matlab脉冲响应图的时域特征

301 阅读1分钟

原文链接: tecdat.cn/?p=5239

原文出处:拓端数据部落公众号

 

此示例显示如何在步骤响应图上显示系统特性,例如稳定时间和过冲。

您可以使用类似的程序在脉冲响应图或初始值响应图上显示系统特征,例如峰值响应或稳定时间。

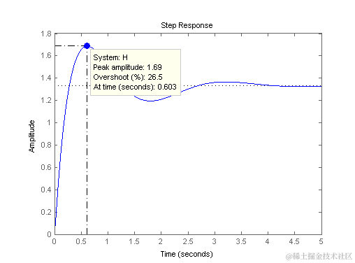
创建传递函数模型并绘制其对t = 0 处的阶跃输入的响应。

H = tf([8 18 32],[1 6 14 24]);
stepplot(H)

 

在图上显示峰值响应。

右键单击图中的任意位置,然后从菜单中选择“ 特征” >“ 峰值响应 ”。

图表上出现标记,表示峰值响应。水平和垂直虚线表示该响应的时间和幅度。

单击标记可在数据提示中查看峰值响应的值和过冲。

您可以使用类似的步骤从“ 特性” 菜单中选择其他特征,例如稳定时间和上升时间, 并查看值。