leetcode 483. 最小好进制

315 阅读1分钟

这是我参与更文挑战的第18天 ,活动详情查看更文挑战

image.png

题目

对于给定的整数 n, 如果n的k(k>=2)进制数的所有数位全为1,则称 k(k>=2)是 n 的一个好进制。

以字符串的形式给出 n, 以字符串的形式返回 n 的最小好进制。

  • 示例 1:

输入:"13" 输出:"3" 解释:13 的 3 进制是 111。

  • 示例 2:

输入:"4681" 输出:"8" 解释:4681 的 8 进制是 11111。

  • 示例 3:

输入:"1000000000000000000" 输出:"999999999999999999" 解释:1000000000000000000 的 999999999999999999 进制是 11。

提示:

  • n的取值范围是 [3, 10^18]。
  • 输入总是有效且没有前导 0。

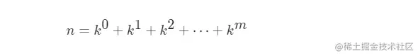
等比数列求和

如果n的k(k>=2)进制数的所有数位全为1,那么可以表示为一个等比数列相加 image.png

因此根据等比数列求和公式可得

image.png

变形得:

image.png

因为n的取值范围是 [3, 10^18]并且k>=2,根据log函数的单调性可得:m<60

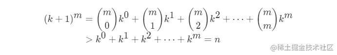
二项式定理

根据二项式定理可得

image.png

又因为

image.png

二式结合可得

image.png

最终可求得k

image.png

解题思路

  1. 根据等比数列求和,我们可以快速得到m的最大值,从而缩小我们的搜索范围

image.png 2. 根据上一步得出的m的取值范围进行遍历,通过二项式定理得出的结论 image.png

可以求出k值,再检验当前k值能否组成n

代码

class Solution {
    public String smallestGoodBase(String n) {

        long num = Long.parseLong(n);
        int maxL = (int) Math.floor(Math.log(num) / Math.log(2));
        for (int m=maxL;m>1;m--)
        {
            int k = (int) Math.pow(num, 1.0 / m);
            long cur=1,pow=1;
            for(int i=0;i<m;i++)
            {
                pow*=k;
                cur+=pow;
            }
            if(cur==num)
                return String.valueOf(k);
        }
        return String.valueOf(num-1);

    }
}