R语言深度学习探索德国数据科学就业市场

153 阅读1分钟

原文链接:www.cnblogs.com/tecdat/p/11…

 

看看就业市场中深度学习/人工智能趋势如何广泛流行。

 我从网站上挖掘了可用的职位空缺数量:Monster,Stepstone和Indeed正在搜索术语“数据科学家”。

为了把这些数字看得很清楚,在2015年12月,我在Indeed上找到65个工作,在Monster找到36个,在Stepstone找到36个。 数据科学市场增长了5至10倍。

在Indeed确定的约600个职位由254家公司宣传,与2015年相比几乎增加了5倍。

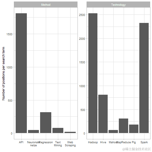
为了了解深度学习的重要性,我比较了搜索词 与其他数据搜索词的关系。我们看到,该关键字有400个开放职位。数据挖掘或机器学习在因子2和因子4.5中更为常见。

查看广告方法,我们发现在标准数据准备和统计技能的基础上总是有好处的。

最后,通过查看编程语言和商业智能工具,我们发现Java和Excel仍然非常受欢迎。

两年前,我总结道:

鉴于这一分析,我会得出结论,德国对于数据科学家来说还不是一个热门市场。

考虑到职位增加了5倍,我认为德国公司最终意识到数字化转型需要高技能的受过数据教育的员工。