R语言绘制生存曲线估计|生存分析|如何R作生存曲线图

328 阅读2分钟

原文链接:tecdat.cn/?p=6087

原文出处:拓端数据部落公众号

 

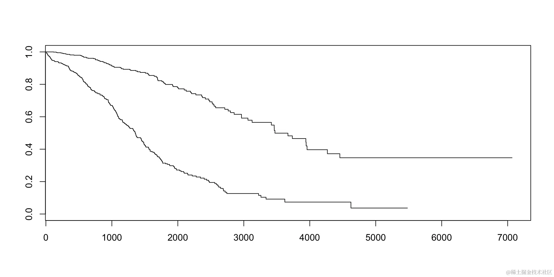
根据生存曲线的估计,可以推断出相比组之间存活时间的差异,因此生存曲线非常有用,几乎可以在每个生存分析中看到。

 

 我们可以创建简单的生存曲线估计。让我们来看看患有卵巢癌(卵巢浆液性囊腺癌)和患有乳腺癌(乳腺浸润癌)的患者之间存活时间的差异 。

 
fit <- survfit(Surv(times, patient.vital_status) ~ admin.disease_code,
               data = BRCAOV.survInfo)
 

 

 

这个简单的图表以优雅的方式呈现了生存概率的估计值,该估计值取决于根据癌症类型分组的癌症诊断天数和信息风险集表,其中显示了在特定时间段内观察的患者数量。生存分析是一个特定的数据分析领域,因为事件数据的审查时间,因此风险集大小是视觉推理的必要条件。

 


ggplot(
   fit,                     # 生存数据对象.
   data = BRCAOV.survInfo,  # 生存数据. 
   risk.table = TRUE,       # 风险表.
   pval = TRUE,             #    Logrank检验p-value
   conf.int = TRUE,         # 生存曲线置信区间.
   xlim = c(0,2000),         
                            #生存预测.
   break.time.by = 500,      
   ggtheme = theme_minimal(),  
 risk.table.y.text.col = T,  
  risk.table.y.text = FALSE  
)

 

 

每个参数都在相应的注释中描述,但我想强调xlim控制X轴限制但不影响生存曲线的参数,这些参数考虑了所有可能的时间。

比较

基础包

看起来很漂亮.....

 


参考文献

1.R语言绘制生存曲线估计|生存分析|如何R作生存曲线图

2.R语言生存分析可视化分析

3.R语言如何在生存分析与Cox回归中计算IDI,NRI指标

4.r语言中使用Bioconductor 分析芯片数据

5.R语言生存分析数据分析可视化案例

6.r语言ggplot2误差棒图快速指南

7.R 语言绘制功能富集泡泡图

8.R语言如何找到患者数据中具有差异的指标?(PLS—DA分析)

9.R语言中的生存分析Survival analysis晚期肺癌患者4例