2-三大模型MVVM-MVC-MVP

313 阅读2分钟

前言

Hi,我是Aben,连夜更新第二集,欢迎Star---》源代码仓库

  • 首先需要声明的一个点,在前端的MV模块与后端的MV模块是不相同的,我们可以简单的做点了解,比如前端针对的浏览器的MV,M指的是数据层(JSON、XML)与请求层(Ajax、Axios),V指的是包含HTML与CSS这种视图模块层;而后端的M指的是数据模块中的Session服务器、关系服务器等,其V用来指代各种计算机语言生成的模板。可以看到,在后端的MV与前端的MV存在差异,没有直接的联系。因为我本身为前端开发学习者,因此接下来讲解的方向均针对的是前端方向。

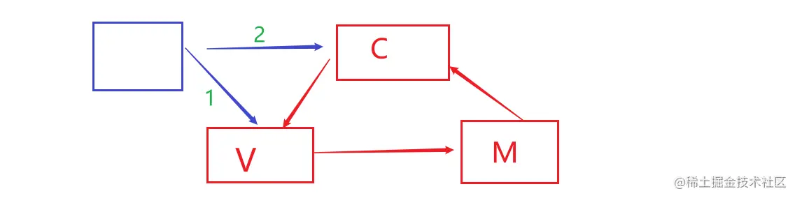
MVC

  • 视图(View):用户界面。

  • 控制器(Controller):业务逻辑

  • 模型(Model):数据保存

    这三者通过彼此单向环状联系,V层传送指令到C层,而C层完成业务后要求M层更改状态,M层再反馈数据给V层,因此用户会得到动态数据反馈。

    用户可以通过方式1,直接更改View,而再传递给Controller;或选择2方式直接更改Controller

image-20210625145538520.png

MVP

  • P(Presenter):业务逻辑

    与mvc不同,在mvp中这三者实现了双向绑定,在V层与M层为彼此不联系关系,都通过p层进行数据传输

image-20210625151338135.png

MVVM

MVVM,VM指ViuewModel,即为model-view-binder(模型-视图-视图模型),作为一种软件体系结构模式,它通过双向数据绑定,将View于Model的同步更新实现自动化,即Model变化带动ViewModel自动更新,ViewModel变化View也会更新,但V层与M层之间不会产生直接联系。而Vue就是通过数据劫持与发布-订阅模式实现这一功能(关于数据劫持与发布订阅模式届时我们通过与Vue的生命周期,利用Vue源码与流程图的方式一起讲解,这里指简单提及),引入vue就是可以更加方便的来处理的就是VM这数据绑定。

image-20210625151621459.png 如下面代码所示,template处理的是V层,而其他对象针对的是model模块,我们的vue在这里将很多细节进行了隐藏,如同黑盒子般将v层与m层进行数据处理。

<body>
  
  <div id="app"></div>

  <script src="../js/vue.js"></script>
  <script>
    Vue.createApp({
      template: `
        <div>
          <h2>{{message}}</h2>
          <h2>{{counter}}</h2>
          <button @click='increment'>+1</button>
          <button @click='decrement'>-1</button>
        </div>
      `,
      data: function() {
        return {
          message: "Hello World",
          counter: 100
        }
      },
      // 定义各种各样的方法
      methods: {
        increment() {
          console.log("点击了+1");
          this.counter++;
        },
        decrement() {
          console.log("点击了-1");
          this.counter--;
        }
      }
    }).mount('#app');
  </script>
</body>

image-20210625180149617.png

JS还原MVVM双向绑定

这个时候或许还有人会好奇,MVVM的原理在代码逻辑上是怎么实现的,下面用原生JS代码进行简单的还原mvvm模式。

image-20210625164649395.png

<body>
    <script>
      /* 设定初始变量 */
        let msg = " Hello World!";
        window.onload = function() {
          /* 获取元素 */
            let h2Dom = document.getElementById("h2Dom");
            let inputDom = document.getElementById("inputDom");
            /* 实现双向绑定 */
            h2Dom.innerHTML = msg;
            inputDom.value = msg;
            inputDom.addEventListener("input", function() {
                msg = this.value;
                h2Dom.innerHTML = msg;
            })
        }
    </script>
    <!-- v层 -->
    <div>
        <h2 id="h2Dom"></h2>
        <input id="inputDom" />
    </div>
</body>

好了,对于三大模式的讲解就到这里了 ,欢迎订阅我的频道,如果对文章有其他深刻见解欢迎讨论。