强化学习 - 详细解读DQN

1,466 阅读15分钟

一. 强化学习

1. 什么是强化学习问题?

机器学习分支 强化学习是机器学习领域的三大分支之一,深度学习+强化学习也被认为是通往通用AI的道路。 在这里插入图片描述 强化学习问题可以描述为agent从environment中获取观察的state和获取reward,并产生action作用于environment。如上图描述所示。用数学语言描述就是Markov Decision Process(MDP)。

2. 强化学习的理论体系

(1) MDP

强化学习问题可以用MDP来描述。在说MDP之前,需要先了解Markov Property和Markov Process。

i) Markov Property

在这里插入图片描述 简言之,当前状态包含了过去所有状态的信息,一旦当前状态信息已知,过去状态信息就可以抛弃。 Markov Property除了包含有这一信息,还有就是状态转移概率P\Rho在这里插入图片描述

ii) Markov Process

在说MDP之前要说的就是Markov Process了。 在这里插入图片描述 下面是Markov Process的例子。 在这里插入图片描述 左面的图是Markov Process的实际体现。圆圈中代表不同的state,以及曲线上的状态转移概率(state transition probability)。

我们可以从这个描述中随机的取样,以Class1Class 1为初始状态,上图右侧是部分sample的episodes(即从初始状态到终止状态的路径,包含所有走过的中间状态)。

描述了从Markov Process中sample episodes后,对应的就是在sample时各个state之间的转移概率。下图描述的便是状态转移概率。 在这里插入图片描述

iii) Markov Decision Process

说完了Markov PropertyMarkov Process,现在应该说一下Markov Decision Process了。 在这里插入图片描述 MDP中除了之前说的S,PS,P之外,还有A(action),R(reward),γA(action),R(reward),\gamma等信息,所有的这些才构成了MDP的要素。

强化学习问题是通过找到最优的策略(对应MDP的元素,也就是选择最优的statestate,在不同的statestate上选择最优的actionaction)来使获得的rewardreward最大。

我们将会逐渐的说明所有要素后再回顾MDP的完整架构。

(2) R(reward)R(reward)

rewardreward的定义如下: 在这里插入图片描述 为什么是从Rt+1R_{t+1}开始呢,是因为回报函数的意义是在tt时刻,执行一步actionaction后到下一状态的回报值. 我们可以通过上面提到的那个例子, 把rewardreward的部分添加上, 来理解GtG_{t}式子的意义. 从图中可以看到, 只有从一个状态转移到另一个状态的时候, 才会有奖励值, 这个设置方式正是MDP的设置方式. 在这里插入图片描述 为什么需要有γ\gamma ? 在这里插入图片描述 γ\gamma越接近0,表示越注重当前回报,当γ=0\gamma=0时,Gt=Rt+1G_{t}=R_{t+1}, 表示只以执行一次actionaction后的rewardreward作为最终的rewardreward, 此时系统只关注眼前的利益. γ\gamma越接近1, 表示系统的眼光更长远, 当γ=1\gamma=1时, GtG_{t}代表从当前步一直到目标所有的奖励值之和, 考虑到所有的奖励情况.

现在, 我们已经有个rewardreward的计算公式, 只要遍历MDP结构的所有结点, 就可以得到GtG_t的最大值, 也就可以得到相应的最优的策略. 但问题是, 对于小规模的问题, 这样计算没有问题, 但是大规模的问题, 只有当某个statestate开始, 已知到目标全部遍历完成, 才可以得到这个statestate能获得的最终的rewardreward, 计算效率很低.

因此, 再引入一个概念, valuefunctionvalue function.

(3) Value FunctionValue\ Function

在这里插入图片描述 从定义来看, value functionvalue \ function就是在StS_t状态下回报的期望值. 从实际意义来理解,就是从StS_t状态开始,能获得总rewardreward的估计,体验出了这个状态的价值. 还是以上面提到的例子来解释. 在这里插入图片描述 在这里插入图片描述 对于C1C1状态的value functionvalue\ function,就是以C1C1为初始状态一直到终止状态每个episode回报值的平均值.

value functionvalue\ function代替GtG_t作为评价标准,来寻找最优的策略,那么下面的问题就是求解value functionvalue\ function,只要能解出value functionvalue\ function的最大值,对应的episode就是最优的策略.

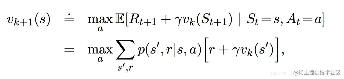
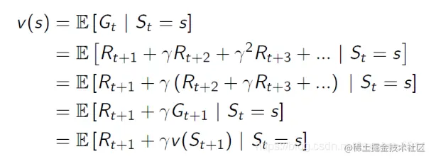
(4) BellmanEquationBellman Equation

为了求解value functionvalue\ function,我们将value functionvalue\ function展开. 在这里插入图片描述 最后的一个等式是因为期望体现在实际的MDP结构中,就是StS_tSt+1S_{t+1}不同的概率乘以v(St+1)v(S_{t+1}). 在这里插入图片描述 BellmanEquationBellman Equation表示的是以迭代的方式求解value functionvalue\ function. 为了求解BellmanEquationBellman Equation,我们将其表示为矩阵的形式. 通过此段文字上面的图片的说明,就可以推出下面矩阵的表示形式. 在这里插入图片描述 因为BellmanEquationBellman Equation是线性方程,所以对于简单的MDP问题,可以直接求解.对于复杂的MDP问题,可以通过迭代的方式求解. 在这里插入图片描述

自此,已经说了MDP中的S,R,P,γS,R,P,\gamma,还有一个重要的元素没有说:A(action)A(action).

(5) ActionAction

statestateactionaction之间是输入输出的关系,给一个statestate,通过一个函数,输出一个动作或者动作的概率,这个函数就是要说的PolicyPolicy. 一个环境中所有可行的actionaction一般称为action spacesaction\ spaces,分为discrete action spacesdiscrete\ action\ spaces(例如Atari游戏的action)和continuous action spacecontinuous\ action\ space(例如在真实的世界里控制机器人的动作).

(6) PolicyPolicy

PolicyPolicy的定义如下: 在这里插入图片描述 一个policypolicyagentagent用来决定采取什么样的actionaction的规则,可以是确定性的策略(deterministicpolicy)(deterministic policy),用at=μ(st)a_t=\mu(s_t)来表示. 对于随机策略(stochastic policy)(stochastic\ policy),用atπ(st)a_t\backsim\pi(\cdot|s_t)来表示. 在深度强化学习中,我们会使用带参数的policypolicy,因为在Deep RL中,policypolicy的输出是根据一系列参数来的(比如神经网络的weights和bias),神经网络通过优化参数,来调整policypolicy朝着更优的动作优化. 在Deep RL中,我们用at=μθ(st),atπθ(st)a_t=\mu_\theta(s_t),\quad a_t\backsim\pi_\theta(\cdot|s_t)分别来表示确定性策略和随机策略.

有了policypolicy以后,就有对应的actionaction输出,前面介绍了value functionvalue\ function,用来表示某个状态的价值.有了policypolicy以后,可以根据规则得到相应的动作输出,我们可以直接评定在某个状态下某个动作的价值,这就是ActionValue FunctionAction-Value\ Function.

(7) ActionValue FunctionAction-Value\ Function

在这里插入图片描述 通过Bellman EquationBellman\ Equation, qπ(s,a)q_\pi(s,a)同样可以使用迭代的式子来表示. 在这里插入图片描述 我们再来回顾下value functionvalue\ function的原始表达式和迭代表达式. 在这里插入图片描述 在这里插入图片描述 现在有了value functionvalue\ functionactionvalue functionaction-value\ function,还不足以得出最优的策略,所以需要找到最优的policypolicy的算法.

(8) Optimal Value FunctionOptimal\ Value\ Function

在这里插入图片描述 怎样通过最优的value functionvalue\ functionactionvalue functionaction-value\ function找到最优的policypolicy呢? 在这里插入图片描述 在某个策略下的value function和action-value function的值是最大的,那么这个策略就是最优的策略. 在这里插入图片描述 所以只要求解出最优的value function或者action-value function,就可以得到最优的policy. 为了求解optimal value function and optimal action-value function,我们需要先表示出这两者的数学表达式,通常有下面几种表示方式: 在这里插入图片描述 在这里插入图片描述 在这里插入图片描述 在这里插入图片描述 有了optimal value function的表达式,我们就可以应用optimal value function and optimal action-value function 来求解出optimal policy.

(9) Optimal PolicyOptimal\ Policy

在这里插入图片描述 有很多种迭代的算法来求解optimal value function.我们说一下Value Iteration和Policy Iteration,这是两个主要的思想,Q-learning也是基于Value Iteration来做的.

i) Dynamic Programming

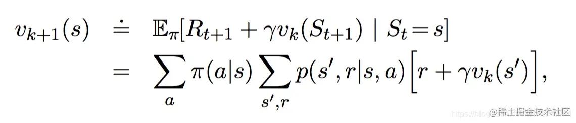
说到迭代求解,会应用到动态规划(Dynamic Programming),什么是Dynamic Programming? 在这里插入图片描述 简言之,动态规划就是问题可以描述为动态的序列或以时间顺序组织起来的,就可以把复杂的问题分解为一个个小问题来解决. 前面所说的Bellman Equation的形式,把原来需要求解全部的Reward的步骤,转换为求下一步的Reward和下一状态的价值,即下面的式子化简的形式,最后每次迭代,就可以求出每个状态的Value.这是Dynamic Programming用在MDP的规划中的prediction(预测)作用.下面求解最优Policy的时候还会看到Dynamic Programming在control方面的作用. 在这里插入图片描述 在这里插入图片描述 在这里插入图片描述 上图总结了DP(Dynamic Programming,下文以DP代替)在规划方面的两个作用:prediction & control.上面求value function使用的DP的prediction,下面求optimal policy,就会用到DP的control作用.

ii) Policy Iteration

在这里插入图片描述 Policy Iteration的目的是迭代计算value function,找到最优的value function,从而得到optimal policy. 我们用另一种形式来表示value function. 在这里插入图片描述 value function的表示都是根据Bellman Equation变化得来的. Policy Iteration一般分为两步:Policy evaluation & Policy improvement. Policy evaluation的目的是更新value function,在当前的策略下不断优化value function. Policy improvement的目的是更新优化策略,使用greedy算法在当前的value function中找到最大的value. 在这里插入图片描述 具体的算法流程如下: 在这里插入图片描述

iii) Value Iteration

在这里插入图片描述 value iteration是使用最优Bellman Equation得到的 在这里插入图片描述 然后将其转化为迭代形式 在这里插入图片描述 具体算法如下: 在这里插入图片描述 value iteration和policy iteration有什么区别呢? 从算法中可以看到,policy iteration的迭代规则是在这里插入图片描述 在Policy Evaluation阶段,V(s)的更新结果是在当前π(s)\pi(s)下的计算值,在Policy Improvement阶段,使用计算的V(s)在当前状态的action space中更新优化π(s)\pi(s),然后优化的π(s)\pi(s)再在Evaluation阶段更新V(s),所以其实是对π(s)\pi(s)进行优化,所以是Policy Iteration.

Value Iteration的迭代规则是一直对V(s)进行更新,最后选择出最优的π(s)\pi(s),所以value iteration相比policy iteration更加直接.

3 强化学习的算法体系

在这里插入图片描述

到此,强化学习的基本架构已经介绍完成,下面介绍Q-learning和DQN.

二. Q-Learning

1 什么是Q-Leaning

Q-Learning是采用value iteration的思想来做的,但是value iteration每次都会对Q值更新一遍,实际情况我们没法遍历所有的状态和动作,所以Q-Learning提出了一种新的更新Q值的方法: Q(St,At)Q(St,At)+α(Rt+1+λmaxaQ(St+1,a)Q(St,At))Q(S_t,A_t)\gets Q(S_t,A_t)+\alpha(R_{t+1}+\lambda\max\limits_aQ(S_{t+1},a)-Q(S_t,A_t))Rt+1+λmaxaQ(St+1,a)R_{t+1}+\lambda\max\limits_aQ(S_{t+1},a)定义为target Q value,Q-Learning并没有将target q value直接赋给当前q值,而是采用渐进的方式靠近target q value,类似梯度下降的思想. 整个算法流程如下: 在这里插入图片描述 算法中需要一个policy来生成动作,这个policy并不是由Q值的迭代来更新的policy,所以q-learning算法也是off-policy的.那么这个policy选取的规则是怎样的?

  1. 随机选取(exploration).随机选取有利于扩大搜索的空间,可能会探索到更多的状态和动作,有利于更加全局的更新q值.比如在一个区域内有很多餐馆,为了找到最好吃的那家,随机选取的结果就是当你第一天觉着一家特别好吃的时候,但是以后你每天都去不同的一家,这样就会更加全面的了解所有餐馆的情况,也就是可以拿到相对全局最优的Q值.
  2. 贪婪选取(exploitation).根据当前的Q值选择最优的动作,这个policy π\pi称为greedy policy,即π(St+1)=argmaxaQ(St+1,a)\pi(S_{t+1})=arg\max\limits_aQ(S_{t+1},a). exploration有利于扩大搜索空间,找到更好的Q值,但是难收敛;exploitation可以快速收敛,但有可能不是最优的Q值,所以两者折中,使用ϵgreedy policy\epsilon-greedy\ policy,通过调整ϵ\epsilon的值来调整exploration和exploitation的比例.

2 分解Q-Learning的计算过程

假设agent在这样的一个房子里,注意房间4和房间5是相通的.房间5是agent的目标房间. 在这里插入图片描述 我们可以用下图来表示这个房间的连通关系,注意现在的图还不能叫markov process,因为没有状态转移概率. 然后我们给每一个动作赋予奖励值Reward.因为房间5是目标房间,所以到达房间5的动作的reward为100,其他的reward都是0. 在这里插入图片描述 在学习的过程中,agent随机选取一个位置,然后不断学习,达到房间5. 我们假设agent从房间2开始,到达房间5. 从房间2,agent可以到房间3,获得奖励0,,然后到房间4,获得奖励0,到房间5,获得奖励100.但是从房间2不能直接到房间1.所以下面这个表总结了上图的可达房间和对应的奖励.State表示所处的房间,Action表示到某个房间的动作,比如矩阵的第一行第五列表示在房间0,到达房间4,获得奖励0. -1代表不能直接到达这个房间. 在这里插入图片描述 上节我们说到Q-Learning的公式为: Q(S_t,A_t)\gets Q(S_t,A_t)+\alpha (R_{s+1}+\lambda \max \limits_a Q(S_{t+1},a)-Q(S_t,A_t))$$$\alpha$决定了当前Q值向target q值的渐进速度,如果让$\alpha=1$,target q值将会全部赋给当前q值,这也是q-learning算法的简化版本.我们将使用这个简化公式来表示下面的计算过程. Q(S_t,A_t) \gets R_{t+1}+\lambda \max \limits_a Q(S_{t+1},a)$$ 对于当前走房间的问题,整个Q-Learning的算法流程如下:

1.设置lambda参数,reward矩阵R
2.初始化Q矩阵为0
3.对于每一个episode(从开始到目标成为一个episode):
● 随机选择一个初始房间
● 从当前状态的所有可能的action中选择一个
● 计算简化公式
● 直到到达goal,结束

1.我们设置λ=0.8\lambda=0.8,然后手动计算Q-Learning的每个过程.设置初始房间为房间1. 2.将Q矩阵全部初始化为0

在这里插入图片描述 在这里插入图片描述 观察R矩阵,我们可以看到从房间1可以通往房间3(reward=0)和房间5(reward=100),我们选择去往房间5. 到达房间5后,可以看到有3个action可以选择:去往房间1,房间4和房间5. 现在来计算Q值. Q(St,At)Rt+1+λmaxaQ(St+1,a)Q(S_t,A_t) \gets R_{t+1}+\lambda \max \limits_a Q(S_{t+1},a) Q(1,5)=R(1,5)+0.8 * max[Q(5,1),Q(5,4),Q(5,5)]=100+0.8 * 0=100

现在房间5成为当前状态,因为已经到达目标,所以一个episode完成,更新Q矩阵: 在这里插入图片描述 下一个episode,我们随机选择房间3为我们的初始状态,在房间3状态下,我们有去往房间1,2,4三种选择,我们随机选择去往房间1.(在这里,我们采用的是policy中的随机策略exploration,还有exploitation和ϵgreedy policy\epsilon -greedy\ policy可以选择). 到达房间1后,我们有去往3,5两种选择,现在计算Q值:Q(St,At)Rt+1+λmaxaQ(St+1,a)Q(S_t,A_t) \gets R_{t+1}+\lambda \max \limits_a Q(S_{t+1},a) Q(3,1)=R(3,1)+0.8 * max[Q(1,3),Q(1,5)] = 0 + 0.8 * 100 = 80 更新Q矩阵 在这里插入图片描述 一直持续这个过程,经过很多episode后,Q矩阵会到达一个收敛值 在这里插入图片描述 我们对Q矩阵的数据都除以里面的最大值500进行归一化操作 在这里插入图片描述 现在我们就可以把Q矩阵的数据体现在下图中 在这里插入图片描述 不管在哪个状态,选择最大的Q值就会以最优的方式到达房间5.

三. DQN

直接从高维的数据输入例如视觉和语音来控制agents一直是强化学习领域的具有挑战性的工作。在DQN出现以前,大多数成功的RL应用案例是结合线性value function或者policy representation通过手动设计特征来做到的,算法的性能很大程度上依赖于设计的特征的质量。

深度学习的成功让直接从原始数据中提取特征成为可能,所以DQN尝试进行DL+RL。

强化学习中应用深度学习有以下一些挑战: ① 深度学习(监督学习)需要大量的有标签的训练数据,应用到强化学习中去时,只能使用Reward来作为标签,但是reward通常来说是稀疏的、带有噪音并且是延时性的信号(通常是进行很多episode之后才给出reward)。 ② 深度学习中标签数据和训练数据的联系是实时的,但是强化学习的reward是延时性的。 ③ 大多数强化学习的问题都假设使用的数据是独立同分布(i.i.d)的,但是强化学习会遇到序列间高度相关的情况,同时强化学习会学习到新的动作,这对于深度学习是基于同样的动作分布来说是个挑战。

DQN使用以下操作来克服以上的困难: ① DQN使用的神经网络(监督学习)是用变种Q-Learning算法来训练,使用随机梯度下降(SGD)来更新权重。 ② 使用replay机制来消除数据间的关联性,随机的在过去的transitions中取样。 ③ 在Arcade Learning Environment中测试算法。

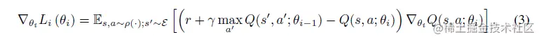
DQN的算法流程如下: 在这里插入图片描述 公式3如下: 在这里插入图片描述 为什么要用Q(s,a,θ)Q(s,a,\theta)而不用Q(s,a)Q(s,a)呢?

在Q-Learning中,我们使用表格来表示Q(s,a),但是这个在现实的很多问题上是几乎不可行的,因为状态实在是太多。使用表格的方式根本存不下。

举Atari为例子。 在这里插入图片描述

计算机玩Atari游戏的要求是输入原始图像数据,也就是210x160像素的图片,然后输出几个按键动作。总之就是和人类的要求一样,纯视觉输入,然后让计算机自己玩游戏。那么这种情况下,到底有多少种状态呢?有可能每一秒钟的状态都不一样。因为,从理论上看,如果每一个像素都有256种选择,那么就有: 256^210x160^ 这简直是天文数字。所以,我们是不可能通过表格来存储状态的。我们有必要对状态的维度进行压缩,解决办法就是 价值函数近似Value Function Approximation。1

价值函数近似Value Function Approximation 1 什么是价值函数近似呢?说起来很简单,就是用一个函数来表示Q(s,a)。即 Q(s,a)=f(s,a)Q(s,a)=f(s,a) f可以是任意类型的函数,比如线性函数: Q(s,a)=ω1s+ω2a+bQ(s,a)=\omega_1 s + \omega_2 a + b 其中ω1,ω2,b\omega_1,\omega_2,b是函数f的参数。

大家看到了没有,通过函数表示,我们就可以无所谓s到底是多大的维度,反正最后都通过矩阵运算降维输出为单值的Q。

这就是价值函数近似的基本思路。

如果我们就用ω\omega来统一表示函数f的参数,那么就有 Q(s,a)=f(s,a,w)Q(s,a) = f(s,a,w) 为什么叫近似,因为我们并不知道Q值的实际分布情况,本质上就是用一个函数来近似Q值的分布,所以,也可以说是 Q(s,a)f(s,a,w)Q(s,a)\approx f(s,a,w)

DQN中,作者使用Q(s,a,;θ)Q(s,a)Q(s,a,;\theta) \approx Q^*(s,a)来预估action-value function。

DQN更加具体的介绍请参见原文paper: Playing Atari with Deep Reinforcement Learning

Footnotes

  1. zhuanlan.zhihu.com/p/21421729 2