R语言进行相关矩阵分析及其网络可视化

242 阅读3分钟

原文链接:tecdat.cn/?p=6488

原文出处:拓端数据部落公众号

 

数据准备

# 选择感兴趣的列
mydata <- mtcars %>% 
  select(mpg, disp, hp, drat, wt, qsec)
# 添加一些缺失值
mydata$hp[3] <- NA
# 检查数据
head(mydata, 3)
##                mpg disp  hp drat   wt qsec
## Mazda RX4     21.0  160 110 3.90 2.62 16.5
## Mazda RX4 Wag 21.0  160 110 3.90 2.88 17.0
## Datsun 710    22.8  108  NA 3.85 2.32 18.6

计算相关矩阵

 


res.cor <- correlate(mydata)
res.cor
## # A tibble: 6 x 7
##   rowname     mpg    disp      hp     drat      wt     qsec
##   <chr>     <dbl>   <dbl>   <dbl>    <dbl>   <dbl>    <dbl>
## 1 mpg      NA      -0.848  -0.775   0.681   -0.868   0.419 
## 2 disp     -0.848  NA       0.786  -0.710    0.888  -0.434 
## 3 hp       -0.775   0.786  NA      -0.443    0.651  -0.706 
## 4 drat      0.681  -0.710  -0.443  NA       -0.712   0.0912
## 5 wt       -0.868   0.888   0.651  -0.712   NA      -0.175 
## 6 qsec      0.419  -0.434  -0.706   0.0912  -0.175  NA

该函数的其他参数correlate()包括:

  • method:字符串,指示要计算哪个相关系数(或协方差)。“pearson”(默认),“kendall”或“spearman”之一。
  • diagonal:将对角线设置为的值(通常为数字或NA)。

 

探索相关矩阵

 

过滤相关性高于0.8:

## # A tibble: 6 x 3
##   rowname colname    cor
##   <chr>   <chr>    <dbl>
## 1 disp    mpg     -0.848
## 2 wt      mpg     -0.868
## 3 mpg     disp    -0.848
## 4 wt      disp     0.888
## 5 mpg     wt      -0.868
## 6 disp    wt       0.888

特定的列/行

此函数的作用与dplyr类似slect(),但也会从行中排除选定的列。

  • 选择相关的结果。所选列将从行中排除:
## # A tibble: 3 x 4
##   rowname    mpg   disp     hp
##   <chr>    <dbl>  <dbl>  <dbl>
## 1 drat     0.681 -0.710 -0.443
## 2 wt      -0.868  0.888  0.651
## 3 qsec     0.419 -0.434 -0.706
  • 选定的列:
## # A tibble: 3 x 4
##   rowname     mpg    disp      hp
##   <chr>     <dbl>   <dbl>   <dbl>
## 1 mpg      NA      -0.848  -0.775
## 2 disp     -0.848  NA       0.786
## 3 hp       -0.775   0.786  NA
  • 删除不需要的列:
## # A tibble: 3 x 4
##   rowname   drat     wt   qsec
##   <chr>    <dbl>  <dbl>  <dbl>
## 1 mpg      0.681 -0.868  0.419
## 2 disp    -0.710  0.888 -0.434
## 3 hp      -0.443  0.651 -0.706
  • 按正则表达式选择列
## # A tibble: 4 x 3
##   rowname   disp    drat
##   <chr>    <dbl>   <dbl>
## 1 mpg     -0.848  0.681 
## 2 hp       0.786 -0.443 
## 3 wt       0.888 -0.712 
## 4 qsec    -0.434  0.0912
  • 选择高于0.8的相关性:
## # A tibble: 2 x 3
##   rowname   disp     wt
##   <chr>    <dbl>  <dbl>
## 1 disp    NA      0.888
## 2 wt       0.888 NA
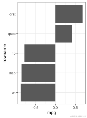
  • 关注一个变量与所有其他变量的相关性:
# 提取相关系数
## # A tibble: 5 x 2
##   rowname    mpg
##   <chr>    <dbl>
## 1 disp    -0.848
## 2 hp      -0.775
## 3 drat     0.681
## 4 wt      -0.868
## 5 qsec     0.419
# 绘制mpg与其他变量之间的相关性

 

 

重新排序相关矩阵

 

## # A tibble: 6 x 7
##   rowname      wt     drat    disp     mpg      hp     qsec
##   <chr>     <dbl>    <dbl>   <dbl>   <dbl>   <dbl>    <dbl>
## 1 wt       NA      -0.712    0.888  -0.868   0.651  -0.175 
## 2 drat     -0.712  NA       -0.710   0.681  -0.443   0.0912
## 3 disp      0.888  -0.710   NA      -0.848   0.786  -0.434 
## 4 mpg      -0.868   0.681   -0.848  NA      -0.775   0.419 
## 5 hp        0.651  -0.443    0.786  -0.775  NA      -0.706 
## 6 qsec     -0.175   0.0912  -0.434   0.419  -0.706  NA

上/下三角

上/下三角形到缺失值

res.cor %>% shave()
## # A tibble: 6 x 7
##   rowname     mpg    disp      hp     drat      wt  qsec
##   <chr>     <dbl>   <dbl>   <dbl>    <dbl>   <dbl> <dbl>
## 1 mpg      NA      NA      NA      NA       NA        NA
## 2 disp     -0.848  NA      NA      NA       NA        NA
## 3 hp       -0.775   0.786  NA      NA       NA        NA
## 4 drat      0.681  -0.710  -0.443  NA       NA        NA
## 5 wt       -0.868   0.888   0.651  -0.712   NA        NA
## 6 qsec      0.419  -0.434  -0.706   0.0912  -0.175    NA

将数据拉伸为长格式

res.cor %>% stretch()
## # A tibble: 36 x 3
##   x     y           r
##   <chr> <chr>   <dbl>
## 1 mpg   mpg    NA    
## 2 mpg   disp   -0.848
## 3 mpg   hp     -0.775
## 4 mpg   drat    0.681
## 5 mpg   wt     -0.868
## 6 mpg   qsec    0.419
## # … with 30 more rows

使用tidyverse和corrr包处理相关性

可视化相关系数的分布:

 

 

重新排列并过滤相关矩阵:

res.cor %>%
  focus(mpg:drat, mirror = TRUE) %>% 
## # A tibble: 3 x 4
##   rowname     mpg    disp   drat
##   <chr>     <dbl>   <dbl>  <dbl>
## 1 hp       -0.775   0.786 -0.443
## 2 mpg      NA      -0.848  0.681
## 3 disp     NA      NA     -0.710

解释相关性

##   rowname  mpg disp   hp drat   wt qsec
## 1     mpg      -.85 -.77  .68 -.87  .42
## 2    disp -.85       .79 -.71  .89 -.43
## 3      hp -.77  .79      -.44  .65 -.71
## 4    drat  .68 -.71 -.44      -.71  .09
## 5      wt -.87  .89  .65 -.71      -.17
## 6    qsec  .42 -.43 -.71  .09 -.17
res.cor %>%
  focus(mpg:drat, mirror = TRUE)
##   rowname  mpg disp drat
## 1      hp -.77  .79 -.44
## 2     mpg      -.85  .68
## 3    disp           -.71
  • 制作相关图:

 

  • 重新排列然后绘制下三角形:

 

  • 制作网络 
 

关联数据库中的数据

  • 使用SQLite数据库:
con <- DBI::dbConnect(RSQLite::SQLite(), path = ":dbname:")
db_mtcars <- copy_to(con, mtcars)
class(db_mtcars)

correlate()检测数据库后端,用于tidyeval计算数据库中的相关性,并返回相关数据。

db_mtcars %>% correlate(use = "complete.obs")
  • 使用spark:
sc <- sparklyr::spark_connect(master = "local")
mtcars_tbl <- copy_to(sc, mtcars)
correlate(mtcars_tbl, use = "complete.obs")

 



  • 非常感谢您阅读本文,有任何问题请在下方留言!

参考文献

1.R语言动态图可视化:如何、创建具有精美动画的图

2.R语言生存分析可视化分析

3.Python数据可视化-seaborn Iris鸢尾花数据

4.r语言对布丰投针(蒲丰投针)实验进行模拟和动态

5.R语言生存分析数据分析可视化案例

6.r语言数据可视化分析案例:探索brfss数据数据分析

7.R语言动态可视化:制作历史全球平均温度的累积动态折线图动画gif视频图

8.R语言高维数据的主成分pca、 t-SNE算法降维与可视化分析案例报告

9.python主题LDA建模和t-SNE可视化