2021-04-14 Matlab实现模糊聚类分析 FCM

386 阅读3分钟

Matlab实现模糊聚类分析 FCM

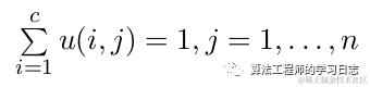
模糊均值聚类(FCM)是用隶属度确定每个数据点属于某个聚类的程度的一种聚类算法。1973年,Bezdek提出了该算法,作为早期硬均值聚类(HCM)方法的一种改进。FCM把 n 个向量 xi(i=1,2,…,n)分为 c 个模糊组,并求每组的聚类中心,使得非相似性指标的价值函数达到最小。FCM 使得每个给定数据点用值在 0,1 间的隶属度来确定其属于各个组的程度。与引入模糊划分相适应,隶属矩阵 U 允许有取值在 0,1 间的元素。不过,加上归一化规定,一个数据集的隶属度的和总等于 1:
图片
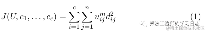
那么,FCM的价值函数(或目标函数):
图片
这里 uij 介于 0,1 间;ci 为模糊组 i 的聚类中心,dij=||ci-xj||为第 i 个聚类中心与第 j 个数据点间的欧几里德距离;且 m (属于1到无穷) 是一个加权指数。
构造如下新的目标函数,可求得使下式达到最小值的必要条件:其实就是拉格朗日乘子法:
图片
对上式所有输入参量求导,使上式达到最小的必要条件为:
图片

图片
由上述两个必要条件,模糊 C 均值聚类算法是一个简单的迭代过程。在批处理方式运行时,
FCM 用下列步骤确定聚类中心 ci 和隶属矩阵 U[1]:
步骤 1:用值在 0,1 间的随机数初始化隶属矩阵 U
步骤 2:用式(3)计算 c 个聚类中心 ci,i=1,…,c。
步骤 3:根据式(1)计算价值函数。如果它小于某个确定的阀值,或它相对上次价
值函数值的改变量小于某个阀值,则算法停止。
步骤 4:用(4)计算新的 U 矩阵和。返回步骤 2。
上述算法也可以先初始化聚类中心,然后再执行迭代过程。由于不能确保 FCM 收敛于一个最优解。算法的性能依赖于初始聚类中心。因此,我们要么用另外的快速算法确定初始聚类中心,要么每次用不同的初始聚类中心启动该算法,多次运行 FCM。

注:上面讨论不难看出二个参数比较重要:1.聚类的数目,2.控制算法的参数m,如果m过大,则聚类的效果很差,如果m过小,则算法接近Kmeans算法。

借用Matlab自带的fcm函数来做个例子

data = rand(100,2); % 数据
options = [2;100;1e-5;1]; % 控制参数
[center,U,obj_fcn] = fcm(data,2,options);  % 聚类为2figure; 
plot(data(:,1), data(:,2),'o'); 
title('Demo'); 
grid on; 
hold on; 
maxU = max(U); 
index1 = find(U(1,:) == maxU); 
index2 = find(U(2,:) == maxU); 
line(data(index1,1),data(index1,2),'marker','*','color','g'); 
line(data(index2,1),data(index2,2),'marker','*','color','r'); 
plot([center([1 2],1)],[center([1 2],2)],'*','color','k') 
hold off;
figure
plot(obj_fcn)
title('Objective Function Values')   
xlabel('Iteration Count')

å¾ç