力扣第十九题-删除链表的倒数第 N 个结点

547 阅读2分钟

这是我参与更文挑战的第16天,活动详情查看: 更文挑战

前言

力扣第十九题 删除链表的倒数第 N 个结点 如下所示:

给你一个链表,删除链表的倒数第 n 个结点,并且返回链表的头结点。

进阶:你能尝试使用一趟扫描实现吗?

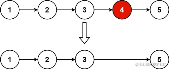
示例 1

image.png

输入:head = [1,2,3,4,5], n = 2
输出:[1,2,3,5]

示例 2

输入:head = [1], n = 1
输出:[]

示例 3

输入:head = [1,2], n = 1
输出:[1]

一、思路

这一题很直观的想法,先遍历一遍链表然后并记录下链表的总个数,然后再从头开始遍历,找到需要删除的节点删除即可。这个思路放在方案一中,复杂度为O(2N)

那怎么优化呢?

其实想要一遍遍历就找到倒数第N个元素,关键就需要记录倒数第N个元素的位置

那么怎么才能找到这个位置呢?其实可以使用快慢指针,先让快指针走N步,然后快慢指针一起走,等到快指针到底的时候慢指针指向的就是倒数第N个元素

图解快慢指针

黄色指针表示快指针
绿色指针表示慢指针

如下图红色方块表示倒数第N个元素(tips:此处以倒数第三个元素为例)

image.png

先让快指针先走N步,即先走3步的结果如下所示:

image.png

后面就是快慢指针一起向下走,最后的结果如下图所示:

image.png

不难发现当快指针走到底的时候,慢指针此时正好指向倒数第N个元素的前一个元素。此时就可以让慢指针指向下下个节点,即删除倒数第N个元素

伪代码如下:

ListNode slow;  // 慢指针
slow.next = slow.next.next;

二、实现

方案一(计数)

这里的实现代码拿的力扣官方的~(请见谅 tnt)

代码实现

    public ListNode removeNthFromEnd(ListNode head, int n) {
        ListNode dummy = new ListNode(0, head);
        int length = getLength(head);
        ListNode cur = dummy;
        for (int i = 1; i < length - n + 1; ++i) {
            cur = cur.next;
        }
        cur.next = cur.next.next;
        ListNode ans = dummy.next;
        return ans;
    }

    public int getLength(ListNode head) {
        int length = 0;
        while (head != null) {
            ++length;
            head = head.next;
        }
        return length;
    }

方案二(快慢指针)

代码实现

tips:初始化时快慢指针均指向链表头即可

   /**
     * 快慢指针
     */
    public ListNode removeNthFromEnd(ListNode head, int n) {
        ListNode first = head;  // 快指针
        ListNode second = head; // 慢指针
        while (first.next != null) {
            first = first.next;
            if (n <= 0)
                second = second.next;
            n --;
        }
        if (n == 1)
            return second.next;
        second.next = second.next.next;
        return head;
    }

测试代码

测试代码如下所示

    public static void main(String[] args) {
        ListNode listNode = new ListNode(1, new ListNode(2, new ListNode(3, new ListNode(4, new ListNode(5)))));
//        ListNode listNode = new ListNode(1, new ListNode(2));
        new Number19().removeNthFromEnd(listNode, 5);
    }

结果

image.png

三、总结

感谢看到最后,非常荣幸能够帮助到你~♥