线性混合效应模型Linear Mixed-Effects Models的部分折叠Gibbs采样

526 阅读6分钟

原文链接tecdat.cn/?p=2654

 

 

本文介绍了线性混合效应模型的新型贝叶斯分析。该分析基于部分折叠的方法,该方法允许某些组件从模型中部分折叠。得到的部分折叠的Gibbs(PCG)采样器被构造成适合线性混合效应模型,预计会比相应的Gibbs采样器表现出更好的收敛特性。为了构建PCG采样器而不使组件更新复杂化,我们考虑通过在线性混合效应模型中根据组内方差表示组间方差来重新参数化模型组件。

简介

已经开发出混合效应模型来处理相关响应数据并考虑多种变化来源。为了解释响应变量的依赖结构,混合效应模型不仅包含固定效应,还包含将某些协变量视为随机变量的随机效应。混合效应模型在一段时间内对受试者进行重复测量的环境中特别方便。与传统的纵向数据方法相比,混合效应模型也可以处理缺失值。

方法 具有适当先验分布的混合效应模型考虑一般的混合效应模型

(1)

(2)

其中b=(b1,b2,...,bk)是随机效应的q×k矩阵,Y= {Yi}ki= 1是观测数据的集合,代表逆Wishart分布,和

默顿的跳跃扩散模型

考虑默顿的跳跃扩散模型其目的是模型跳跃由于罕见的经济事件或新闻突然资产价格。该模型由。给出

(3)

其中St代表时间t的资产价格,γ是资产的瞬时预期收益,σ是资产收益的瞬时标准差,Wt是维纳过程,对数跳跃大小Jt是均值μ高斯随机变量Ĵ和方差σ2Ĵ,和ñ吨是一个泊松过程与到达速率λ。在没有跳跃过程的情况下,(3)中的模型被称为几何布朗运动过程,并且{St}Tt= 1的连续对数比率与平均γ和方差σ独立高斯随机变量2。然而,当在时间t发生跳跃时,该过程不再是连续的; S t -明确表示跳转之间的不连续性。此外,我们考虑基于日常的资产价格,因此假设在每个时间间隔内最多发生一次跳跃,即

模拟

为了说明PCG采样器相对于Gibbs采样器的改进收敛特性,对具有适当先验分布的混合效应模型和Merton的跳跃扩散模型进行了仿真研究。首先,在(7)中具有适当先验分布的混合效应模型中,我们假设存在k = 100个组,并且每个组具有相同的大小n i = 2.模型参数的真实值被设置为,σ 2 = 1,并且

图1由具有适当先验分布的混合效应模型构建的Gibbs采样器模拟的每个模型参数的混合图,自相关图和边际后验概率分布函数。

图2由具有适当先验分布的混合效应模型构建的PCG采样器模拟的每个模型参数的混合图,自相关图和边际后验概率分布函数。

图3由具有适当先验分布的Merton跳跃扩散模型构建的Gibbs采样器模拟的每个模型参数的混合图,自相关图和边际后验概率分布函数。

图4由具有适当先验分布的Merton跳跃扩散模型构建的PCG采样器模拟的每个模型参数的混合图,自相关图和边际后验概率分布函数。

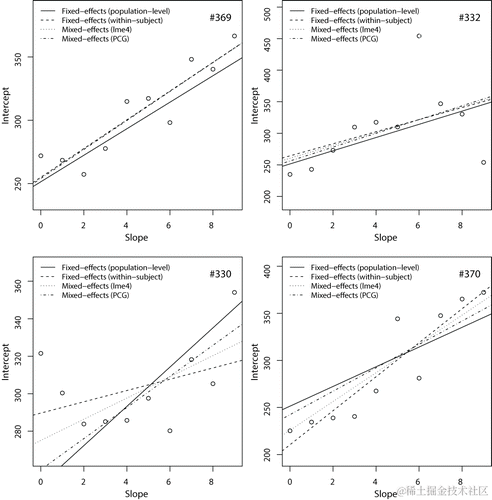
适用于睡眠剥夺研究为了说明所提方法在实际数据问题中的优势,混合效应模型适用于睡眠剥夺的纵向数据。睡眠限制和随后恢复期间性能退化和恢复的模式:睡眠剂量 - 反应研究。。在睡眠剥夺研究中,对18名长途卡车司机进行了一系列测试的平均反应时间(以毫秒为单位),从第1天到第9天,他们被限制为每晚3小时的睡眠。在第0天,平均在从23:00到07:00睡眠8小时后测量反应时间。图5主体内系数和混合效应系数的比较。空心圆圈表示固定效应系数的估计值,实心圆圈表示受试者内系数的估计值,闭合三角形表示由R包lme4计算的混合效应估计值,实心方块表示由PCG采样器计算的混合效应估计值,以及箭头表示受试者内固定效应和混合效应模型之间估计值的变化。

图6混合效应系数的后验分布。闭环表示受试者内固定效应系数的估计,闭合三角表示由R包lme4计算的混合效应估计,而闭合正方形表示由PCG采样器计算的混合效应估计。

图7带有观测数据的拟合线性线。

讨论

本文提出了线性混合效应模型的有效贝叶斯分析的部分折叠方法。这种方法的核心是混合效应模型的新参数化的公式,它可以应用部分折叠,而不会使得到的PCG采样器中的组件更新复杂化。结果表明,一般混合效应模型和默顿跳跃扩散模型的PCG采样大大提高了相应Gibbs采样器的收敛性。

 

相关推荐:

 线性混合效应模型Linear Mixed-Effects Models的部分..

 R语言 线性混合效应模型实战案例 

基于R语言的lmer混合线性回归模型