JavaScript数据结构-树

143 阅读3分钟

文章转自:
JavaScript数据结构-树

我觉得这社会上,也不差钱好多人,可能好多人也不差权力,但是我觉得能得到这种满足的也不多。 --郭小平<临汾红丝带学校校长>

​ 树是计算机科学中经常用到的一种数据结构。树是一种非线性的数据结构,以分层的方式存储数据。是被用来存储具有层级关系或有序的数据,比如文件系统中的文件。
树

二叉树

二叉树,每个节点最多有两个子树的树结构。二叉树是一种特殊的树,也是一个连通的无环图。
二叉树

二叉查找树

​ 二叉查找树是一种特殊的二叉树,其相对较小的值保存在左节点中,较大的值保存在右节点中。这一特性使其查找效率很高。
二叉查找树

实现二叉查找树

​ 如果待插入节点小于(大于)当前节点,且当前节点的左(右)节点为null,则将待插入节点插入到当前节点的左(右)节点位置上,结束循环;否则,将当前节点的左(右)节作为当前节点继续下次循环。

/**
 * 节点定义
 * @param data 数据
 * @param left 左子树
 * @param right 右子树
 * @constructor
 */
function Node(data, left, right) {
    this.data = data;
    this.left = left;
    this.right = right;
}
Node.prototype.show = function() {
    return this.data;
};

/**

  • 二叉查找树定义
  • @constructor
    /
    function BST() {
    this.root = null;
    }
    /
    *
  • 插入节点
  • @constructor
    */
    BST.prototype.insert = function(data) {
    // 待插入节点
    var node = new Node(data, null, null);
    if(this.root =** null) {
    this.root = node;
    } else {
    var currentNode = this.root;
    var parent;
    while(true) {
    parent = currentNode;
    // 待插入节点小于当前节点
    if(data < currentNode.data) {
    // 将其左子树作为当前节点
    currentNode = currentNode.left;
    if(currentNode = null) {
    parent.left = node;
    break;
    }
    }else {
    // 将其右子树作为当前节点
    currentNode = currentNode.right;
    if(currentNode === null) {
    parent.right = node;
    break;
    }
    }
    }
    }
    return this; // 支持链式调用
    };
  • 中序:先访问左子树,再访问根节点,最后访问右字数;以升序访问BST上所有节点;(左==>根==>右
  • 先序:先访问根节点,然后以同样方式访问左子树和右子树;(根==>左==>右
  • 后序:先访问叶子节点,从左子树到右子树,再到根节点。(左==>右==>根
BST.prototype.order = function(node, type) {
    switch (type) {
        case "inorder":	// 中序
            if(node != null) {
               /*左==>根==>右*/
               this.order(node.left, type);
               console.log(node.show());
               this.order(node.right, type);
            }
            break;
        case "preorder": // 先序
            if(node != null) {
              	/*根==>左==>右*/
                console.log(node.show());
                this.order(node.left, type);
                this.order(node.right, type);
            }
            break;
        case "postorder": // 后序
            if(node != null) {
              	/*左==>右==>根*/
                this.order(node.left, type);
                this.order(node.right, type);
                console.log(node.show());
            }
            break;
    }
};

 

 

测试

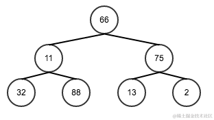
var bst = new BST();
bst.insert(32).insert(11).insert(2)
    .insert(13).insert(75)
    .insert(66).insert(88);

bst.order(bst.root, “inorder”); // 中序
bst.order(bst.root, “preorder”); // 先序
bst.order(bst.root, “postorder”); // 后序

查询最小值和最大值

  • 最小值:遍历左子树,直到找到最后一个节点;
  • 最大值:遍历右子树,直到找到最后一个节点。
/**
 * 获取最小值:左子树的最后一个节点
 */
BST.prototype.getMin = function(node) {
    var currentNode = node || this.root;
    while(currentNode.left !== null) {
        currentNode = currentNode.left;
    }
    return currentNode;
};

/**

  • 获取最小值:右子树的最后一个节点
    */
    BST.prototype.getMax = function(node) {
    var currentNode = node || this.root;
    while(currentNode.right !== null) {
    currentNode = currentNode.right;
    }
    return currentNode;
    };

console.log(bst.getMin().data); // 2
console.log(bst.getMax().data); // 88

查找某节点

/**
 * 查找某节点
 * @param data 数据
 */
BST.prototype.find = function(data) {
    var currentNode = this.root;
    while(currentNode !== null) {
        if(data === currentNode.data) {
            return currentNode;
        }
        currentNode = (data < currentNode.data) ?
            currentNode.left : currentNode.right;
    }
    return null;
};

console.log(bst.find(66)); // Node { data: 66, left: null, right: null }
console.log(bst.find(99));

删除节点

  • 如果待删除节点为叶子节点,则直接删除它;
  • 如果待删除节点只有一个子节点,则直接将待删除节点的父节点指向其子节点;
  • 如果待删除节点包含两个子节点,我们选择右子树上的最小值创建一个临时节点,然后复制到待删节点,然后删除最小值节点。
/**
 * 移除指定数据节点
 * @param data
 */
BST.prototype.remove = function(node, data) {
    node = node || this.root;
    if(data === null) {
        // 待删除节点不存在
        return node;
    }
    if(node.data === data) {
        // 无子节点
        if(node.left === null && node.right === null) {
            return null;
        }
        // 只有右节点,无左节点
        if(node.left === null) {
            return node.right;
        }
        // 只有左节点,无右节点
        if(node.right === null) {
            return node.left;
        }
        // 存在两个节点
        var minNode = this.getMin(node.right);
        console.log(minNode);
        node.data = minNode.data;
        node.right = this.remove(node.right, minNode.data);
    }else if( node.data > data) {
        node.left = this.remove(node.left, data);
    }else if( node.data < data){
        node.right = this.remove(node.right, data);
    }
   	return node;
};

 

 


总结
 


​ 树,在计算机科学中体现的特别多 。如,我们熟悉的DOM树,数据库底层经常用到的B树等等。树能很好的保证字典序,存储词典的空间压缩率高, 能做前缀搜索。抽象地说,基本上有序列的地方就可以应用树,因为树结构即是一种序列索引结构。