js连等赋值

429 阅读1分钟
<!DOCTYPE html>      
<html lang="en">      
<head>      
    <meta charset="UTF-8">      
    <title>js连等赋值</title>    
    <style type="text/css">
    </style>     
</head>      
<body>
	<script type="text/javascript">
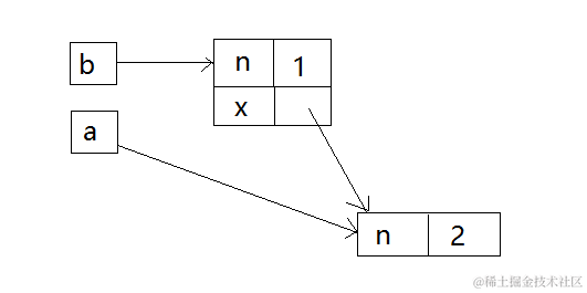
	var a = {n: 1}  
	var b = a;  
	a.x = a = {n: 2}
	console.log(a.x);   //undefined
	console.log(b.x);   //{n: 2}
</script>
</body>      
</html> 

赋值前:


赋值后:

a.x = a = {n: 2}

.运算符优先于=赋值运算,先创建

a.x是一个地址,a也是一个地址,a.x创建后,也就有了b.x,它们是同一个地址

js赋值是右结合的,从右边开始向左边赋值,先将{n:2}赋值给地址a,再将{n:2}赋值给地址a.x(其实也是b.x,它们是同一个地址)\

\

另一个解释:

解析器在接受到 a.x = a = {n: 2} 这样的语句后,会这样做:
1.找到 a.x 和 a 的指针。如果已有指针,那么不改变它。如果没有指针,即那个变量还没被申明,那么就创建它,指向 null。
2.a 是有指针的,指向 {n:1};a.x 是没有指针的,所以创建它,指向 null。
然后把上面两个指针,都指向最右侧赋的那个值,即 {n:2}\

\

\

\

\