【视频编解码-07】变换,量化与熵编码

470 阅读6分钟

第6章 变换编码

1. 变换编码

变换编码的目的

  • 去除空间信号的相关性
  • 将空间信号的能力集中到频域的一小部分低频系数上
  • 能量小的系数可通过量化去除,而不会严重影响重构图像的质量

块变换和全局变换

  • 块变换:离散余弦变换(Discrete Cosine Transform,DCT),4x4,8x8,16x16
  • 全局变换:小波变换(Wavelet)

变换的能量集中特性
DCT编码
在这里插入图片描述

2. 变换类型

  • K-L变换
  • 傅里叶变换
  • 余弦变换
  • 小波变换

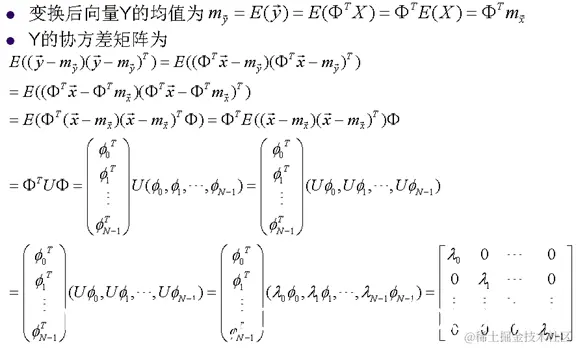
3. KL变换

  • 最优变换
  • 基函数根据具体图像而确定
  • 没有快速算法
  • 实际中很少使用,复杂度极高
    在这里插入图片描述
    在这里插入图片描述
    在这里插入图片描述
    在这里插入图片描述
  • K-L变换非常复杂度很高,不实用
    需要计算协方差矩阵U
    需要计算特征向量
    需要发送 到解码器

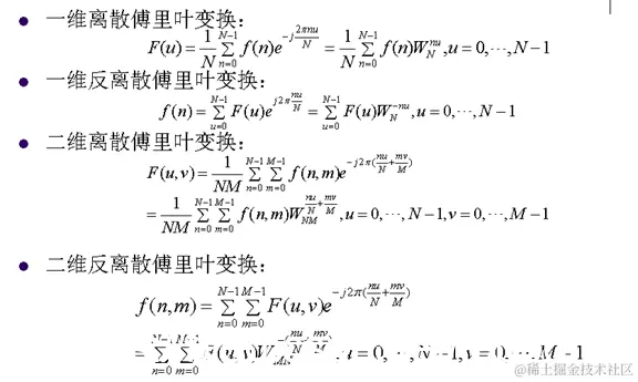
4. 离散傅立叶变换

在这里插入图片描述

5. 离散傅立叶变换性质

在这里插入图片描述
在这里插入图片描述

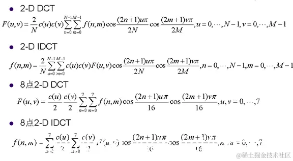
6. 离散余弦变换

  • 比K-L变换,傅里叶变换的复杂度更低
  • 变换性能仅次于K-L变换
  • 有快速算法可以加快变换速度
  • 可以用整数变换进一步降低复杂度

在这里插入图片描述
在这里插入图片描述
在这里插入图片描述
在这里插入图片描述

7. DCT与DFT的关系

在这里插入图片描述

8. 离散余弦变换的重要性质

在这里插入图片描述
在这里插入图片描述

在这里插入图片描述
在这里插入图片描述

在这里插入图片描述

9. 快速DCT变换

在这里插入图片描述
在这里插入图片描述

下图是一个动态展示:

在这里插入图片描述
在这里插入图片描述
在这里插入图片描述

10. 整数离散余弦变换

离散余弦变换为浮点操作

  • 需要64位精度
  • 浮点计算复杂度高
  • 变换精度高

整数变换:离散余弦变换的整数近似

  • 需要更少的位宽
  • 整数计算复杂度低
  • 好的整数变换的变换精度接近浮点变换
  • 浮点近似方法
    在这里插入图片描述
    在这里插入图片描述
    在这里插入图片描述

11. H.264的4x4整数变换

在这里插入图片描述

在这里插入图片描述
在这里插入图片描述
在这里插入图片描述
在这里插入图片描述
在这里插入图片描述
在这里插入图片描述
在这里插入图片描述

12. 小波变换

  • 新的变换方法
  • 避免由于块编码带来的块效应
  • 更适合视频空间可分级编码

第7章 量化

1. 量化Quantization

用更小的集合表示更大的集合的过程

  • 对信号源的有限近似
  • 有损过程
  • 应用
    A/D转换
    压缩
  • 量化方法
    标量(Scalar)量化
    矢量(Vector)量化

2. 量化的基本思想

  • 映射一个输入间隔到一个整数
  • 减少信源编码的bit
  • 一般情况重构值与输入值不同
    在这里插入图片描述

3. 量化模型

在这里插入图片描述

4. 量化的率失真优化

量化器设计问题

  • 量化水平的个数,即Bin的个数
  • 决策边界:Bin的边界
  • 重构水平

量化器设计是对率失真的优化

  • 为了减少码率的大小,需要减少Bin的个数
  • Bin的个数减少导致重构的误差增大,失真也就随着增大
    在这里插入图片描述

5. 失真测量

在这里插入图片描述

6. 量化器设计

量化器设计的两个方面
给定量化水平数目M,找到决策边界xi和重构水平 使MSE最小
给定失真限制D,找到量化水平数目M,决策边界xi和重构水平yi使MSE<=D

在这里插入图片描述

7. 均匀量化(Uniform Quantization)

在这里插入图片描述
在这里插入图片描述

8. 量化与峰值信噪比

在这里插入图片描述
在这里插入图片描述

9. 中升量化器(Midrise Quantizer)

在这里插入图片描述

10. 中平量化器(Midtread Quantizer)

在这里插入图片描述

11. 死区量化器(Deadzone Quantizer)

在这里插入图片描述

12.非均匀量化(Non-uniform Quantization)

  • 如果信源不是均匀分布的,采用均匀量化不是最优的
  • 对于非均匀量化,为了减少MSE,当概率密度函数fX(x)高时,使Bin的量化步长减小,当概率密度函数fX(x)低时, 使Bin的量化步长增加。
    在这里插入图片描述

13. 最优的标量量化

在这里插入图片描述
在这里插入图片描述
在这里插入图片描述

14. 量化编码

定长编码量化水平

  • 使用等长的码字编码每个量化水平,码字长为:[log2M]

熵编码量化水平

  • 根据量化水平的概率分布情况,用变长的码字编码每个量化水平
  • 平均码字长 <= [log2M]
  • 比定长编码量化水平效率高
  • 广泛应用在图像和视频编码中

15. 矢量量化

  • 标量量化:对数据一个一个的进行量化,称为标量量化。
  • 矢量量化:将数据分组,每组K个数据构成K维矢量,再以矢量为处理单元进行量化。
    矢量量化是标量量化的多维扩展
    标量量化是矢量量化的特殊情况
  • 矢量量化工作过程
    在这里插入图片描述
    在这里插入图片描述
    在这里插入图片描述

二维矢量量化

  • 矢量量化优点
  • 只传码字的下标,编码效率高
  • 在相同码率下,比标量量化失真小
  • 在相同失真下,比标量量化码率低

矢量量化缺点

  • 复杂度随着维数的增加呈指数增加

第8章 熵编码

1. 熵编码

  • 熵(Entropy):信源的平均信息量,更精确的描述为表示信源所有符号包含信息的平均比特数
    信源编码要尽可能的减少信源的冗余,使之接近熵
    用更少的比特传递更多的信源信息
  • 熵编码:数据压缩中根据信源消息的概率模型使消息的熵最小化
    无损压缩
    变长编码

2. 熵

信息量公式:
在这里插入图片描述
单位:bit

熵公式:
在这里插入图片描述
单位:比特/符号
在这里插入图片描述
在这里插入图片描述

3. 定长编码

在这里插入图片描述

4. 变长编码

  • 变长编码:用不同的比特数表示每一个符号
    为频繁发生的符号分配短码字
    为很少发生的符号分配长码字
    比定长编码有更高的效率
  • 常用的变长编码
    Huffman编码
    算术编码

5. Huffman编码

  • 前缀码:任何码字不是其它码字的前缀
    如果011为一个有效码字,则0,1,01,11必不是有效码字
    不会引起解码歧义
  • Huffman:
    二叉树
    树节点:表示符号或符号组合
    分支:两个分支一个表示"0",另一个表示"1"

在这里插入图片描述
在这里插入图片描述

  • Huffman的不唯一性
    每次分支有两种选择:0,1
    在这里插入图片描述

相同的概率产生不同的组合
在这里插入图片描述

缺点:

  • 数据的概率变化难于实时统计
  • Huffman树需要编码传输给解码器
  • 只有在p(xi)=1/2ki 时是最优编码
  • 最小码字长度为1比特/符号

如果有二值信源,其两个符号的概率相差很大

  • 例如:p(1)=0.0625,p(0)=0.9375则H=0.3373比特/符号,Huffman编码平均码长=1比特/符号
  • 两个符号联合编码有更高效率

6. 扩展Huffman编码

在这里插入图片描述

7. 范式Huffman编码

  • 范式Huffman树的建立规则
    节点左支设为0,右支设为1
    树的深度从左至右增加
    每个符号被放在最先满足的叶子节点
    在这里插入图片描述

特性

  • 第一个码字是一串0
  • 相同长度的码字的值是连续的
  • 如果所有的码字通过在低位补0的方式,使所有码字的长度相同则有 0000<0100<1000<1010<1100<1110<1111
  • 从码字长度n到n+1有如下关系
    C(n+1,1)=(C(n,last)+1)<<1
  • 从码字长度n到n+2有如下关系
    C(n+2,1)=(C(n,last)+1)<<2

在这里插入图片描述
在这里插入图片描述

8. 一元码

编码一个非负整数n为n个1和一个0
不需要存储码表
可以用Huffman树表示
在这里插入图片描述

码长增长太快:n=100,码长101
在这里插入图片描述

9. 哥伦布编码

将信源符号等分成几组,每组有相应的编号
编号小的分配码字短,编号大分配码字长
同组的符号有等长的码字,比一元码的码字长度增长慢
在这里插入图片描述

码字分配

在这里插入图片描述
在这里插入图片描述

在这里插入图片描述

10. 指数哥伦布编码

哥伦布码对信源符号的分组大小相同
指数哥伦布码对信源符号的分组大小按照指数增长
指数哥伦布码依然是一元码加定长码的形式
指数哥伦布码的指数k=0,1,2,…

在这里插入图片描述
在这里插入图片描述
在这里插入图片描述

11. CAVLC( Context-Based Adaptive Variable Length Code)

当前块的系数分布和其邻块的系数分布情况相关
NX为块X的非零系数个数,当前块C的第一个系数的编码码表由NC决定,
NC=( NA+ NB )/2
在这里插入图片描述

当前待编码系数和前面编码系数有相关性
当前块C的其它系数的编码码表由前一个系数的幅值决定cofN-1=>GolombTab_x,用GolombTab_x编码cofN
在这里插入图片描述

12. 算术编码

  • 信息量>=符号编码比特数
    在这里插入图片描述
  • Huffman编码为每个符号分配一个码字,这说明Huffman编码的压缩上限是1比特/符号
  • 算术编码若干个符号可编码成1bit
  • 算术编码是把信源表示为实数轴上[0,1]区间,信源中每个符号都用来缩短这个区间
    输出[0,1]区间的一个实数表示一串编码符号
    比Huffman编码更有效
  • 编码思想
    编码器用熵编码算法编码一串符号产生一个[0,1]区间的实数,将实数的一个二进制表示传给解码器;
    解码器用熵解码算法解码得到一串符号
  • 小数的二进制表示;
    在这里插入图片描述
  • 信源符号概率分布
    在这里插入图片描述
  • 字符串:X2 X2 X3 X3 X6 X5 X7
  • Huffman编码,01 01 100 100 00 11 1011,18bit

在这里插入图片描述
在这里插入图片描述

在这里插入图片描述

  • 算术编码更接近熵
  • 有限精度算术编码是次优(Near-optimal)编码,发送整数比特给解码端
  • 算术编码到最后一个字符编码结束才输出码字
  • 编码复杂度也比较高

13. 二值算术编码

在这里插入图片描述
在这里插入图片描述
在这里插入图片描述

  1. 自适应二值算术编码

由于信源0和1出现的概率是在不断变化的,因此0和1的概率区间也应该不断改变
自适应二值算术编码每编码一个0或1都重新统计0和1的概率并重新划分[0,1)区间
编解码端的概率统计模型一致,能够得到同样的[0,1)区间划分

在这里插入图片描述
在这里插入图片描述

14. CABAC(Context-Based Adaptive Binary Arithmetic Coding)

在这里插入图片描述

  • 当前块的语法元素概率分布和其邻块的语法元素概率分布情况相关
    当前块C的邻块A和B的语法元素SA与SB可以为编码C块的语法元素SC选择概率模型
  • 二值化
    将语法元素值转换成二进制值串
  • 概率模型更新
    根据已经编码的比特,重新估计二进制值串的概率并更新概率模型,用新的概率模型编码下一个比特
    在这里插入图片描述

15. Run Length 编码

利用信源字符的重复性来编码的技术
对有很长,很多重复字符的信源编码非常有效
重复字符称为run,重复的字符个数称为run length
Run-length编码能够和其它熵编码一起来压缩数据
在这里插入图片描述
在这里插入图片描述

16. 字典编码

  • 字典编码:根据信源符号(消息)的组合特点,建立包含各种符号组合的字典,编码这些符号组合的索引
    LZ78=>Winzip
    LZW=> GIF
  • 适合一般意义上的数据压缩,去除数据的统计冗余

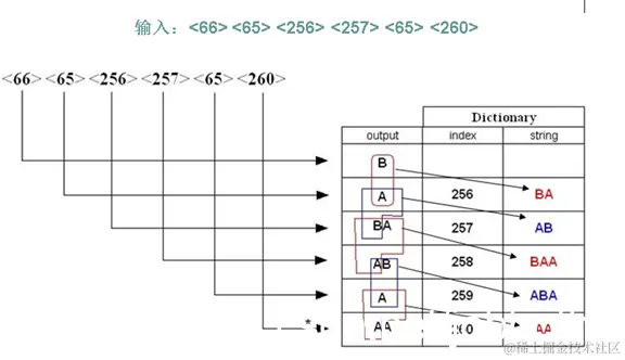
17. LZW

  • 将信源输出的字符串中,每个第一次出现的字符或者字符串用索引来表示,并将字符或字符串对应的索引编码到码流中
  • 解码端根据从码流中解码的字符,在线的建立和编码器完全一样的字典,并恢复出信源输出的字符串
  • 适用于字符串中有大量的子字符串多次重复出现,重复次数越多,压缩效果越好
  • 单个符号被分配为0-255之间的值
  • 初始码表,使其包含值为0-255的256个符号,值大于255的符号为空
  • 编码器将根据编码的符号情况确定字符组合为从 256 到 4095 之间的值
  • 编码时,编码器识别新的字符组合,并将他们增加到码表中
  • 编码器用码表中的符号组合所对应的值编码

在这里插入图片描述

  • 解压时LZW解码器能够产生和编码器完全一样的码表
  • 和编码器一样先初始化所有的单字符,将0-255之间的值分配给它们
  • 除了解码第一个字符外,解码其它字符时都要更新码表
  • 通过读码字并根据码表中的值将它们解码为对应的字符或字符组合
    在这里插入图片描述

18. LZ78

在这里插入图片描述
在这里插入图片描述
参考资料:

LZW:www.cs.usyd.edu.au/~loki/cs2cs…
LZ78:www.cs.usyd.edu.au/~loki/cs2cs…