R语言生存分析数据分析可视化案例

418 阅读10分钟

原文链接:tecdat.cn/?p=2858

原文出处:拓端数据部落公众号

 

 

目标

本文的目的是对如何在R中进行生存分析进行简短而全面的评估。关于该主题的文献很广泛,仅涉及有限数量的(常见)问题。
可用的R包数量反映了对该主题的研究范围。 


 

R包

可以使用各种R包来解决特定问题。以下是本次用于读取,管理,分析和显示数据的软件包。
运行以下行以安装和加载所需的包。

if (!require(pacman)) install.packages("pacman")
pacman::p_load(tidyverse, survival  )

 

** 

数据

该评价将基于orca数据集,数据集包含1985年1月1日至2005年12月31日期间芬兰最北部省份诊断为口腔鳞状细胞癌(OSCC)的338名患者的一部分。患者的随访始于癌症诊断之日,并于2008年12月31日死亡,迁移或随访截止日期结束。死亡原因分为两类:(1) )OSCC死亡; (2)其他原因造成的死亡。
数据集包含以下变量:
id=序号,
sex=性别,类别1 =“女性”,2 =“男性”,
age=诊断癌症日期的年龄(年),
stage=肿瘤的TNM分期(因子):1 =“I”,..., 4 =“IV”,5 =“unkn” 
time=自诊断至死亡或审查的随访时间(以年为单位),
event=结束随访的事件(因子):1 =正常,2 =口腔癌死亡, 3 =其他原因造成的死亡。

 将数据从URL加载到R中。

head(orca)
  id    sex      age stage  time          event
1  1   Male 65.42274  unkn 5.081          Alive
2  2 Female 83.08783   III 0.419 Oral ca. death
3  3   Male 52.59008    II 7.915    Other death
4  4   Male 77.08630     I 2.480    Other death
5  5   Male 80.33622    IV 2.500 Oral ca. death
6  6 Female 82.58132    IV 0.167    Other death
 
summary(orca)
       id             sex           age         stage         time                   event    
 Min.   :  1.00   Female:152   Min.   :15.15   I   :50   Min.   : 0.085   Alive         :109  
 1st Qu.: 85.25   Male  :186   1st Qu.:53.24   II  :77   1st Qu.: 1.333   Oral ca. death:122  
 Median :169.50                Median :64.86   III :72   Median : 3.869   Other death   :107  
 Mean   :169.50                Mean   :63.51   IV  :68   Mean   : 5.662                       
 3rd Qu.:253.75                3rd Qu.:74.29   unkn:71   3rd Qu.: 8.417                       
 Max.   :338.00                Max.   :92.24             Max.   :23.258                       

 

生存数据分析

生存分析侧重于事件数据的时间。在我们的例子中,是诊断后的死亡时间。

为了定义失效时间随机变量,我们需要:
1。时间起源(诊断OSCC),
2。时间尺度(诊断后的年数,年龄),
3。事件的定义。我们将首先考虑总死亡率 。

 

图1:转换的框图。

 

 
         Alive Oral ca. death    Other death 
           109            122            107 

FALSE  TRUE 
  109   229 

以图形方式显示观察到的随访时间对于生存数据的分析非常有帮助。 

 

 

OSCC死亡更有可能在诊断后早期发生,而不是其他原因引起的死亡。类型怎么样?

 'Surv' num [1:338, 1:2]  5.081+  0.419   7.915   2.480   2.500   0.167   5.925+  1.503  13.333   7.666+ ...
 - attr(*, "dimnames")=List of 2
  ..$ : NULL
  ..$ : chr [1:2] "time" "status"
 - attr(*, "type")= chr "right"

然后将创建的生存对象用作生存分析的其他特定函数中的因变量。

 


 

估计生存函数

 

非参数估计

我们将首先介绍一类非参数估计 。

Kaplan–Meier 

生存曲线基于每个死亡时间的风险数量和事件数量。包的survfit()创建(估计)生存曲线 。 

Call: survfit(formula = Surv(time, all) ~ 1, data = orca)

         n     events     *rmean *se(rmean)     median    0.95LCL    0.95UCL 
   338.000    229.000      8.060      0.465      5.418      4.331      6.916 
    * restricted mean with upper limit =  23.3 

函数返回估计的生存曲线的摘要。 

   time n.risk n.event n.censor      surv     std.err     upper     lower
1 0.085    338       2        0 0.9940828 0.004196498 1.0000000 0.9859401
2 0.162    336       2        0 0.9881657 0.005952486 0.9997618 0.9767041
3 0.167    334       4        0 0.9763314 0.008468952 0.9926726 0.9602592
4 0.170    330       2        0 0.9704142 0.009497400 0.9886472 0.9525175
5 0.246    328       1        0 0.9674556 0.009976176 0.9865584 0.9487228
6 0.249    327       1        0 0.9644970 0.010435745 0.9844277 0.9449699

ggsurvplot()survminer提供了估计的生存曲线的信息性说明。

 

默认的KM图表显示了生存函数。

   

 

生存曲线估算

生存曲线在精算师和人口统计学中非常普遍。它特别适用于分组数据。

为了在实际示例中显示此方法,我们首先需要创建聚合数据,即将后续分组并在每个层中计算风险。

基于分组的数据,我们估计会用生存曲线。 

 
      nsubs nlost nrisk nevent   surv    pdf hazard se.surv se.pdf se.hazard
0-1     338     0 338.0     64 1.0000 0.1893 0.2092  0.0000 0.0213    0.0260
1-2     274     4 272.0     41 0.8107 0.1222 0.1630  0.0213 0.0179    0.0254
2-3     229     9 224.5     21 0.6885 0.0644 0.0981  0.0252 0.0136    0.0214
3-4     199    12 193.0     20 0.6241 0.0647 0.1093  0.0265 0.0140    0.0244
4-5     167     9 162.5     13 0.5594 0.0448 0.0833  0.0274 0.0121    0.0231
5-6     145    14 138.0     13 0.5146 0.0485 0.0989  0.0279 0.0131    0.0274
6-7     118     5 115.5      8 0.4662 0.0323 0.0717  0.0283 0.0112    0.0254
7-8     105     8 101.0      9 0.4339 0.0387 0.0933  0.0286 0.0126    0.0311
8-9      88     7  84.5      1 0.3952 0.0047 0.0119  0.0288 0.0047    0.0119
9-10     80     4  78.0      8 0.3905 0.0401 0.1081  0.0288 0.0137    0.0382
10-11    68     4  66.0      5 0.3505 0.0266 0.0787  0.0291 0.0116    0.0352
 

 

Nelson-Aalen估计

  

图形比较

可以绘制不同的生存函数估计值来评估潜在的差异。

 

可以从估计的生存曲线导出诸如分位数的集中趋势的度量。

 
      q km.quantile km.lower km.upper fh.quantile fh.lower fh.upper
25 0.25       1.333    1.084    1.834       1.333    1.084    1.747
50 0.50       5.418    4.331    6.916       5.418    4.244    6.913
75 0.75      13.673   11.748   16.580      13.673   11.748   15.833

估计半数人的寿命超过5.4年。
第一个四分之一的人在1.3年内死亡,而前四分之三的人的寿命超过1.3岁。
前三分之三的人在13.7年内死亡,而前四分之一的人死亡时间超过13.7岁。

估计量的图形表示(基于使用KM的生存曲线)

 

 


 

参数估算

  

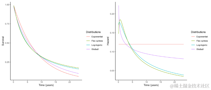
我们将考虑三种常见的选择:指数,Weibull和log-logistic模型。 

flexsurvreg(formula = su_obj ~ 1, data = orca, dist = "exponential")

Estimates: 
      est      L95%     U95%     se     
rate  0.11967  0.10513  0.13621  0.00791

N = 338,  Events: 229,  Censored: 109
Total time at risk: 1913.673
Log-likelihood = -715.1802, df = 1
AIC = 1432.36
 

同样,可以用非参数估计图形地比较不同的方法 

 

 

 


 

生存曲线的比较

  

例如,肿瘤阶段是癌症存活研究中的重要预后因素。我们可以估计和绘制不同颜色的不同组(阶段)的生存曲线。

 
  stage  D       Y  x      pt       rate      lower     upper conf.level
1     I 25 336.776 25 336.776 0.07423332 0.04513439 0.1033322       0.95
2    II 51 556.700 51 556.700 0.09161128 0.06646858 0.1167540       0.95
3   III 51 464.836 51 464.836 0.10971611 0.07960454 0.1398277       0.95
4    IV 57 262.552 57 262.552 0.21709985 0.16073995 0.2734597       0.95
5  unkn 45 292.809 45 292.809 0.15368380 0.10878136 0.1985862       0.95

通常,与具有高阶段肿瘤的患者相比,具有较低阶段肿瘤的诊断患者具有较低的(死亡率)。可以使用survfit()函数执行生存函数的整体比较。

 
Call: survfit(formula = su_obj ~ stage, data = orca)

            n events median 0.95LCL 0.95UCL
stage=I    50     25  10.56    6.17      NA
stage=II   77     51   7.92    4.92   13.34
stage=III  72     51   7.41    3.92    9.90
stage=IV   68     57   2.00    1.08    4.82
stage=unkn 71     45   3.67    2.83    8.17

由于低肿瘤阶段的发病率较低,因此肿瘤分期增加的中位生存时间也会减少。可以观察到相同的行为,分别针对不同的肿瘤阶段绘制KM生存曲线。

也可以为每个阶段级别构建整个生存表。这里是每个肿瘤阶段生存表的前3行。

# Groups:   strata [5]
    time n.risk n.event n.censor  surv std.err upper lower strata
   <dbl>  <dbl>   <dbl>    <dbl> <dbl>   <dbl> <dbl> <dbl> <fct> 
 1 0.17      50       1        0 0.98   0.0202 1     0.942 I     
 2 0.498     49       1        0 0.96   0.0289 1     0.907 I     
 3 0.665     48       1        0 0.94   0.0357 1     0.876 I     
 4 0.419     77       1        0 0.987  0.0131 1     0.962 II    
 5 0.498     76       1        0 0.974  0.0186 1     0.939 II    
 6 0.665     75       1        0 0.961  0.0229 1     0.919 II    
 7 0.167     72       1        0 0.986  0.0140 1     0.959 III   
 8 0.249     71       1        0 0.972  0.0199 1     0.935 III   
 9 0.413     70       1        0 0.958  0.0246 1     0.913 III   
10 0.085     68       2        0 0.971  0.0211 1     0.931 IV    
11 0.162     66       1        0 0.956  0.0261 1     0.908 IV    
12 0.167     65       1        0 0.941  0.0303 0.999 0.887 IV    
13 0.162     71       1        0 0.986  0.0142 1     0.959 unkn  
14 0.167     70       2        0 0.958  0.0249 1     0.912 unkn  
15 0.17      68       1        0 0.944  0.0290 0.999 0.892 unkn  
 arrange_ggsurvplots(glist, print = TRUE, ncol = 2, nrow = 1)

 

 

Mantel-Haenszel logrank测试

默认参数rho = 0实现log-rank或Mantel-Haenszel测试。

Call:
survdiff(formula = su_obj ~ stage, data = orca)

            N Observed Expected (O-E)^2/E (O-E)^2/V
stage=I    50       25     39.9     5.573     6.813
stage=II   77       51     63.9     2.606     3.662
stage=III  72       51     54.1     0.174     0.231
stage=IV   68       57     33.2    16.966    20.103
stage=unkn 71       45     37.9     1.346     1.642

 Chisq= 27.2  on 4 degrees of freedom, p= 2e-05 

Peto&Peto Gehan-Wilcoxon测试

 
survdiff(formula = su_obj ~ stage, data = orca, rho = 1)

            N Observed Expected (O-E)^2/E (O-E)^2/V
stage=I    50     14.5     25.2     4.500     7.653
stage=II   77     29.3     39.3     2.549     4.954
stage=III  72     30.7     33.8     0.284     0.521
stage=IV   68     40.3     22.7    13.738    21.887
stage=unkn 71     32.0     25.9     1.438     2.359

 Chisq= 30.9  on 4 degrees of freedom, p= 3e-06 

不同的测试使用不同的权重来比较生存函数。在实际例子中,他们给出了可比较的结果,表明不同肿瘤阶段的生存函数是不同的。


 

建模生存数据

当比较因子水平的生存函数时,非参数检验特别可行。它们非常强大,高效,通常简单/直观。
然而,随着感兴趣因素的数量增加,非参数测试变得难以进行和解释。相反,回归模型对于探索生存与预测因子之间的关系更为灵活。

我们将介绍两种不同的广泛模型:半参数(即比例风险)和参数模型。

 

 

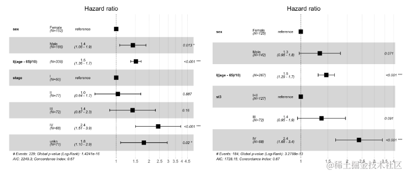
CoxPH模型

 

在我们的例子中,我们将考虑将死亡时间建模为性别,年龄和肿瘤阶段的函数。
可以使用coxph()功能来建立Cox比例风险模型survival

 summary(m1)
Call:
coxph(formula = su_obj ~ sex + I((age - 65)/10) + stage, data = orca)

  n= 338, number of events= 229 

                    coef exp(coef) se(coef)     z Pr(>|z|)
sexMale          0.35139   1.42104  0.14139 2.485 0.012947
I((age - 65)/10) 0.41603   1.51593  0.05641 7.375 1.65e-13
stageII          0.03492   1.03554  0.24667 0.142 0.887421
stageIII         0.34545   1.41262  0.24568 1.406 0.159708
stageIV          0.88542   2.42399  0.24273 3.648 0.000265
stageunkn        0.58441   1.79393  0.25125 2.326 0.020016

                 exp(coef) exp(-coef) lower .95 upper .95
sexMale              1.421     0.7037    1.0771     1.875
I((age - 65)/10)     1.516     0.6597    1.3573     1.693
stageII              1.036     0.9657    0.6386     1.679
stageIII             1.413     0.7079    0.8728     2.286
stageIV              2.424     0.4125    1.5063     3.901
stageunkn            1.794     0.5574    1.0963     2.935

Concordance= 0.674  (se = 0.02 )
Rsquare= 0.226   (max possible= 0.999 )
Likelihood ratio test= 86.76  on 6 df,   p=<2e-16
Wald test            = 80.5  on 6 df,   p=3e-15
Score (logrank) test = 82.86  on 6 df,   p=9e-16

我们可以检查数据是否与每个变量的比例风险假设分别和全局一致。

                      rho    chisq     p
sexMale          -0.00137 0.000439 0.983
I((age - 65)/10)  0.07539 1.393597 0.238
stageII          -0.04208 0.411652 0.521
stageIII         -0.06915 1.083755 0.298
stageIV          -0.10044 2.301780 0.129
stageunkn        -0.09663 2.082042 0.149
GLOBAL                 NA 4.895492 0.557

显然没有找到违反比例假设的证据。

 

 

Cox模型的结果表明性别,年龄和阶段的显着影响。特别是,每增加10年,死亡率就会增加50%。与男性和女性相比,全因死亡率的HR为1.42。此外,估计数中第一阶段和第二阶段之间未发现任何差异。因此,谨慎的做法是将这些主题从数据中排除,并将前两个阶段组合为一个。

 
round(ci.exp(m2), 4)
                 exp(Est.)   2.5%  97.5%
sexMale             1.3284 0.9763 1.8074
I((age - 65)/10)    1.4624 1.2947 1.6519
st3III              1.3620 0.9521 1.9482
st3IV               2.3828 1.6789 3.3818

显示和图形化比较多变量Cox模型的结果的便捷方式是通过森林图。

 

 

让我们逐步绘制预测的生存曲线,根据拟合的模型确定性别和年龄的值 

 
newd
      sex age  st3 id
1    Male  40 I+II  1
2  Female  40 I+II  2
3    Male  80 I+II  3
4  Female  80 I+II  4
5    Male  40  III  5
6  Female  40  III  6
7    Male  80  III  7
8  Female  80  III  8
9    Male  40   IV  9
10 Female  40   IV 10
11   Male  80   IV 11
12 Female  80   IV 12
 


 

AFT模型

参数模型假设生存时间的分布。 

Call:
flexsurvreg(formula = Surv(time, all) ~ sex + I((age - 65)/10) + 
    st3, data = orca2, dist = "weibull")

Estimates: 
                  data mean  est       L95%      U95%      se        exp(est)  L95%    
shape                   NA    0.93268   0.82957   1.04861   0.05575        NA        NA
scale                   NA   13.53151   9.97582  18.35456   2.10472        NA        NA
sexMale            0.53184   -0.33905  -0.66858  -0.00951   0.16813   0.71245   0.51243
I((age - 65)/10)  -0.15979   -0.41836  -0.54898  -0.28773   0.06665   0.65813   0.57754
st3III             0.26966   -0.32567  -0.70973   0.05839   0.19595   0.72204   0.49178
st3IV              0.25468   -0.95656  -1.33281  -0.58030   0.19197   0.38421   0.26374
                  U95%    
shape                   NA
scale                   NA
sexMale            0.99053
I((age - 65)/10)   0.74996
st3III             1.06012
st3IV              0.55973

N = 267,  Events: 184,  Censored: 83
Total time at risk: 1620.864
Log-likelihood = -545.858, df = 6
AIC = 1103.716

  

可以证明,假设指数或威布尔分布的AFT模型可以重新参数化为比例风险模型。
显示eha

 
Call:
weibreg(formula = Surv(time, all) ~ sex + I((age - 65)/10) + 
    st3, data = orca2)

Covariate           Mean       Coef Exp(Coef)  se(Coef)    Wald p
sex 
          Female    0.490     0         1           (reference)
            Male    0.510     0.316     1.372     0.156     0.043 
I((age - 65)/10)   -0.522     0.390     1.477     0.062     0.000 
st3 
            I+II    0.551     0         1           (reference)
             III    0.287     0.304     1.355     0.182     0.095 
              IV    0.162     0.892     2.440     0.178     0.000 

log(scale)                    2.605    13.532     0.156     0.000 
log(shape)                   -0.070     0.933     0.060     0.244 

Events                    184 
Total time at risk        1620.9 
Max. log. likelihood      -545.86 
LR test statistic         68.7 
Degrees of freedom        4 
Overall p-value           4.30767e-14

系数的(指数)具有与Cox比例模型的系数的等效解释。

通过将参数提供fnsummaryplot方法,可以汇总或绘制拟合模型的参数的任何函数。例如,Weibull模型下的中位存活率可以概括为

 
newd <- data.frame(sex = c("Male", "Female"), age = 65, st3 = "I+II")
summary(m2w, newdata = newd, fn = median.weibull, t = 1, B = 10000)
sex=Male, I((age - 65)/10)=0, st3=I+II 
  time      est      lcl      ucl
1    1 6.507834 4.898889 8.631952

sex=Female, I((age - 65)/10)=0, st3=I+II 
  time      est      lcl      ucl
1    1 9.134466 6.801322 12.33771

将结果与Cox模型的结果进行比较。

survfit(m2, newdata = newd)
Call: survfit(formula = m2, newdata = newd)

    n events median 0.95LCL 0.95UCL
1 267    184   7.00    5.25    10.6
2 267    184   9.92    7.33    13.8

 

泊松回归

可以证明,Cox模型在数学上等效于对数据的特定变换的泊松回归模型。
我们首先定义观察事件(all == 1)的唯一时间,并使用包中的survSplit()函数survival来分割数据。

 
head(orca_splitted, 15)

 

拟合条件泊松回归,其中时间的影响(作为因子变量)可以被边缘化(不估计来提高计算效率)。

mod_poi <- gnm(all ~ sex + I((age-65)/10) + st3, data = orca_splitted, 
               family = poisson, eliminate = factor(time))
summary(mod_poi)

 

将从条件Poisson获得的估计值与cox比例风险模型进行比较。

round(data.frame(cox = ci.exp(m2), poisson = ci.exp(mod_poi)), 4)
                 cox.exp.Est.. cox.2.5. cox.97.5. poisson.exp.Est.. poisson.2.5. poisson.97.5.
sexMale                 1.3284   0.9763    1.8074            1.3284       0.9763        1.8074
I((age - 65)/10)        1.4624   1.2947    1.6519            1.4624       1.2947        1.6519
st3III                  1.3620   0.9521    1.9482            1.3620       0.9521        1.9482
st3IV                   2.3828   1.6789    3.3818            2.3828       1.6789        3.3818

如果我们想要估计基线风险,我们还需要估计泊松模型中时间的影响。

orca_splitted$dur <- with(orca_splitted, time - tstart)
mod_poi2 <- glm(all ~ -1 + factor(time) + sex + I((age-65)/10) + st3, 
                data = orca_splitted, family = poisson, offset = log(dur))

基线风险包括阶梯函数,其中速率在每个时间间隔内是恒定的。

newd <- data.frame(time = cuts, dur = 1,
                   sex = "Female", age = 65, st3 = "I+II")
blhaz <- data.frame(ci.pred(mod_poi2, newdata = newd))
ggplot(blhaz, aes(x = c(0, cuts[-138]), y = Estimate, xend = cuts, yend = Estimate)) + geom_segment() +
  scale_y_continuous(trans = "log", limits = c(.05, 5), breaks = pretty_breaks()) +
  theme_classic() + labs(x = "Time (years)", y = "Baseline hazard")

 

更好的方法是通过使用例如具有节点\(k \)的样条来灵活地模拟基线风险。

 
                     exp(Est.)  2.5%  97.5%
(Intercept)              0.074 0.040  0.135
ns(time, knots = k)1     0.402 0.177  0.912
ns(time, knots = k)2     1.280 0.477  3.432
ns(time, knots = k)3     0.576 0.220  1.509
ns(time, knots = k)4     1.038 0.321  3.358
ns(time, knots = k)5     4.076 0.854 19.452
ns(time, knots = k)6     1.040 0.171  6.314
sexMale                  1.325 0.975  1.801
I((age - 65)/10)         1.469 1.300  1.659
st3III                   1.360 0.952  1.942
st3IV                    2.361 1.665  3.347
 

 

比较不同的策略

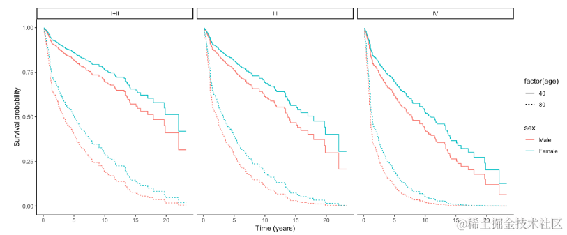
我们可以根据特定协变量模式的预测生存曲线比较之前的策略,如65岁的女性患有肿瘤I期或II期。

newd <- data.frame(sex = "Female", age = 65, st3 = "I+II")
 

生存函数的图形表示便于比较。

 

 

 


 

其他分析

 

非线性

我们假设年龄对(log)死亡率的影响是线性的。放宽这一假设的可能策略是拟合Cox模型,其中年龄用二次效应建模。

 
Call:
coxph(formula = Surv(time, all) ~ sex + I(age - 65) + I((age - 
    65)^2) + st3, data = orca2)

  n= 267, number of events= 184 

                     coef exp(coef)  se(coef)     z Pr(>|z|)
sexMale         2.903e-01 1.337e+00 1.591e-01 1.825   0.0681
I(age - 65)     3.868e-02 1.039e+00 6.554e-03 5.902 3.59e-09
I((age - 65)^2) 9.443e-05 1.000e+00 3.576e-04 0.264   0.7917
st3III          3.168e-01 1.373e+00 1.838e-01 1.724   0.0847
st3IV           8.691e-01 2.385e+00 1.787e-01 4.863 1.16e-06

                exp(coef) exp(-coef) lower .95 upper .95
sexMale             1.337     0.7481    0.9787     1.826
I(age - 65)         1.039     0.9621    1.0262     1.053
I((age - 65)^2)     1.000     0.9999    0.9994     1.001
st3III              1.373     0.7284    0.9576     1.968
st3IV               2.385     0.4193    1.6801     3.385

Concordance= 0.674  (se = 0.022 )
Rsquare= 0.216   (max possible= 0.999 )
Likelihood ratio test= 64.89  on 5 df,   p=1e-12
Wald test            = 63.11  on 5 df,   p=3e-12
Score (logrank) test = 67.64  on 5 df,   p=3e-13

非线性(即二次项)的值很高,因此没有证据可以拒绝零假设(即线性假设是合适的)。 

如果关系是非线性的,则年龄系数不再可以直接解释。我们可以将HR作为年龄的函数以图形方式呈现。我们需要指定一个指示值; 我们选择65岁的中位年龄值。

age <- seq(20, 80, 1) - 65
 
  geom_vline(xintercept = 65, lty = 2) + geom_hline(yintercept = 1, lty = 2)

 

 

时间依赖系数

 

 

cox.zph()函数可用于绘制个体预测因子随时间的影响,因此可用于诊断和理解非比例风险。

 

 

我们可以通过拟合的阶梯函数来放宽比例风险假设,这意味着在不同的时间间隔内有不同的 

包中的survSplit()函数survival将数据集划分。 

  id    sex      age stage          event  st3 tstart  time all tgroup
1  2 Female 83.08783   III Oral ca. death  III      0 0.419   1      1
2  3   Male 52.59008    II    Other death I+II      0 5.000   0      1
3  3   Male 52.59008    II    Other death I+II      5 7.915   1      2
4  4   Male 77.08630     I    Other death I+II      0 2.480   1      1
5  5   Male 80.33622    IV Oral ca. death   IV      0 2.500   1      1
6  6 Female 82.58132    IV    Other death   IV      0 0.167   1      1
 
 
    I((age - 65)/10) + st3, data = orca3)

                                                 coef exp(coef) se(coef)      z        p
I((age - 65)/10)                              0.38184   1.46498  0.06255  6.104 1.03e-09
st3III                                        0.28857   1.33451  0.18393  1.569   0.1167
st3IV                                         0.87579   2.40076  0.17963  4.876 1.09e-06
relevel(sex, 2)Male:strata(tgroup)tgroup=1    0.42076   1.52312  0.19052  2.209   0.0272
relevel(sex, 2)Female:strata(tgroup)tgroup=1       NA        NA  0.00000     NA       NA
relevel(sex, 2)Male:strata(tgroup)tgroup=2   -0.10270   0.90240  0.28120 -0.365   0.7149
relevel(sex, 2)Female:strata(tgroup)tgroup=2       NA        NA  0.00000     NA       NA
relevel(sex, 2)Male:strata(tgroup)tgroup=3    1.13186   3.10142  1.09435  1.034   0.3010
relevel(sex, 2)Female:strata(tgroup)tgroup=3       NA        NA  0.00000     NA       NA

Likelihood ratio test=68.06  on 6 df, p=1.023e-12
n= 416, number of events= 184 

虽然不显着,但男女比较的风险比在第二时期(5至15年)低于1,而在其他两个时期高于1。

模拟生存百分位数

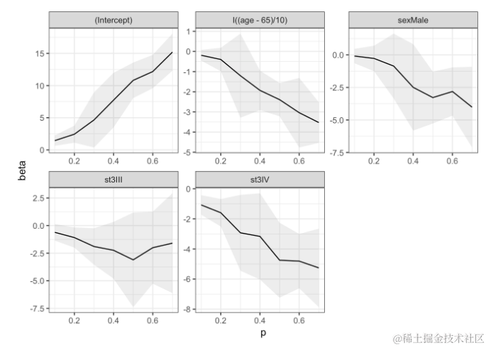
一个不同但有趣的方法包括模拟生存时间的百分位数。 

 

Call:
ctqr(formula = Surv(time, all) ~ st3, data = orca2, p = p)

Coefficients:
             p = 0.25
(Intercept)   2.665  
st3III       -1.369  
st3IV        -1.877  

Degrees of freedom: 267 total; 225 residuals

β0= 2.665 是参考组中死亡概率等于0.25的时间。另一个被解释为相对度量。 

该信息可以直观地比较在肿瘤阶段的水平上分别估计的生存曲线。

 
  p = c(p, p - .005, p + .005)
)[-1, ]

  = 1 - p, xend = time_ref, 
                                 yend = 1 - p))

 

对Cox模型中评估生存时间百分位数的可能差异,作为诊断性别和肿瘤阶段年龄的函数。

 
ctqr(formula = Surv(time, all) ~ sex + I((age - 65)/10) + st3, 
    data = orca2, p = seq(0.1, 0.7, 0.1))

Coefficients:
                  p = 0.1   p = 0.2   p = 0.3   p = 0.4   p = 0.5   p = 0.6   p = 0.7 
(Intercept)        1.44467   2.44379   4.65302   7.73909  10.81386  12.18348  15.19359
sexMale           -0.09218  -0.27385  -0.85720  -2.49580  -3.27962  -2.81428  -4.01656
I((age - 65)/10)  -0.19026  -0.39819  -1.20278  -1.93144  -2.39229  -3.03915  -3.52711
st3III            -0.60994  -1.08534  -1.89357  -2.23741  -3.10478  -2.00037  -1.59213
st3IV             -1.07679  -1.59566  -2.92700  -3.16652  -4.74759  -4.80838  -5.25810

Degrees of freedom: 267 total; 220 residuals

结果包括不同百分位数下每种协变量的生存时间差异。

coef_q <- data.frame(coef(fit_q)) %>%
    .96 * se
    )
 

 

或者,可以针对一组特定的协方差模式预测生存时间的百分位数。

 

 

 

CIF累积发生率函数

在竞争风险情景中,Kaplan-Meier对特定原因生存的估计通常是不合适的。
我们将考虑事件的累积发生率函数(CIF) 

  

CIF

mstate计算竞争事件的非参数CIF(也称为Aalen-Johansen估计)和相关的标准误差。

 head(cif)
   time      Surv CI.Oral ca. death CI.Other death      seSurv seCI.Oral ca. death
1 0.085 0.9925094       0.007490637    0.000000000 0.005276805         0.005276805
2 0.162 0.9887640       0.011235955    0.000000000 0.006450534         0.006450534
3 0.167 0.9812734       0.011235955    0.007490637 0.008296000         0.006450534
4 0.170 0.9775281       0.011235955    0.011235955 0.009070453         0.006450534
5 0.249 0.9737828       0.011235955    0.014981273 0.009778423         0.006450534
6 0.252 0.9662921       0.014981273    0.018726592 0.011044962         0.007434315
  seCI.Other death
1      0.000000000
2      0.000000000
3      0.005276805
4      0.006450534
5      0.007434315
6      0.008296000

我们可以绘制CIF以及生存函数。

 

 

通过因子变量的水平来估计累积发生率函数 。

grid.arrange(
 
  ncol = 2
)

 

我们可以看到,IV期口腔癌死亡的CIF高于III,甚至更高于I + II。相反,对于其他原因死亡率,曲线似乎不随肿瘤阶段而变化。

当我们想要在竞争风险设置中对生存数据进行建模时,有两种常见的策略可以解决不同的问题:
- 针对事件特定风险的Cox模型,例如,兴趣在于预测因素对死亡率的生物效应非常疾病。
- 当我们想要评估因子对事件总体累积发生率的影响时。

 

CIF Cox模型

 
 round(ci.exp(m2haz2), 4)
                 exp(Est.)   2.5%  97.5%
sexMale             1.8103 1.1528 2.8431
I((age - 65)/10)    1.4876 1.2491 1.7715
st3III              1.2300 0.7488 2.0206
st3IV               1.6407 0.9522 2.8270

原因特异性Cox模型的结果与原因特异性CIF的图形表示一致,即肿瘤IV期仅是口腔癌死亡率的重要风险因素。年龄增加与两种原因的死亡率增加相关(口腔癌死亡率HR = 1.42,其他原因死亡率HR = 1.48)。仅根据其他原因死亡率观察到性别差异(HR = 1.8)。

 

CRR模型

crr()cmprsk竞争风险的情况下,包中的函数可用于子分布函数的回归建模。

 

Call:
crr(ftime = time, fstatus = event, cov1 = model.matrix(m2), failcode = "Oral ca. death")

                    coef exp(coef) se(coef)      z p-value
sexMale          -0.0953     0.909    0.213 -0.447 6.5e-01
I((age - 65)/10)  0.2814     1.325    0.093  3.024 2.5e-03
st3III            0.3924     1.481    0.258  1.519 1.3e-01
st3IV             1.0208     2.775    0.233  4.374 1.2e-05

                 exp(coef) exp(-coef)  2.5% 97.5%
sexMale              0.909      1.100 0.599  1.38
I((age - 65)/10)     1.325      0.755 1.104  1.59
st3III               1.481      0.675 0.892  2.46
st3IV                2.775      0.360 1.757  4.39

Num. cases = 267
Pseudo Log-likelihood = -501 
Pseudo likelihood ratio test = 31.4  on 4 df,
m2fg2 <- with(orca2, crr(time, event, cov1 = model.matrix(m2), failcode = "Other death"))
summary(m2fg2, Exp = T)
Competing Risks Regression

Call:
crr(ftime = time, fstatus = event, cov1 = model.matrix(m2), failcode = "Other death")

                   coef exp(coef) se(coef)      z p-value
sexMale           0.544     1.723   0.2342  2.324   0.020
I((age - 65)/10)  0.197     1.218   0.0807  2.444   0.015
st3III            0.130     1.139   0.2502  0.521   0.600
st3IV            -0.212     0.809   0.2839 -0.748   0.450

                 exp(coef) exp(-coef)  2.5% 97.5%
sexMale              1.723      0.580 1.089  2.73
I((age - 65)/10)     1.218      0.821 1.040  1.43
st3III               1.139      0.878 0.698  1.86
st3IV                0.809      1.237 0.464  1.41

Num. cases = 267
Pseudo Log-likelihood = -471 
Pseudo likelihood ratio test = 9.43  on 4 df,
 
还有问题,联系我们! 

最受欢迎的见解

1.R语言绘制生存曲线估计|生存分析|如何R作生存曲线图

2.R语言生存分析可视化分析

3.R语言如何在生存分析与Cox回归中计算IDI,NRI指标

4.r语言中使用Bioconductor 分析芯片数据

5.R语言生存分析数据分析可视化案例

6.r语言ggplot2误差棒图快速指南

7.R 语言绘制功能富集泡泡图

8.R语言如何找到患者数据中具有差异的指标?(PLS—DA分析)

9.R语言中的生存分析Survival analysis晚期肺癌患者4例