LeetCode 25. Reverse Nodes in k-Group(每k个一组反转链表)

355 阅读1分钟

leetcode.com/problems/re…

Discuss:www.cnblogs.com/grandyang/p…

Given a linked list, reverse the nodes of a linked list k at a time and return its modified list.

k is a positive integer and is less than or equal to the length of the linked list. If the number of nodes is not a multiple of k then left-out nodes, in the end, should remain as it is.

You may not alter the values in the list's nodes, only nodes themselves may be changed.

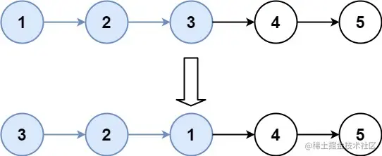
Example 1:

image.png

Input: head = [1,2,3,4,5], k = 2
Output: [2,1,4,3,5]

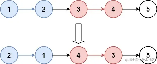
Example 2:

image.png

Input: head = [1,2,3,4,5], k = 3
Output: [3,2,1,4,5]

Example 3:

Input: head = [1,2,3,4,5], k = 1 Output: [1,2,3,4,5] Example 4:

Input: head = [1], k = 1 Output: [1]

Constraints:

The number of nodes in the list is in the range sz.

1 <= sz <= 5000

0 <= Node.val <= 1000

1 <= k <= sz

Follow-up: Can you solve the problem in O(1) extra memory space?

解法一:

/**
 * Example:
 * var li = ListNode(5)
 * var v = li.`val`
 * Definition for singly-linked list.
 * class ListNode(var `val`: Int) {
 *     var next: ListNode? = null
 * }
 */
class Solution {
    fun reverseKGroup(head: ListNode?, k: Int): ListNode? {
        if (head?.next == null || k == 1) {
            return head
        }

        val dummy = ListNode(-1)
        var pre: ListNode? = dummy
        var cur: ListNode? = head
        dummy.next = head
        
        var i = 1
        while (cur != null) {
            if (i % k == 0) {
                pre = reverseOneGroup(pre, cur.next)
                cur = pre?.next
            } else {
                cur = cur.next
            }
            i = ++i
        }
        return dummy.next
    }

    private fun reverseOneGroup(pre: ListNode?, tail: ListNode?): ListNode? {
        val last: ListNode? = pre?.next
        var cur: ListNode? = last?.next
        while (cur != tail) {
            last?.next = cur?.next
            cur?.next = pre?.next
            pre?.next = cur
            cur = last?.next
        }
        return last
    }
}

解法二:

/**
 * Example:
 * var li = ListNode(5)
 * var v = li.`val`
 * Definition for singly-linked list.
 * class ListNode(var `val`: Int) {
 *     var next: ListNode? = null
 * }
 */
class Solution {
    fun reverseKGroup(head: ListNode?, k: Int): ListNode? {
        val dummy = ListNode(-1)
        var pre: ListNode? = dummy
        var cur: ListNode? = pre
        dummy.next = head
        
        var num = 0
        while (cur != null) {
            num++
            cur = cur.next
        }
        while (num > k) {
            cur = pre?.next
            for (index in 1 until k) {
                val tempNode = cur?.next
                cur?.next = tempNode?.next
                tempNode?.next = pre?.next
                pre?.next = tempNode
            }
            pre = cur
            num -= k
        }
        return dummy.next
    }
}

解法三:

递归求解。

/**
 * Example:
 * var li = ListNode(5)
 * var v = li.`val`
 * Definition for singly-linked list.
 * class ListNode(var `val`: Int) {
 *     var next: ListNode? = null
 * }
 */
class Solution {
    fun reverseKGroup(head: ListNode?, k: Int): ListNode? {
        var cur: ListNode? = head
        for (index in 1..k) {
            if (cur == null) {
                return head
            } else {
                cur = cur.next
            }
        }

        val newHead = reverse(head, cur)
        head?.next = reverseKGroup(cur, k)
        return newHead
    }

    private fun reverse(head: ListNode?, tail: ListNode?): ListNode? {
        var pre: ListNode? = null
        var tempHead = head
        while (tempHead != tail) {
            val t = tempHead?.next
            tempHead?.next = pre
            pre = tempHead
            tempHead = t
        }
        return pre
    }
}