最小二乘法多项式曲线拟合原理与实现

1,701 阅读2分钟

最小二乘法多项式曲线拟合原理与实现

概念

最小二乘法多项式曲线拟合,根据给定的m个点,并不要求这条曲线精确地经过这些点,而是曲线y=f(x)的近似曲线y= φ(x)。

原理

给定数据点pi(xi,yi),其中i=1,2,…,m。求近似曲线y= φ(x)。并且使得近似曲线与y=f(x)的偏差最小。近似曲线在点pi处的偏差δi= φ(xi)-y,i=1,2,...,m。

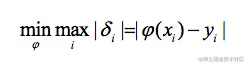
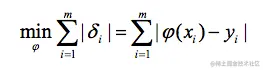
常见的曲线拟合方法:

1.使偏差绝对值之和最小

image.png

2.使偏差绝对值最大的最小

image.png

3.使偏差平方和最小

image.png

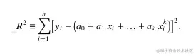
按偏差平方和最小的原则选取拟合曲线,并且采取二项式方程为拟合曲线的方法,称为最小二乘法

推导过程

  1. 设拟合多项式为:

image.png

  1. 各点到这条曲线的距离之和,即偏差平方和如下:

image.png

  1. 为了求得符合条件的a值,对等式右边求ai偏导数,因而我们得到了:

image.png

  1. 将等式左边进行一下化简,然后应该可以得到下面的等式:

image.png

  1. 把这些等式表示成矩阵的形式,就可以得到下面的矩阵:

image.png

  1. 将这个范德蒙得矩阵化简后可得到:

image.png

  1. 也就是说X*A=Y,那么A = (X'X)-1X'*Y,便得到了系数矩阵A,同时,我们也就得到了拟合曲线。

实现

运行前提

Python运行环境与编辑环境; Matplotlib.pyplot图形库,可用于快速绘制2D图表,与matlab中的plot命令类似,而且用法也基本相同。

代码

# coding=utf-8
 
'''
程序:多项式曲线拟合算法
'''
import matplotlib.pyplot as plt
import math
import numpy
import random
 
fig = plt.figure()
ax = fig.add_subplot(111)
 
#阶数为9阶
order=9
 
#生成曲线上的各个点
x = numpy.arange(-1,1,0.02)
y = [((a*a-1)*(a*a-1)*(a*a-1)+0.5)*numpy.sin(a*2) for a in x]
#ax.plot(x,y,color='r',linestyle='-',marker='')
#,label="(a*a-1)*(a*a-1)*(a*a-1)+0.5"
 
#生成的曲线上的各个点偏移一下,并放入到xa,ya中去
i=0
xa=[]
ya=[]
for xx in x:
	yy=y[i]
	d=float(random.randint(60,140))/100
	#ax.plot([xx*d],[yy*d],color='m',linestyle='',marker='.')
	i+=1
	xa.append(xx*d)
	ya.append(yy*d)
 
'''for i in range(0,5):
	xx=float(random.randint(-100,100))/100
	yy=float(random.randint(-60,60))/100
	xa.append(xx)
	ya.append(yy)'''
 
ax.plot(xa,ya,color='m',linestyle='',marker='.')
 
 
#进行曲线拟合
matA=[]
for i in range(0,order+1):
	matA1=[]
	for j in range(0,order+1):
		tx=0.0
		for k in range(0,len(xa)):
			dx=1.0
			for l in range(0,j+i):
				dx=dx*xa[k]
			tx+=dx
		matA1.append(tx)
	matA.append(matA1)
 
#print(len(xa))
#print(matA[0][0])
matA=numpy.array(matA)
 
matB=[]
for i in range(0,order+1):
	ty=0.0
	for k in range(0,len(xa)):
		dy=1.0
		for l in range(0,i):
			dy=dy*xa[k]
		ty+=ya[k]*dy
	matB.append(ty)
 
matB=numpy.array(matB)
 
matAA=numpy.linalg.solve(matA,matB)
 
#画出拟合后的曲线
#print(matAA)
xxa= numpy.arange(-1,1.06,0.01)
yya=[]
for i in range(0,len(xxa)):
	yy=0.0
	for j in range(0,order+1):
		dy=1.0
		for k in range(0,j):
			dy*=xxa[i]
		dy*=matAA[j]
		yy+=dy
	yya.append(yy)
ax.plot(xxa,yya,color='g',linestyle='-',marker='')
 
ax.legend()
plt.show()

image.png