2020-12-03 matlab 反馈函数 feedback

359 阅读1分钟

matlab 反馈函数

 

matlab中feedback(sys1,n)函数的作用将模型的反馈连接成n级负反馈循环。例如:

 

 

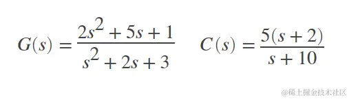
例如传递函数G和C

 

 

G = tf([2 5 1],[1 2 3],'inputname',"torque",'outputname',"velocity");
C = tf([5,10],[1,10]); 

sys = feedback(G,C,-1)
sys =
 
  From input "torque" to output "velocity":
  2 s^3 + 25 s^2 + 51 s + 10
  ---------------------------
  11 s^3 + 57 s^2 + 78 s + 40
 
Continuous-time transfer function.