R语言中的block Gibbs吉布斯采样贝叶斯多元线性回归

322 阅读3分钟

原文链接:tecdat.cn/?p=11617

原文出处:拓端数据部落公众号


 

在这篇文章中,我将对多元线性回归使用block的Gibbs采样,得出block的Gibbs采样所需的条件后验分布。然后,对采样器进行编码,并使用模拟数据对其进行测试。

 

 贝叶斯模型

假设我们有一个样本量的主题。 贝叶斯多元回归假设该向量是从多元正态分布中提取的 ,通过使用恒等矩阵,我们假设独立的观察结果。

到目前为止,这与多元正态回归相同。 则将概率最大化可得出以下解 :

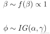
贝叶斯模型是通过指定为一个先验分布得到 。在此示例中,我将在以下情况下使用 先验值 

 

 

block Gibbs

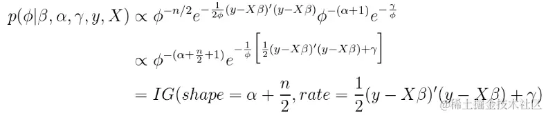
在对采样器进行编码之前,我们需要导出Gibbs采样器的 每个参数的后验条件分布。

 

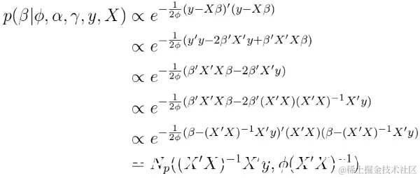
条件后验\ beta取更多的线性代数。

这是一个非常漂亮和直观的结果。 条件后验的协方差矩阵是协方差矩阵的估计

还要注意,条件后验是一个多元分布。因此,在Gibbs采样器的每次迭代中,我们从后验绘制出一个完整的矢量

模拟

我模拟的 结果向量。 

运行 Gibbs采样器 会生成对真实系数和方差参数的估计。运行了500,000次迭代。周期为100,000次,10次迭代。

以下是MCMC链的图,其中真实值用红线表示。

# 计算后验摘要统计信息
post_dist %>%
  group_by(para) %>%
  summarise(median=median(draw),
            lwr=quantile(.025),
            upr=quantile(.975)) %>%
 
# 合并汇总统计信息
post_dist <- post_dist %>%
  left_join(post_sum_stats, by='param')
 
# 绘制MCMC链
ggplot(post_dist,aes(x=iter,y=dra)) +
  geom_line() +
  geom_hline(aes(yintercept=true_vals))

MCMC_chains_blocked_Gibbs

这是修整后参数的后验分布:

ggplot(post_dist,aes(x=draw)) +
  geom_histogram(aes(x=draw),bins=50) +
  geom_vline(aes(xintercept = true_vals)) 

 

 

似乎能够获得这些参数的合理后验估计。 为了确保贝叶斯估计器正常工作,我对1,000个模拟数据集重复了此过程

这将产生1,000组后验均值和1,000组95%置信区间。平均而言,这1000个后验均值应以真实值为中心。平均而言,真实参数值应在95%的时间的置信区间内。

以下是这些评估的摘要。

“估计平均值”列是所有1,000个模拟中的平均后验平均值。偏差百分比均小于5%。对于所有参数,95%CI的覆盖率约为95%。

 

扩展 

我们可以对该模型进行许多扩展。例如,可以使用除正态分布外的其他分布来拟合不同类型的结果。 例如,如果我们有二元数据,则可以将其建模为:

然后在上放一个先验分布。这个想法将贝叶斯线性回归推广到贝叶斯GLM。

在本文中概述的线性情况下,可以更灵活地对协方差矩阵建模。相反,假设协方差矩阵是对角线且具有单个公共方差。这是多元线性回归中的同方差假设。如果数据是分类的(例如,每个受试者有多个观察结果),我们可以使用反Wishart分布来建模整个协方差矩阵。

 


最受欢迎的见解 

1.matlab使用贝叶斯优化的深度学习

2.matlab贝叶斯隐马尔可夫hmm模型实现

3.R语言Gibbs抽样的贝叶斯简单线性回归仿真

4.R语言中的block Gibbs吉布斯采样贝叶斯多元线性回归

5.R语言中的Stan概率编程MCMC采样的贝叶斯模型

6.Python用PyMC3实现贝叶斯线性回归模型

7.R语言使用贝叶斯 层次模型进行空间数据分析

8.R语言随机搜索变量选择SSVS估计贝叶斯向量自回归(BVAR)模型

9.matlab贝叶斯隐马尔可夫hmm模型实现