LeetCode:203. 移除链表元素

163 阅读1分钟

这是我参与更文挑战的第5天,活动详情查看: 活动链接

2021-06-05 LeetCode每日一题

链接:leetcode-cn.com/problems/re…

标签:链表

题目

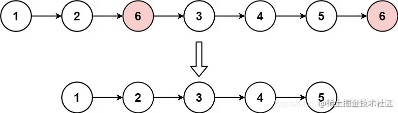
给你一个链表的头节点 head 和一个整数 val ,请你删除链表中所有满足 Node.val == val 的节点,并返回 新的头节点

在这里插入图片描述

输入:head = [1,2,6,3,4,5,6], val = 6
输出:[1,2,3,4,5]
    
输入:head = [], val = 1
输出:[]
    
输入:head = [7,7,7,7], val = 7
输出:[]
    
列表中的节点在范围 [0, 104] 内
1 <= Node.val <= 50
0 <= k <= 50

分析

这题难点在于怎么处理头结点,因为是单向链表,无法通过当前节点找到它的前一节点,所以每次循环都是判断下一节点是否和val相同,相同就移除,那头结点的判断移除就是本题的关键。

在这里,我们可以在头结点之前增加一个节点作为辅助,这样就很简单了。也可以不增加辅助节点。

编码

不增加辅助节点:

/**
 * Definition for singly-linked list.
 * public class ListNode {
 *     int val;
 *     ListNode next;
 *     ListNode() {}
 *     ListNode(int val) { this.val = val; }
 *     ListNode(int val, ListNode next) { this.val = val; this.next = next; }
 * }
 */
class Solution {
    public ListNode removeElements(ListNode head, int val) {
        if (head == null) {
            return null;
        }

        ListNode root = head;
        while (root != null && root.next != null) {
            if (root.next.val == val) {
                root.next = root.next.next;
            } else {
                root = root.next;
            }
        }

        // 处理头结点
        if (head.val == val) {
            head = head.next;
        }

        return head;
    }
}

在这里插入图片描述

增加辅助节点:

/**
 * Definition for singly-linked list.
 * public class ListNode {
 *     int val;
 *     ListNode next;
 *     ListNode() {}
 *     ListNode(int val) { this.val = val; }
 *     ListNode(int val, ListNode next) { this.val = val; this.next = next; }
 * }
 */
class Solution {
    public ListNode removeElements(ListNode head, int val) {
        ListNode node = new ListNode(-1);
        node.next = head;
        ListNode root = node;
        while (root != null && root.next != null) {
            if (root.next.val == val) {
                root.next = root.next.next;
            } else {
                root = root.next;
            }
        }

        return node.next;
    }
}

在这里插入图片描述