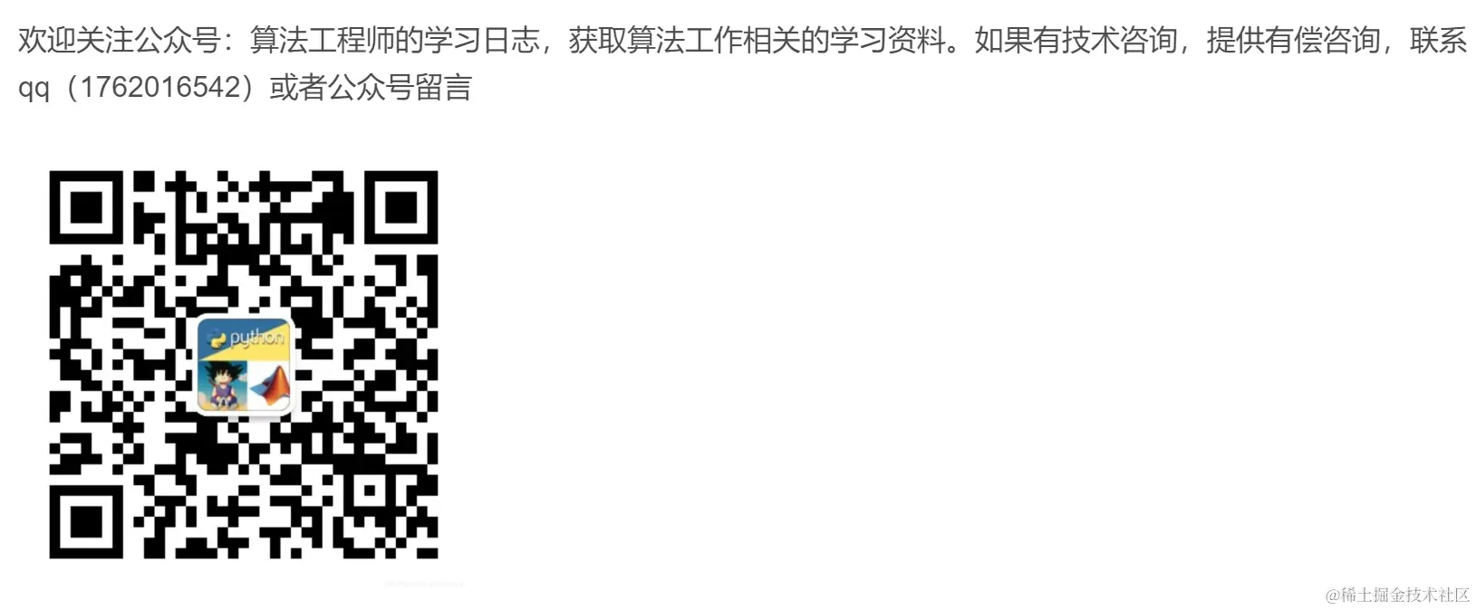
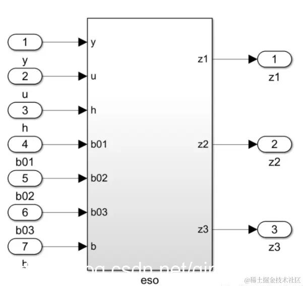
2020-12-18 Simulink实现ESO(扩张状态观测器) 算法工程师的学习日志 2021-06-17 193 阅读1分钟 Simulink实现ESO(扩张状态观测器) ADRC最核心的创新点在于ESO,与PID相比,不仅基于误差控制,还基于扰动进行控制量计算。 1、ADRC的控制框图如下:主要包括跟踪微分器(TD)、非线性状态误差反馈(NLSEF)、扩张状态观测器(ESO)。 2、ESO的公式: 3、用simulink搭建eso,如图所示: 4、将上述eso封装为subsystem,输入输出如下所示: