移除链表元素的几种方式

428 阅读2分钟

这是我参与更文挑战的第 5 天,活动详情查看:更文挑战

题目描述

这是 LeetCode 上的 203. 移除链表元素 ,难度为 简单

Tag : 「链表」

给你一个链表的头节点 head 和一个整数 val ,请你删除链表中所有满足 Node.val == val 的节点,并返回 新的头节点 。

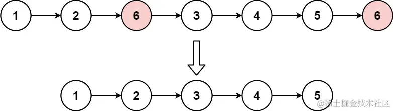
示例 1:

输入:head = [1,2,6,3,4,5,6], val = 6
输出:[1,2,3,4,5]

示例 2:

输入:head = [], val = 1
输出:[]

示例 3:

输入:head = [7,7,7,7], val = 7
输出:[]

提示:

  • 列表中的节点在范围 [0, 10410^4] 内
  • 1 <= Node.val <= 50
  • 0 <= k <= 50

递归

一个直观的做法是:写一个递归函数来将某个值为 val 的节点从链表中移除。

由于是单链表,无法通过某个节点直接找到「前一个节点」,因此为了方便,我们可以为递归函数多设置一个入参,代表「前一个节点」。

代码:

class Solution {
    public ListNode removeElements(ListNode head, int val) {
        ListNode dummy = new ListNode(-1);
        dummy.next = head;
        dfs(dummy, dummy.next, val);
        return dummy.next;
    }
    void dfs(ListNode prev, ListNode root, int val) {
        if (root == null) return ;
        if (root.val == val) {
            prev.next = root.next;
        } else {
            prev = root;
        }
        dfs(prev, prev.next, val);
    }
}
  • 时间复杂度:O(n)O(n)
  • 空间复杂度:忽略递归带来的额外空间开销。复杂度为 O(1)O(1)

迭代

同理,我们可以使用「迭代」方式来实现,而迭代有 whilefor 两种写法。

代码:

class Solution {
    public ListNode removeElements(ListNode head, int val) {
        ListNode dummy = new ListNode(-1);
        dummy.next = head;
        for (ListNode tmp = dummy.next, prev = dummy; tmp != null; tmp = tmp.next) {
            if (tmp.val == val) {
                prev.next = tmp.next;
            } else {
                prev = tmp;
            }
        }
        return dummy.next;
    }
}
class Solution {
    public ListNode removeElements(ListNode head, int val) {
        ListNode dummy = new ListNode(-1);
        dummy.next = head;
        ListNode tmp = dummy.next, prev = dummy;
        while (tmp != null) {
            if (tmp.val == val) {
                prev.next = tmp.next;
            } else {
                prev = tmp;
            }
            tmp = tmp.next;
        }
        return dummy.next;
    }
}
  • 时间复杂度:O(n)O(n)
  • 空间复杂度:O(1)O(1)

最后

这是我们「刷穿 LeetCode」系列文章的第 No.203 篇,系列开始于 2021/01/01,截止于起始日 LeetCode 上共有 1916 道题目,部分是有锁题,我们将先将所有不带锁的题目刷完。

在这个系列文章里面,除了讲解解题思路以外,还会尽可能给出最为简洁的代码。如果涉及通解还会相应的代码模板。

为了方便各位同学能够电脑上进行调试和提交代码,我建立了相关的仓库:github.com/SharingSour…

在仓库地址里,你可以看到系列文章的题解链接、系列文章的相应代码、LeetCode 原题链接和其他优选题解。