r语言中对LASSO回归,Ridge岭回归和弹性网络Elastic Net模型实现

646 阅读14分钟

原文链接:tecdat.cn/?p=3795

原文出处:拓端数据部落公众号

 

Glmnet是一个通过惩罚最大似然关系拟合广义线性模型的软件包。正则化路径是针对正则化参数λ的值网格处的lasso或Elastic Net(弹性网络)惩罚值计算的。该算法非常快,并且可以利用输入矩阵中的稀疏性 x。它适合线性,逻辑和多项式,泊松和Cox回归模型。可以从拟合模型中做出各种预测。它也可以拟合多元线性回归。

glmnet 解决以下问题

在覆盖整个范围的λ值网格上。这里l(y,η)是观察i的负对数似然贡献;例如对于高斯分布是。 弹性网络惩罚由α控制,LASSO(α= 1,默认),Ridge(α= 0)。调整参数λ控制惩罚的总强度。

众所周知,岭惩罚使相关预测因子的系数彼此缩小,而套索倾向于选择其中一个而丢弃其他预测因子。弹性网络则将这两者混合在一起。

 glmnet 算法使用循环坐标下降法,该方法在每个参数固定不变的情况下连续优化目标函数,并反复循环直到收敛,我们的算法可以非常快速地计算求解路径。

代码可以处理稀疏的输入矩阵格式,以及系数的范围约束,还包括用于预测和绘图的方法,以及执行K折交叉验证的功能。

 

快速开始

 

首先,我们加载 glmnet 包:

library(glmnet)

包中使用的默认模型是高斯线性模型或“最小二乘”。我们加载一组预先创建的数据以进行说明。用户可以加载自己的数据,也可以使用工作空间中保存的数据。

该命令 从此保存的R数据中加载输入矩阵 x 和因向量 y

我们拟合模型 glmnet

fit = glmnet(x, y)

可以通过执行plot 函数来可视化系数 :

plot(fit)

每条曲线对应一个变量。它显示了当λ变化时,其系数相对于整个系数向量的ℓ1范数的路径。上方的轴表示当前λ处非零系数的数量,这是套索的有效自由度(df)。用户可能还希望对曲线进行注释。这可以通过label = TRUE 在plot命令中进行设置来完成 。

glmnet 如果我们只是输入对象名称或使用print 函数,则会显示每个步骤的路径 摘要 :

print(fit)
## 
## Call:  glmnet(x = x, y = y) 
## 
##       Df   %Dev  Lambda
##  [1,]  0 0.0000 1.63000
##  [2,]  2 0.0553 1.49000
##  [3,]  2 0.1460 1.35000
##  [4,]  2 0.2210 1.23000
##  [5,]  2 0.2840 1.12000
##  [6,]  2 0.3350 1.02000
##  [7,]  4 0.3900 0.93300
##  [8,]  5 0.4560 0.85000
##  [9,]  5 0.5150 0.77500
## [10,]  6 0.5740 0.70600
## [11,]  6 0.6260 0.64300
## [12,]  6 0.6690 0.58600
## [13,]  6 0.7050 0.53400
## [14,]  6 0.7340 0.48700
## [15,]  7 0.7620 0.44300
## [16,]  7 0.7860 0.40400
## [17,]  7 0.8050 0.36800
## [18,]  7 0.8220 0.33500
## [19,]  7 0.8350 0.30600
## [20,]  7 0.8460 0.27800

它从左到右显示了非零系数的数量(Df),解释的(零)偏差百分比(%dev)和λ(Lambda)的值。

我们可以在序列范围内获得一个或多个λ处的实际系数:

coef(fit,s=0.1)
## 21 x 1 sparse Matrix of class "dgCMatrix"
##                     1
## (Intercept)  0.150928
## V1           1.320597
## V2           .       
## V3           0.675110
## V4           .       
## V5          -0.817412
## V6           0.521437
## V7           0.004829
## V8           0.319416
## V9           .       
## V10          .       
## V11          0.142499
## V12          .       
## V13          .       
## V14         -1.059979
## V15          .       
## V16          .       
## V17          .       
## V18          .       
## V19          .       
## V20         -1.021874

还可以使用新的输入数据在特定的λ处进行预测:

predict(fit,newx=nx,s=c(0.1,0.05))
##             1       2
##  [1,]  4.4641  4.7001
##  [2,]  1.7509  1.8513
##  [3,]  4.5207  4.6512
##  [4,] -0.6184 -0.6764
##  [5,]  1.7302  1.8451
##  [6,]  0.3565  0.3512
##  [7,]  0.2881  0.2662
##  [8,]  2.7776  2.8209
##  [9,] -3.7016 -3.7773
## [10,]  1.1546  1.1067

该函数 glmnet 返回一系列模型供用户选择。交叉验证可能是该任务最简单,使用最广泛的方法。

cv.glmnet 是交叉验证的主要函数。

cv.glmnet 返回一个 cv.glmnet 对象,此处为“ cvfit”,其中包含交叉验证拟合的所有成分的列表。

我们可以绘制对象。

它包括交叉验证曲线(红色虚线)和沿λ序列的上下标准偏差曲线(误差线)。垂直虚线表示两个选定的λ。

我们可以查看所选的λ和相应的系数。例如,

cvfit$lambda.min
## [1] 0.08307

lambda.min 是给出最小平均交叉验证误差的λ值。保存的另一个λ是 lambda.1se,它给出了的模型,使得误差在最小值的一个标准误差以内。我们只需要更换 lambda.min 到lambda.1se 以上。

coef(cvfit, s = "lambda.min")
## 21 x 1 sparse Matrix of class "dgCMatrix"
##                    1
## (Intercept)  0.14936
## V1           1.32975
## V2           .      
## V3           0.69096
## V4           .      
## V5          -0.83123
## V6           0.53670
## V7           0.02005
## V8           0.33194
## V9           .      
## V10          .      
## V11          0.16239
## V12          .      
## V13          .      
## V14         -1.07081
## V15          .      
## V16          .      
## V17          .      
## V18          .      
## V19          .      
## V20         -1.04341

注意,系数以稀疏矩阵格式表示。原因是沿着正则化路径的解通常是稀疏的,因此使用稀疏格式在时间和空间上更为有效。

可以根据拟合的cv.glmnet 对象进行预测 。让我们看一个示例。

##            1
## [1,] -1.3647
## [2,]  2.5686
## [3,]  0.5706
## [4,]  1.9682
## [5,]  1.4964

newx 与新的输入矩阵 s相同,如前所述,是预测的λ值。

 

线性回归

这里的线性回归是指两个模型系列。一个是 gaussian正态分布,另一个是 mgaussian多元正态分布

正态分布

假设我们有观测值xi∈Rp并且yi∈R,i = 1,...,N。目标函数是

其中λ≥0是复杂度参数,0≤α≤1在岭回归(α=0)和套索LASSO(α=1)之间。

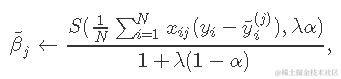
应用坐标下降法解决该问题。具体地说,通过计算βj=β〜j处的梯度和简单的演算,更新为

其中

x 变量标准化为具有单位方差(默认值)时,以上公式适用 。

glmnet 提供各种选项供用户自定义。我们在这里介绍一些常用的选项,它们可以在glmnet 函数中指定 。

  • alpha 表示弹性网混合参数α,范围α∈[0,1]。α=1是套索(默认),α=0是Ridge。
  • weights 用于观察权重。每个观察值的默认值为1。
  • nlambda 是序列中λ值的数量。默认值为100。
  • lambda 可以提供,但通常不提供,程序会构建一个序列。自动生成时,λ序列由lambda.max 和 确定 lambda.min.ratio
  • standardize 是x 在拟合模型序列之前进行变量标准化的逻辑标志 。

例如,我们设置α=0.2,并对后半部分的观测值赋予两倍的权重。为了避免在此处显示太长时间,我们将其设置 nlambda 为20。但是,实际上,建议将λ的数量设置为100(默认值)或更多。

然后我们可以输出glmnet 对象。

print(fit)
## 
## Call:  glmnet(x = x, y = y, weights = c(rep(1, 50), rep(2, 50)), alpha = 0.2,      nlambda = 20) 
## 
##       Df  %Dev  Lambda
##  [1,]  0 0.000 7.94000
##  [2,]  4 0.179 4.89000
##  [3,]  7 0.444 3.01000
##  [4,]  7 0.657 1.85000
##  [5,]  8 0.785 1.14000
##  [6,]  9 0.854 0.70300
##  [7,] 10 0.887 0.43300
##  [8,] 11 0.902 0.26700
##  [9,] 14 0.910 0.16400
## [10,] 17 0.914 0.10100
## [11,] 17 0.915 0.06230
## [12,] 17 0.916 0.03840
## [13,] 19 0.916 0.02360
## [14,] 20 0.916 0.01460
## [15,] 20 0.916 0.00896
## [16,] 20 0.916 0.00552
## [17,] 20 0.916 0.00340

这将显示生成对象的调用 fit 以及带有列Df (非零系数的数量),  %dev (解释的偏差百分比)和Lambda (对应的λ值) 的三列矩阵 。

我们可以绘制拟合的对象。

让我们针对log-lambda值标记每个曲线来绘制“拟合”。

这是训练数据中的偏差百分比。我们在这里看到的是,在路径末端时,该值变化不大,但是系数有点“膨胀”。这使我们可以将注意力集中在重要的拟合部分上。

我们可以提取系数并在某些特定值的情况下进行预测。两种常用的选项是:

  • s 指定进行提取的λ值。
  • exact 指示是否需要系数的精确值。

一个简单的例子是:

## 21 x 2 sparse Matrix of class "dgCMatrix"
##                    1         1
## (Intercept)  0.19657  0.199099
## V1           1.17496  1.174650
## V2           .        .       
## V3           0.52934  0.531935
## V4           .        .       
## V5          -0.76126 -0.760959
## V6           0.46627  0.468209
## V7           0.06148  0.061927
## V8           0.38049  0.380301
## V9           .        .       
## V10          .        .       
## V11          0.14214  0.143261
## V12          .        .       
## V13          .        .       
## V14         -0.91090 -0.911207
## V15          .        .       
## V16          .        .       
## V17          .        .       
## V18          .        0.009197
## V19          .        .       
## V20         -0.86099 -0.863117

左列是,exact = TRUE 右列是 FALSE。从上面我们可以看到,0.01不在序列中,因此尽管没有太大差异,但还是有一些差异。如果没有特殊要求,则线性插补就足够了。

用户可以根据拟合的对象进行预测。除中的选项外 coef,主要参数是 newx的新值矩阵 xtype 选项允许用户选择预测类型:*“链接”给出拟合值

  • 因变量与正态分布的“链接”相同。
  • “系数”计算值为的系数 s

例如,

##            1
## [1,] -0.9803
## [2,]  2.2992
## [3,]  0.6011
## [4,]  2.3573
## [5,]  1.7520

给出在λ=0.05时前5个观测值的拟合值。如果提供的多个值, s 则会生成预测矩阵。

用户可以自定义K折交叉验证。除所有 glmnet 参数外, cv.glmnet 还有特殊的参数,包括 nfolds (次数),  foldid (用户提供的次数),  type.measure(用于交叉验证的损失):*“ deviance”或“ mse”

  • “ mae”使用平均绝对误差

举个例子,

cvfit = cv.glmnet(x, y, type.measure = "mse", nfolds = 20)

根据均方误差标准进行20折交叉验证。

并行计算也受 cv.glmnet。为我们在这里给出一个简单的比较示例。

system.time(cv.glmnet(X, Y))
##    user  system elapsed 
##   3.591   0.103   3.724
system.time(cv.glmnet(X, Y, parallel = TRUE))
##    user  system elapsed 
##   4.318   0.391   2.700

从上面的建议可以看出,并行计算可以大大加快计算过程。

  • “ lambda.min”:达到最小MSE的λ。
cvfit$lambda.min
## [1] 0.08307
## 21 x 1 sparse Matrix of class "dgCMatrix"
##                    1
## (Intercept)  0.14936
## V1           1.32975
## V2           .      
## V3           0.69096
## V4           .      
## V5          -0.83123
## V6           0.53670
## V7           0.02005
## V8           0.33194
## V9           .      
## V10          .      
## V11          0.16239
## V12          .      
## V13          .      
## V14         -1.07081
## V15          .      
## V16          .      
## V17          .      
## V18          .      
## V19          .      
## V20         -1.04341

在这里,我们使用相同的k折,为α选择一个值。

将它们全部放置在同一绘图上:

我们看到lasso(alpha=1)在这里表现最好。

系数上下限

假设我们要拟合我们的模型,但将系数限制为大于-0.7且小于0.5。这可以通过upper.limits 和 lower.limits 参数实现 :

通常,我们希望系数为正,因此我们只能lower.limit 将其设置 为0。

惩罚因素

此参数允许用户将单独的惩罚因子应用于每个系数。每个参数的默认值为1,但可以指定其他值。特别是,任何penalty.factor 等于零的变量 都不会受到惩罚

 

在许多情况下,某些变量可能是重要,我们希望一直保留它们,这可以通过将相应的惩罚因子设置为0来实现:

我们从标签中看到惩罚因子为0的三个变量始终保留在模型中,而其他变量遵循典型的正则化路径并最终缩小为0。

 

自定义图

有时,尤其是在变量数量很少的情况下,我们想在图上添加变量标签。

我们首先生成带有10个变量的一些数据,然后,我们拟合glmnet模型,并绘制标准图。

我们希望用变量名标记曲线。在路径的末尾放置系数的位置。

 

多元正态

使用family = "mgaussian" option 获得多元正态分布glmnet

显然,顾名思义,y不是向量,而是矩阵。结果,每个λ值的系数也是一个矩阵。

在这里,我们解决以下问题:

这里,βj是p×K系数矩阵β的第j行,对于单个预测变量xj,我们用每个系数K向量βj的组套索罚分代替每个单一系数的绝对罚分。

我们使用预先生成的一组数据进行说明。

我们拟合数据,并返回对象“ mfit”。

mfit = glmnet(x, y, family = "mgaussian")

如果为 standardize.response = TRUE,则将因变量标准化。

为了可视化系数,我们使用 plot 函数。

注意我们设置了 type.coef = "2norm"。在此设置下,每个变量绘制一条曲线,其值等于ℓ2范数。默认设置为 type.coef = "coef",其中为每个因变量创建一个系数图。

通过使用该函数coef ,我们可以提取要求的λ值的系数, 并通过进行预测 。

## , , 1
## 
##           y1      y2      y3    y4
## [1,] -4.7106 -1.1635  0.6028 3.741
## [2,]  4.1302 -3.0508 -1.2123 4.970
## [3,]  3.1595 -0.5760  0.2608 2.054
## [4,]  0.6459  2.1206 -0.2252 3.146
## [5,] -1.1792  0.1056 -7.3353 3.248
## 
## , , 2
## 
##           y1      y2      y3    y4
## [1,] -4.6415 -1.2290  0.6118 3.780
## [2,]  4.4713 -3.2530 -1.2573 5.266
## [3,]  3.4735 -0.6929  0.4684 2.056
## [4,]  0.7353  2.2965 -0.2190 2.989
## [5,] -1.2760  0.2893 -7.8259 3.205

预测结果保存在三维数组中,其中前两个维是每个因变量的预测矩阵,第三个维表示因变量。

我们还可以进行k折交叉验证。

我们绘制结果 cv.glmnet 对象“ cvmfit”。

显示选定的λ最佳值

cvmfit$lambda.min
## [1] 0.04732
cvmfit$lambda.1se
## [1] 0.1317

逻辑回归

当因变量是分类的时,逻辑回归是另一个广泛使用的模型。如果有两个可能的结果,则使用二项式分布,否则使用多项式。

二项式模型

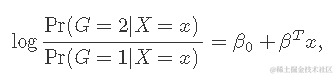
对于二项式模型,假设因变量的取值为G = {1,2} 。表示yi = I(gi = 1)。我们建模

可以用以下形式写

 

惩罚逻辑回归的目标函数使用负二项式对数似然

我们的算法使用对数似然的二次逼近,然后对所得的惩罚加权最小二乘问题进行下降。这些构成了内部和外部循环。

出于说明目的,我们 从数据文件加载预生成的输入矩阵 x 和因变量 y

对于二项式逻辑回归,因变量y可以是两个级别的因子,也可以是计数或比例的两列矩阵。

glmnet 二项式回归的其他可选参数与正态分布的参数 几乎相同。不要忘记将family 选项设置 为“ binomial”。

fit = glmnet(x, y, family = "binomial")

像以前一样,我们可以输出和绘制拟合的对象,提取特定λ处的系数,并进行预测。

逻辑回归略有不同,主要体现在选择上 type。“链接”和“因变量”不等价,“类”仅可用于逻辑回归。总之,*“链接”给出了线性预测变量

  • “因变量”给出合适的概率
  • “类别”产生对应于最大概率的类别标签。
  • “系数”计算值为的系数 s

在下面的示例中,我们在λ=0.05,0.01的情况下对类别标签进行了预测。

##      1   2  
## [1,] "0" "0"
## [2,] "1" "1"
## [3,] "1" "1"
## [4,] "0" "0"
## [5,] "1" "1"

对于逻辑回归,type.measure

  • “偏差”使用实际偏差。
  • “ mae”使用平均绝对误差。
  • “class”给出错误分类错误。
  • “ auc”(仅适用于两类逻辑回归)给出了ROC曲线下的面积。

例如,

它使用分类误差作为10倍交叉验证的标准。

我们绘制对象并显示λ的最佳值。

cvfit$lambda.min
## [1] 0.01476
cvfit$lambda.1se
## [1] 0.02579

coef 并且 predict 类似于正态分布案例,因此我们省略了细节。我们通过一些例子进行回顾。

## 31 x 1 sparse Matrix of class "dgCMatrix"
##                    1
## (Intercept)  0.24371
## V1           0.06897
## V2           0.66252
## V3          -0.54275
## V4          -1.13693
## V5          -0.19143
## V6          -0.95852
## V7           .      
## V8          -0.56529
## V9           0.77454
## V10         -1.45079
## V11         -0.04363
## V12         -0.06894
## V13          .      
## V14          .      
## V15          .      
## V16          0.36685
## V17          .      
## V18         -0.04014
## V19          .      
## V20          .      
## V21          .      
## V22          0.20882
## V23          0.34014
## V24          .      
## V25          0.66310
## V26         -0.33696
## V27         -0.10570
## V28          0.24318
## V29         -0.22445
## V30          0.11091

如前所述,此处返回的结果仅针对因子因变量的第二类。

##       1  
##  [1,] "0"
##  [2,] "1"
##  [3,] "1"
##  [4,] "0"
##  [5,] "1"
##  [6,] "0"
##  [7,] "0"
##  [8,] "0"
##  [9,] "1"
## [10,] "1"

多项式模型

对于多项式模型,假设因变量变量的K级别为G = {1,2,…,K}。在这里我们建模

设Y为N×K指标因变量矩阵,元素yiℓ= I(gi =ℓ)。然后弹性网惩罚的负对数似然函数变为

β是系数的p×K矩阵。βk指第k列(对于结果类别k),βj指第j行(变量j的K个系数的向量)。最后一个惩罚项是||βj|| q ,我们对q有两个选择:q∈{1,2}。当q = 1时,这是每个参数的套索惩罚。当q = 2时,这是对特定变量的所有K个系数的分组套索惩罚,这使它们在一起全为零或非零。

对于多项式情况,用法类似于逻辑回归,我们加载一组生成的数据。

glmnet 除少数情况外,多项式逻辑回归中的可选参数 与二项式回归基本相似。

多项式回归的一个特殊选项是 type.multinomial,如果允许,则允许使用分组的套索罚分 type.multinomial = "grouped"。这将确保变量的多项式系数全部一起输入或输出,就像多元因变量一样。

我们绘制结果。

我们还可以进行交叉验证并绘制返回的对象。

 

预测最佳选择的λ:

##       1  
##  [1,] "3"
##  [2,] "2"
##  [3,] "2"
##  [4,] "1"
##  [5,] "1"
##  [6,] "3"
##  [7,] "3"
##  [8,] "1"
##  [9,] "1"
## [10,] "2"

 

泊松模型

Poisson回归用于在假设Poisson误差的情况下对计数数据进行建模,或者在均值和方差成比例的情况下使用非负数据进行建模。泊松也是指数分布族的成员。我们通常以对数建模:
给定观测值的对数似然

 

和以前一样,我们优化了惩罚对数:

Glmnet使用外部牛顿循环和内部加权最小二乘循环(如逻辑回归)来优化此标准。

首先,我们加载一组泊松数据。

 

再次,绘制系数。

像以前一样,我们可以 分别使用coef 和 提取系数并在特定的λ处进行预测 predict

例如,我们可以

## 21 x 1 sparse Matrix of class "dgCMatrix"
##                    1
## (Intercept)  0.61123
## V1           0.45820
## V2          -0.77061
## V3           1.34015
## V4           0.04350
## V5          -0.20326
## V6           .      
## V7           .      
## V8           .      
## V9           .      
## V10          .      
## V11          .      
## V12          0.01816
## V13          .      
## V14          .      
## V15          .      
## V16          .      
## V17          .      
## V18          .      
## V19          .      
## V20          .
##            1       2
## [1,]  2.4944  4.4263
## [2,] 10.3513 11.0586
## [3,]  0.1180  0.1782
## [4,]  0.9713  1.6829
## [5,]  1.1133  1.9935

我们还可以使用交叉验证来找到最佳的λ,从而进行推断。

选项几乎与正态族相同,不同之处在于 type.measure*,“ mse”代表均方误差*,“ mae”代表均值绝对误差。

我们可以绘制 cv.glmnet 对象。

我们还可以显示最佳的λ和相应的系数。

## 21 x 2 sparse Matrix of class "dgCMatrix"
##                     1        2
## (Intercept)  0.031263  0.18570
## V1           0.619053  0.57537
## V2          -0.984550 -0.93212
## V3           1.525234  1.47057
## V4           0.231591  0.19692
## V5          -0.336659 -0.30469
## V6           0.001026  .      
## V7          -0.012830  .      
## V8           .         .      
## V9           .         .      
## V10          0.015983  .      
## V11          .         .      
## V12          0.030867  0.02585
## V13         -0.027971  .      
## V14          0.032750  .      
## V15         -0.005933  .      
## V16          0.017506  .      
## V17          .         .      
## V18          0.004026  .      
## V19         -0.033579  .      
## V20          0.012049  0.00993

 

Cox模型

Cox比例风险模型通常用于研究预测变量与生存时间之间的关系。

Cox比例风险回归模型,它不是直接考察 与X的关系,而是用 作为因变量,模型的基本形式为:

式中, 为自变量的偏回归系数,它是须从样本数据作出估计的参数; 是当X向量为0时, 的基准危险率,它是有待于从样本数据作出估计的量。简称为Cox回 归模型

由于Cox回归模型对 未作任何假定,因此Cox回归模型在处理问题时具有较大的灵活性;另一方面,在许多情况下,我们只需估计出参数 (如因素分析等),即使在 未知的情况下,仍可估计出参数 。这就是说,Cox回归模型由于含有 ,因此它不是完全的参数模型,但仍可根据公式(1)作出参数 的估计,故Cox回归模型属于半参数模型

公式可以转化为:

 

我们使用一组预先生成的样本数据。用户可以加载自己的数据并遵循类似的过程。在这种情况下,x必须是协变量值的n×p矩阵-每行对应一个患者,每列对应一个协变量。y是一个n×2矩阵。

##         time status
## [1,] 1.76878      1
## [2,] 0.54528      1
## [3,] 0.04486      0
## [4,] 0.85032      0
## [5,] 0.61488      1

Surv 包中的 函数 survival 可以创建这样的矩阵。

我们计算默认设置下的求解路径。

绘制系数。

提取特定值λ处的系数。

## 30 x 1 sparse Matrix of class "dgCMatrix"
##            1
## V1   0.37694
## V2  -0.09548
## V3  -0.13596
## V4   0.09814
## V5  -0.11438
## V6  -0.38899
## V7   0.24291
## V8   0.03648
## V9   0.34740
## V10  0.03865
## V11  .      
## V12  .      
## V13  .      
## V14  .      
## V15  .      
## V16  .      
## V17  .      
## V18  .      
## V19  .      
## V20  .      
## V21  .      
## V22  .      
## V23  .      
## V24  .      
## V25  .      
## V26  .      
## V27  .      
## V28  .      
## V29  .      
## V30  .

函数 cv.glmnet 可用于计算Cox模型的k折交叉验证。

拟合后,我们可以查看最佳λ值和交叉验证的误差图,帮助评估我们的模型。

如前所述,图中的左垂直线向我们显示了CV误差曲线达到最小值的位置。右边的垂直线向我们展示了正则化的模型,其CV误差在最小值的1个标准偏差之内。我们还提取了最优λ。

cvfit$lambda.min
## [1] 0.01594
cvfit$lambda.1se
## [1] 0.04869

我们可以检查模型中的协变量并查看其系数。

index.min
##  [1]  0.491297 -0.174601 -0.218649  0.175112 -0.186673 -0.490250  0.335197
##  [8]  0.091587  0.450169  0.115922  0.017595 -0.018365 -0.002806 -0.001423
## [15] -0.023429  0.001688 -0.008236
coef.min
## 30 x 1 sparse Matrix of class "dgCMatrix"
##             1
## V1   0.491297
## V2  -0.174601
## V3  -0.218649
## V4   0.175112
## V5  -0.186673
## V6  -0.490250
## V7   0.335197
## V8   0.091587
## V9   0.450169
## V10  0.115922
## V11  .       
## V12  .       
## V13  0.017595
## V14  .       
## V15  .       
## V16  .       
## V17 -0.018365
## V18  .       
## V19  .       
## V20  .       
## V21 -0.002806
## V22 -0.001423
## V23  .       
## V24  .       
## V25 -0.023429
## V26  .       
## V27  0.001688
## V28  .       
## V29  .       
## V30 -0.008236

 

稀疏矩阵

我们的程序包支持稀疏的输入矩阵,该矩阵可以高效地存储和操作大型矩阵,但只有少数几个非零条目。

我们加载一组预先创建的样本数据。

加载100 * 20的稀疏矩阵和 y因向量。

## [1] "dgCMatrix"
## attr(,"package")
## [1] "Matrix"

我们可以像以前一样拟合模型。

fit = glmnet(x, y)

进行交叉验证并绘制结果对象。

预测新输入矩阵 。例如,

##            1
## [1,]  0.3826
## [2,] -0.2172
## [3,] -1.6622
## [4,] -0.4175
## [5,] -1.3941

 

参考文献

Jerome Friedman, Trevor Hastie and Rob Tibshirani. (2008).
Regularization Paths for Generalized Linear Models via Coordinate Descent


参考文献

1.matlab偏最小二乘回归(PLSR)和主成分回归(PCR)

2.R语言高维数据的主成分pca、 t-SNE算法降维与可视化分析

3.主成分分析(PCA)基本原理及分析实例

4.基于R语言实现LASSO回归分析

5.使用LASSO回归预测股票收益数据分析

6.r语言中对lasso回归,ridge岭回归和elastic-net模型

7.r语言中的偏最小二乘回归pls-da数据分析

8.r语言中的偏最小二乘pls回归算法

9.R语言线性判别分析(LDA),二次判别分析(QDA)和正则判别分析(RDA)