  0.351826379
     item15       item16       item17       item18       item19
-0.619482689  0.351826379 -0.097839229 -0.786973625  0.706839644
     item20       item21       item22       item23       item24
0.971562267  1.026247034  0.706839644  0.002613624 -0.844497142
     item25       item26       item27       item28       item29
1.252837340 -0.097839229 -0.301589647 -0.786973625  0.758800752

item29与V30相同。差异是由估算方法的差异引起的。要获得第一个问题V1的难易程度,只需将问题1到问题29的系数求和,然后乘以-1。

sum(coef(res.j

[1] 1.625572

多层次逻辑回归或MML

我希望回归系数是问题到达时的难易程度,glmmTMB()不提供对比选项。我要做的是运行glmer()两次,将第一次运行的固定效果和随机效果作为第二次运行的起始值。``

使用多层次模型复制Rasch结果

提供个体-问题映射:

plot(res.rasch)

PIMAP

要创建此图,我们需要问题难度(回归系数* -1)和个体能力(随机截距)。

PIMAP_MLM

极端的分数是不同的。这归因于MML的差异。由于CML不提供人为因素,因此必须使用两步排序过程。

问题特征曲线

问题特征曲线:

plot(res.rasch)

国际刑事法院

在这里,我们需要能够根据学生的潜能来预测学生正确答题的概率。我所做的是使用逻辑方程式预测概率。获得该数值,就很容易计算预测概率。由于我使用循环来执行此操作,因此我还要计算问题信息,该信息是预测概率乘以1-预测概率。


 ## GGPLOT可视化
ggplot(test.info.df, aes(x = theta, y = prob, colour = reorder(item, diff, mean))) +
  geom_line() +ct response", colour = "Item",

下面将逐项绘制

ggplot(test.info.df, aes(x = theta, y = prob)) + geom_line() +
  scale_x_continuous(breaks = seq(-6, 6, 2), limits = c(-4, 4)) +
  scale_y_continuous(labels = percent, breaks = seq(0, 1, .

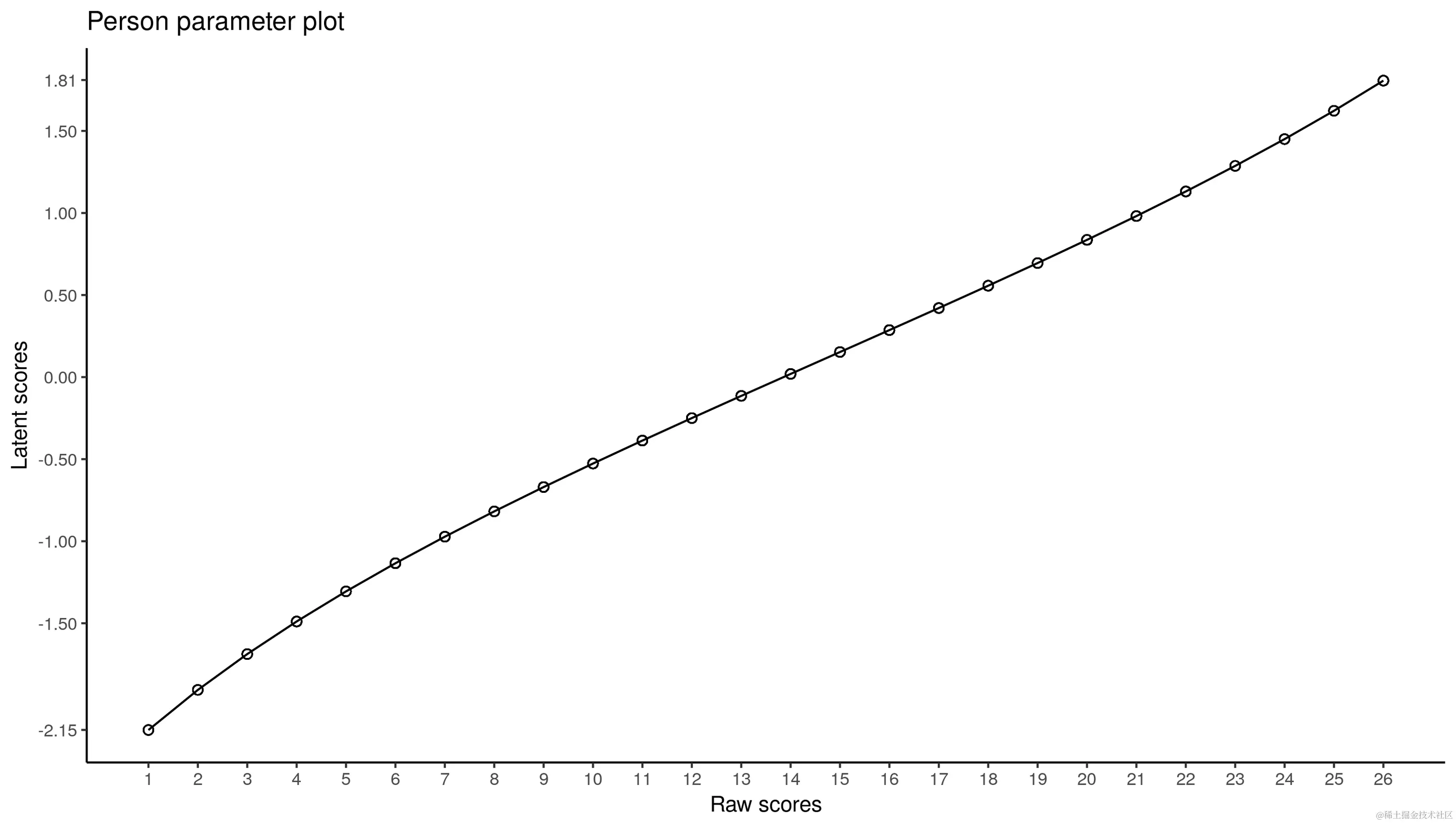
个体参数图

plot(person.parameter(res.rasch))

PERS_PAR

我们需要估计的个体能力:

ggplot(raschdat1.long, aes(x = tot, y = ability)) +
  geom_point(shape = 1, size = 2) + geom_line() +
  scale_x_continuous(breaks = 1:26) + 
  theme_classic()

PERS_PAR_MLM

 

问题均方拟合

对于infit MSQ,执行相同的计算。

eRm:


ggplot(item.fit.df, aes(x = mml, y = cml)) +
  scale_x_continuous(breaks = seq(0, 2, .1)) +
  scale_y_continuous(breaks = seq(0, 2, .1))  

COMP_ITEM_FIT

似乎CML的MSQ几乎总是比多层次模型(MML)的MSQ高。

 

eRm:

COMP_PERS_FIT

来自CML的MSQ几乎总是比来自多层次模型(MML)的MSQ高。我使用传统的临界值来识别不适合的人。 

测试信息

eRm:

plotINFO(res.rasch)

IIC

创建ICC计算测试信息时,我们已经完成了上述工作。对于总体测试信息,我们需要对每个问题的测试信息进行汇总:

IIC_MLM

IIC_OVER

最后,我认为使用标准测量误差(SEM),您可以创建一个置信区间带状图。SEM是测试信息的反函数。

扫描电镜

该图表明,对于一个估计的能力为-3的个体,他们的能力的估计精度很高,他们的实际分数可能在-1.5和-4.5之间。

经过这一工作,我可以更好地理解该模型,以及其中的一些内容诊断。


 

最受欢迎的见解

1.R语言Wald检验 vs 似然比检验

2.R语言多元Logistic逻辑回归 应用案例

3.matlab中的偏最小二乘回归(PLSR)和主成分回归(PCR)

4.R语言泊松Poisson回归模型分析案例

5.R语言LME4混合效应模型研究教师的受欢迎程度

6.r语言中对LASSO回归,Ridge岭回归和Elastic Net模型实现

7.R语言用Rshiny探索lme4广义线性混合模型(GLMM)和线性混合模型(LMM)

8.基于R语言的lmer混合线性回归模型

9.R语言里的非线性模型:多项式回归、局部样条、平滑样条、广义加性模型分析