RocketMQ 千锤百炼--哈啰在分布式消息治理和微服务治理中的实践

1,549 阅读14分钟

头图.jpg

作者|梁勇

背景

​ 哈啰已进化为包括两轮出行(哈啰单车、哈啰助力车、哈啰电动车、小哈换电)、四轮出行(哈啰顺风车、全网叫车、哈啰打车)等的综合化移动出行平台,并向酒店、到店团购等众多本地生活化生态探索。 ​ 随着公司业务的不断发展,流量也在不断增长。我们发现生产中的一些重大事故,往往是被突发的流量冲跨的,对流量的治理和防护,保障系统高可用就尤为重要。 ​ 本文就哈啰在消息流量和微服务调用的治理中踩过的坑、积累的经验进行分享。 ​

作者介绍

​ 梁勇 ( 老梁 ) ,《 RocketMQ 实战与进阶》专栏联合作者、参与了《 RocketMQ 技术内幕》审稿工作。ArchSummit 全球架构师大会讲师、QCon 案例研习社讲师。

当前主要在后端中间件方向,在公众号【瓜农老梁】已陆续发表百余篇源码实战类文章,涵盖 RocketMQ 系列、Kafka 系列、GRPC 系列、Nacosl 系列、Sentinel 系列、Java NIO 系列。目前就职于哈啰出行,任职高级技术专家。 ​

聊聊治理这件事

​ 开始之前先聊聊治理这件事情,下面是老梁个人理解: ​

治理在干一件什么事?

  • 让我们的环境变得美好一些

需要知道哪些地方还不够好?

  • 以往经验
  • 用户反馈
  • 业内对比

还需要知道是不是一直都是好的?

  • 监控跟踪
  • 告警通知

不好的时候如何再让其变好?

  • 治理措施
  • 应急方案

目录

  1. 打造分布式消息治理平台
  2. RocketMQ 实战踩坑和解决
  3. 打造微服务高可用治理平台

背景

裸奔的 RabbitMQ

​ 公司之前使用 RabbitMQ ,下面在使用 RabbitMQ 时的痛点,其中很多事故由于 RabbitMQ 集群限流引起的。 ​

  • 积压过多是清理还是不清理?这是个问题,我再想想。
  • 积压过多触发集群流控?那是真的影响业务了。
  • 想消费前两天的数据?请您重发一遍吧。
  • 要统计哪些服务接入了?您要多等等了,我得去捞IP看看。
  • 有没有使用风险比如大消息?这个我猜猜。

裸奔的服务

曾经有这么一个故障,多个业务共用一个数据库。在一次晚高峰流量陡增,把数据库打挂了。

  • 数据库单机升级到最高配依然无法解决
  • 重启后缓一缓,不一会就又被打挂了
  • 如此循环着、煎熬着、默默等待着高峰过去

思考:无论消息还是服务都需要完善的治理措施

打造分布式消息治理平台

设计指南

​ 哪些是我们的关键指标,哪些是我们的次要指标,这是消息治理的首要问题。

设计目标 ​ 旨在屏蔽底层各个中间件( RocketMQ / Kafka )的复杂性,通过唯一标识动态路由消息。同时打造集资源管控、检索、监控、告警、巡检、容灾、可视化运维等一体化的消息治理平台,保障消息中间件平稳健康运行。 ​

消息治理平台设计需要考虑的点

  • 提供简单易用 API
  • 有哪些关键点能衡量客户端的使用没有安全隐患
  • 有哪些关键指标能衡量集群健康不健康
  • 有哪些常用的用户/运维操作将其可视化
  • 有哪些措施应对这些不健康

尽可能简单易用

设计指南

​ 把复杂的问题搞简单,那是能耐。

极简统一 API ​ 提供统一的 SDK 封装了( Kafka / RocketMQ )两种消息中间件。 ​ 1.png

一次申请

​ 主题消费组自动创建不适合生产环境,自动创建会导致失控,不利于整个生命周期管理和集群稳定。需要对申请流程进行控制,但是应尽可能简单。例如:一次申请各个环境均生效、生成关联告警规则等。 ​ 2.png

客户端治理

设计指南

监控客户端使用是否规范,找到合适的措施治理

场景回放

场景一 瞬时流量与集群的流控

假设现在集群 Tps 有 1 万,瞬时翻到 2 万甚至更多,这种过度陡增的流量极有可能引发集群流控。针对这类场景需监控客户端的发送速度,在满足速度和陡增幅度阈值后将发送变的平缓一些。

场景二 大消息与集群抖动

当客户端发送大消息时,例如:发送几百KB甚至几兆的消息,可能造成 IO 时间过长与集群抖动。针对这类场景治理需监控发送消息的大小,我们采取通过事后巡检的方式识别出大消息的服务,推动使用同学压缩或重构,消息控制在 10KB 以内。

场景三 过低客户端版本

随着功能的迭代 SDK 的版本也会升级,变更除了功能外还有可能引入风险。当使用过低的版本时一个是功能不能得到支持,另外一个是也可能存在安全隐患。为了解 SDK 使用情况,可以采取将 SDK 版本上报,通过巡检的方式推动使用同学升级。

场景四 消费流量摘除和恢复

消费流量摘除和恢复通常有以下使用场景,第一个是发布应用时需要先摘流量,另外一个是问题定位时希望先把流量摘除掉再去排查。为了支持这种场景,需要在客户端监听摘除/恢复事件,将消费暂停和恢复。

场景五 发送/消费耗时检测

发送/消费一条消息用了多久,通过监控耗时情况,巡检摸排出性能过低的应用,针对性推动改造达到提升性能的目的。

场景六 提升排查定位效率

在排查问题时,往往需要检索发了什么消息、存在哪里、什么时候消费的等消息生命周期相关的内容。这部分可以通过 msgId 在消息内部将生命周期串联起来。另外是通过在消息头部埋入 rpcId / traceId 类似链路标识,在一次请求中将消息串起来。

治理措施提炼

需要的监控信息

  • 发送/消费速度
  • 发送/消费耗时
  • 消息大小
  • 节点信息
  • 链路标识
  • 版本信息

常用治理措施

  • 定期巡检:有了埋点信息可以通过巡检将有风险的应用找出来。例如发送/消费耗时大于 800 ms、消息大小大于 10 KB、版本小于特定版本等。
  • 发送平滑:例如检测到瞬时流量满足 1 万而且陡增了 2 倍以上,可以通过预热的方式将瞬时流量变的平滑一些。
  • 消费限流:当第三方接口需要限流时,可以对消费的流量进行限流,这部分可以结合高可用框架实现。
  • 消费摘除:通过监听摘除事件将消费客户端关闭和恢复。

主题/消费组治理

设计指南

​ 监控主题消费组资源使用情况 ​

场景回放

​ 场景一 消费积压对业务的影响 ​ 有些业务场景对消费堆积很敏感,有些业务对积压不敏感,只要后面追上来消费掉即可。例如单车开锁是秒级的事情,而信息汇总相关的批处理场景对积压不敏感。通过采集消费积压指标,对满足阈值的应用采取实时告警的方式通知到应用负责的同学,让他们实时掌握消费情况。 ​ 场景二 消费/发送速度的影响 ​ 发送/消费速度跌零告警?有些场景速度不能跌零,如果跌零意味着业务出现异常。通过采集速度指标,对满足阈值的应用实时告警。 ​ 场景三 消费节点掉线 ​ 消费节点掉线需要通知给应用负责的同学,这类需要采集注册节点信息,当掉线时能实时触发告警通知。 ​ 场景四 发送/消费不均衡 ​ 发送/消费的不均衡往往影响其性能。记得有一次咨询时有同学将发送消息的key设置成常量,默认按照 key 进行 hash 选择分区,所有的消息进入了一个分区里,这个性能是无论如何也上不来的。另外还要检测各个分区的消费积压情况,出现过度不均衡时触发实时告警通知。 ​

治理措施提炼

​ 需要的监控信息 ​

  • 发送/消费速度
  • 发送分区详情
  • 消费各分区积压
  • 消费组积压
  • 注册节点信息

常用治理措施 ​

  • 实时告警:对消费积压、发送/消费速度、节点掉线、分区不均衡进行实时告警通知。
  • 提升性能:对于有消费积压不能满足需求,可以通过增加拉取线程、消费线程、增加分区数量等措施加以提升。
  • 自助排查:提供多维度检索工具,例如通过时间范围、msgId 检索、链路系统等多维度检索消息生命周期。

集群健康治理

设计指南

​ 度量集群健康的核心指标有哪些? ​

场景回放

场景一 集群健康检测 ​ 集群健康检测回答一个问题:这个集群是不是好的。通过检测集群节点数量、集群中每个节点心跳、集群写入Tps水位、集群消费Tps水位都是在解决这个问题。 ​ 场景二 集群的稳定性 ​ 集群流控往往体现出集群性能的不足,集群抖动也会引发客户端发送超时。通过采集集群中每个节点心跳耗时情况、集群写入Tps水位的变化率来掌握集群是否稳定。 ​ 场景三 集群的高可用 ​ 高可用主要针对极端场景中导致某个可用区不可用、或者集群上某些主题和消费组异常需要有一些针对性的措施。例如:MQ 可以通过同城跨可用区主从交叉部署、动态将主题和消费组迁移到灾备集群、多活等方式进行解决。 ​

治理措施提炼

​ 需要的监控信息 ​

  • 集群节点数量采集
  • 集群节点心跳耗时
  • 集群写入 Tps 的水位
  • 集群消费 Tps 的水位
  • 集群写入 Tps 的变化率

常用治理措施 ​

  • 定期巡检:对集群 Tps 水位、硬件水位定期巡检。
  • 容灾措施:同城跨可用区主从交叉部署、容灾动态迁移到灾备集群、异地多活。
  • 集群调优:系统版本/参数、集群参数调优。
  • 集群分类:按业务线分类、按核心/非核心服务分类。

最核心指标聚焦

​ 如果说这些关键指标中哪一个最重要?我会选择集群中每个节点的心跳检测,即:响应时间( RT ),下面看看影响 RT 可能哪些原因。

3.png

关于告警

  • 监控指标大多是秒级探测
  • 触发阈值的告警推送到公司统一告警系统、实时通知
  • 巡检的风险通知推送到公司巡检系统、每周汇总通知

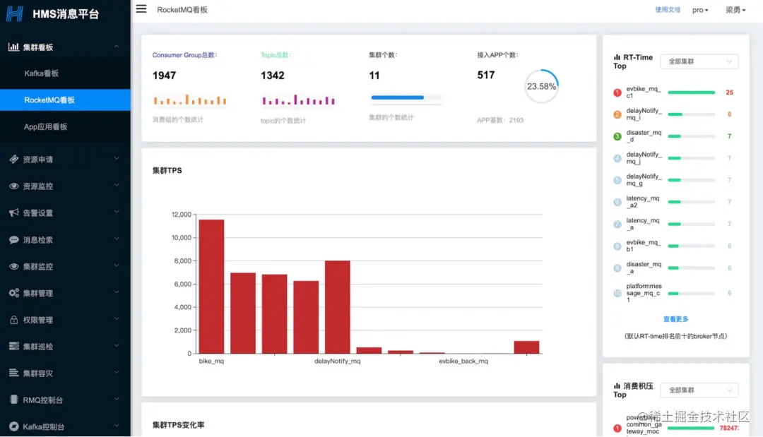
消息平台图示

架构图

4.png

看板图示

  • 多维度:集群维度、应用维度
  • 全聚合:关键指标全聚合

5.png

6.png

RocketMQ 实战中踩过的坑和解决方案

行动指南

​ 我们总会遇到坑,遇到就把它填了。 ​

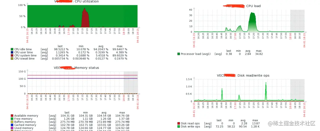
1. RocketMQ 集群 CPU 毛刺

问题描述

**

RocketMQ 从节点、主节点频繁 CPU 飙高,很明显的毛刺,很多次从节点直接挂掉了。

7.png

只有系统日志有错误提示

```js
2020-03-16T17:56:07.505715+08:00 VECS0xxxx kernel:[] ? __alloc_pages_nodemask+0x7e1/0x9602020-03-16T17:56:07.505717+08:00 VECS0xxxx kernel: java: page allocation failure. order:0, mode:0x202020-03-16T17:56:07.505719+08:00 VECS0xxxx kernel: Pid: 12845, comm: java Not tainted 2.6.32-754.17.1.el6.x86_64 #12020-03-16T17:56:07.505721+08:00 VECS0xxxx kernel: Call Trace:2020-03-16T17:56:07.505724+08:00 VECS0xxxx kernel:[] ? __alloc_pages_nodemask+0x7e1/0x9602020-03-16T17:56:07.505726+08:00 VECS0xxxx kernel: [] ? dev_queue_xmit+0xd0/0x3602020-03-16T17:56:07.505729+08:00 VECS0xxxx kernel: [] ? ip_finish_output+0x192/0x3802020-03-16T17:56:07.505732+08:00 VECS0xxxx kernel: [] ?

各种调试系统参数只能减缓但是不能根除,依然毛刺超过 50% 8.png

解决方案

将集群所有系统升级从 centos 6 升级到 centos 7 ,内核版本也从从 2.6 升级到 3.10 ,CPU 毛刺消失。 ​

2. RocketMQ 集群线上延迟消息失效

问题描述

RocketMQ 社区版默认本支持 18 个延迟级别,每个级别在设定的时间都被会消费者准确消费到。为此也专门测试过消费的间隔是不是准确,测试结果显示很准确。然而,如此准确的特性居然出问题了,接到业务同学报告线上某个集群延迟消息消费不到,诡异! ​

解决方案

将" delayOffset.json "和" consumequeue / SCHEDULE_TOPIC_XXXX "移到其他目录,相当于删除;逐台重启 broker 节点。重启结束后,经过验证,延迟消息功能正常发送和消费。 ​

打造微服务高可用治理平台

设计指南

哪些是我们的核心服务,哪些是我们的非核心服务,这是服务治理的首要问题 ​

设计目标

服务能应对突如其来的陡增流量,尤其保障核心服务的平稳运行。 ​

应用分级和分组部署

应用分级

​ 根据用户和业务影响两个纬度来进行评估设定的,将应用分成了四个等级。 ​

  • 业务影响:应用故障时影响的业务范围
  • 用户影响:应用故障时影响的用户数量

S1:核心产品,产生故障会引起外部用户无法使用或造成较大资损,比如主营业务核心链路,如单车、助力车开关锁、顺风车的发单和接单核心链路,以及其核心链路强依赖的应用。 ​ S2: 不直接影响交易,但关系到前台业务重要配置的管理与维护或业务后台处理的功能。 ​ S3: 服务故障对用户或核心产品逻辑影响非常小,且对主要业务没影响,或量较小的新业务;面向内部用户使用的重要工具,不直接影响业务,但相关管理功能对前台业务影响也较小。 ​ S4: 面向内部用户使用,不直接影响业务,或后续需要推动下线的系统。 ​

分组部署

S1 服务是公司的核心服务,是重点保障的对象,需保障其不被非核心服务流量意外冲击。 ​

  • S1 服务分组部署,分为 Stable 和 Standalone 两套环境
  • 非核心服务调用 S1 服务流量路由到 Standalone 环境
  • S1 服务调用非核心服务需配置熔断策略

9.png

多种限流熔断能力建设

我们建设的高可用平台能力

10.png

部分限流效果图

**

  • 预热图示

11.png

  • 排队等待

12.png

  • 预热+排队

13.png

高可用平台图示

**

  • 中间件全部接入
  • 动态配置实时生效
  • 每个资源和 IP 节点详细流量

14.png

总结

  • 哪些是我们的关键指标,哪些是我们的次要指标,这是消息治理的首要问题
  • 哪些是我们的核心服务,哪些是我们的非核心服务,这是服务治理的首要问题
  • 源码&实战 是一种比较好的工作学习方法。