找两条链表「相交点」的几种方式

698 阅读3分钟

这是我参与更文挑战的第 4 天,活动详情查看:更文挑战

题目描述

这是 LeetCode 上的 160. 相交链表 ,难度为 简单

Tag : 「链表」、「栈」

给你两个单链表的头节点 headA 和 headB ,请你找出并返回两个单链表相交的起始节点。如果两个链表没有交点,返回 null 。

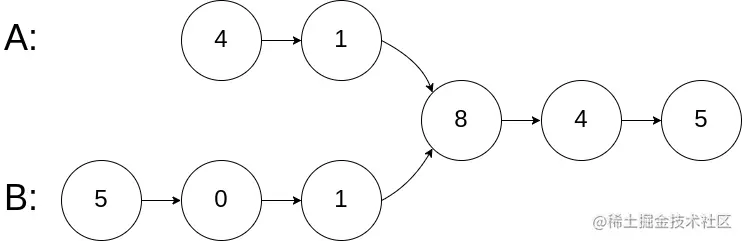
图示两个链表在节点 c1 开始相交:

题目数据 保证 整个链式结构中不存在环。

注意,函数返回结果后,链表必须 保持其原始结构 。

示例 1:

输入:intersectVal = 8, listA = [4,1,8,4,5], listB = [5,0,1,8,4,5], skipA = 2, skipB = 3
输出:Intersected at '8'
解释:相交节点的值为 8 (注意,如果两个链表相交则不能为 0)。
从各自的表头开始算起,链表 A[4,1,8,4,5],链表 B[5,0,1,8,4,5]。
在 A 中,相交节点前有 2 个节点;在 B 中,相交节点前有 3 个节点。

示例 2:

输入:intersectVal = 2, listA = [0,9,1,2,4], listB = [3,2,4], skipA = 3, skipB = 1
输出:Intersected at '2'
解释:相交节点的值为 2 (注意,如果两个链表相交则不能为 0)。
从各自的表头开始算起,链表 A[0,9,1,2,4],链表 B[3,2,4]。
在 A 中,相交节点前有 3 个节点;在 B 中,相交节点前有 1 个节点。

示例 3:

输入:intersectVal = 0, listA = [2,6,4], listB = [1,5], skipA = 3, skipB = 2
输出:null
解释:从各自的表头开始算起,链表 A[2,6,4],链表 B[1,5]。
由于这两个链表不相交,所以 intersectVal 必须为 0,而 skipA 和 skipB 可以是任意值。
这两个链表不相交,因此返回 null 。

提示:

  • listA 中节点数目为 m
  • listB 中节点数目为 n
  • 0 <= m, n <= 3 * 10410^4
  • 1 <= Node.val <= 10510^5
  • 0 <= skipA <= m
  • 0 <= skipB <= n
  • 如果 listA 和 listB 没有交点,intersectVal 为 0
  • 如果 listA 和 listB 有交点,intersectVal == listA[skipA + 1] == listB[skipB + 1]

进阶:你能否设计一个时间复杂度 O(n)O(n) 、仅用 O(1)O(1) 内存的解决方案?


朴素解法

一个朴素的做法是两层循环:当遇到第一个相同的节点时说明找到了;全都走完了还没遇到相同,说明不存在交点。

image.png

代码:

public class Solution {
    public ListNode getIntersectionNode(ListNode a, ListNode b) {
        for (ListNode h1 = a; h1 != null ; h1 = h1.next) {
            for (ListNode h2 = b; h2 != null ; h2 = h2.next) {
                if (h1.equals(h2)) return h1;
            }
        }
        return null;
    }
}
  • 时间复杂度:O(nm)O(n * m)
  • 空间复杂度:O(1)O(1)

栈解法

将两条链表分别压入两个栈中,然后循环比较两个栈的栈顶元素,同时记录上一位栈顶元素。

当遇到第一个不同的节点时,结束循环,上一位栈顶元素即是答案。

image.png

代码:

public class Solution {
    public ListNode getIntersectionNode(ListNode a, ListNode b) {
        Deque<ListNode> d1 = new ArrayDeque(), d2 = new ArrayDeque();
        while (a != null) {
            d1.addLast(a);
            a = a.next;
        } 
        while (b != null) {
            d2.addLast(b);
            b = b.next;
        }
        ListNode ans = null;
        while (!d1.isEmpty() && !d2.isEmpty() && d1.peekLast().equals(d2.peekLast())) {
            ListNode c1 = d1.pollLast(), c2 = d2.pollLast();
            ans = c1;
        }
        return ans;
    }
}
  • 时间复杂度:O(n+m)O(n + m)
  • 空间复杂度:O(n+m)O(n + m)

差值解法

先对两条链表扫描一遍,取得两者长度,然后让长的链表先走「两者的长度差值」,然后再同时走,遇到第一个节点即是答案。

image.png

代码:

public class Solution {
    public ListNode getIntersectionNode(ListNode a, ListNode b) {
        int c1 = 0, c2 = 0;
        ListNode t1 = a, t2 = b;
        while (t1 != null && ++c1 > 0) t1 = t1.next;
        while (t2 != null && ++c2 > 0) t2 = t2.next;
        int t = Math.abs(c1 - c2);
        while (t-- > 0) {
            if (c1 > c2) a = a.next;
            else b = b.next;
        }
        while (a != null && b != null) {
            if (a.equals(b)) {
                return a;
            } else {
                a = a.next;
                b = b.next;
            }
        }
        return null;
    }
}
  • 时间复杂度:O(n+m)O(n + m)
  • 空间复杂度:O(1)O(1)

最后

这是我们「刷穿 LeetCode」系列文章的第 No.160 篇,系列开始于 2021/01/01,截止于起始日 LeetCode 上共有 1916 道题目,部分是有锁题,我们将先将所有不带锁的题目刷完。

在这个系列文章里面,除了讲解解题思路以外,还会尽可能给出最为简洁的代码。如果涉及通解还会相应的代码模板。

为了方便各位同学能够电脑上进行调试和提交代码,我建立了相关的仓库:github.com/SharingSour…

在仓库地址里,你可以看到系列文章的题解链接、系列文章的相应代码、LeetCode 原题链接和其他优选题解。