用Python粒度分析及其在沉积学中应用研究

262 阅读3分钟

原文链接:tecdat.cn/?p=5754

 

谷物沉降是沉积学中最重要的问题之一(因此也是沉积地质学),因为在不知道某一粒度粒子的沉降速度是多少的情况下,沉积物运输和沉积都不能被理解和建模。当浸没在水中时,非常小的颗粒具有足够小的质量,使得它们在任何湍流发展之前达到最终速度。这适用于在水中沉降的粘土和淤泥尺寸的颗粒,对于这些颗粒尺寸等级,斯托克斯定律可用于计算沉降速度:

 

对于比淤泥更粗糙的粒度,这一类别明显包括地质学家非常感兴趣的大量沉积物和岩石类型,事情变得更加复杂。其原因是在落下的谷物后面产生了分离尾迹; 该尾迹的出现导致颗粒的前部和后部之间的湍流和大的压力差。对于大颗粒 - 鹅卵石,鹅卵石 - 这种效应非常强烈,与压力相比,粘性力变小,湍流阻力占主导地位; 可以使用经验方程估计沉降速度

重要的是,对于较大的颗粒,沉降速度增加得更慢,颗粒尺寸的平方根与粒子直径的平方相反,如斯托克斯定律。

沙粒足够小,粘性力仍然在其水下沉降行为中发挥重要作用,但足够大以至于偏离斯托克斯定律是显着的,并且尾流紊流不容忽视。 :

 

在D的小值处,分母中的左项比包含D的三次幂的左项大得多,并且该等式等效于斯托克斯定律。在D值较大时,第二项占主导地位,并且沉降速度收敛于湍流阻力方程的解。

 

首先,我们必须将这三个方程实现为Python函数:

import numpy as np

import matplotlib.pyplot as plt

rop = 2650.0 # density of particle in kg/m3

rof = 1000.0 # density of water in kg/m3

visc = 1.002*1E-3 # dynamic viscosity in Pa*s at 20 C

C1 = 18 # constant in Ferguson-Church equation

让我们绘制一系列粒径的这些方程式:

 

黑点是用天然河砂进行的沉降实验的数据点(Ferguson and Church,2004中的表2)。显然,偏离斯托克斯定律对于非常细的沙子来说已经非常重要,斯托克斯定居完全不足以描述中砂的沉降。

该图仅捕获比中等砂更细的粒度; 让我们看看当我们迁移到更粗糙的沉积物时会发生什么。对于此目的,对数 - 对数图更好。

  

 

 

该图显示了斯托克斯定律和基于湍流阻力的速度对于计算水中砂粒大小的沉降速度无效,而弗格森 - 教堂方程无论如何都能很好地拟合天然河砂。

谷物沉降是流过球体的更一般问题的一个特例。上面的分析和图表都是维度的,也就是说,您可以通过查看图表快速检查非常细砂的近似沉降速度。这很好,但你必须生成一个新的情节 - 并且可能做一个新的实验 - 如果你想看一些颗粒在水以外的其他流体中的行为。对问题的更一般处理涉及无量纲变量; 在这种情况下,这些变量是雷诺数和阻力系数。流过球体的经典图表是阻力系数与雷诺数的关系图。我将尝试使用来自上述三个等式的稳定速度来重现该图。

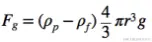
在终端沉降速度下,阻力等于作用在颗粒上的重力:

 

我们也知道重力是由谷物的淹没重量给出的:

 

阻力系数本质上是阻力的无量纲版本:

 

在终端沉降速度下,粒子雷诺数为

 

使用这些关系可以生成阻力系数与雷诺数的关系图:

 

 

▍需要帮助?联系我们