CTPN详解--基于bestrivern的blog和自己的理解

778 阅读13分钟

CTPN详解

前言

本文主要是基于bestrivern的blog对CTPN的网络进行理解,CTPN这个网络主要是针对文本进行jian'ce

一.概述

对于复杂场景的文字识别,首先要定位文字的位置,即文字检测。这一直是一个研究热点。

文本检测可以看成特殊的目标检测,但它有别于通用目标检测.在通用目标检测中,每个目标都有定义好的边界框,检测出的bbox与当前目标的groundtruth重叠率大于0.5就表示该检测结果正确.文本检测中正确检出需要覆盖整个文本长度,且评判的标准不同于通用目标检测,具体的评判方法参见(ICDAR 2017 RobustReading Competition),所以通用的目标检测方法并不适用文本检测。

CTPN是在ECCV 2016提出的一种文字检测算法。CTPN结合CNN与LSTM深度网络能有效的检测出复杂场景的横向分布的文字

二.关键idea

  1. 采用垂直anchor回归机制,检测小尺度的文本候选框
  2. 文本检测的难点在于文本的长度是不固定,可以是很长的文本,也可以是很短的文本.如果采用通用目标检测的方法,将会面临一个问题:如何生成好的text proposal.针对上述问题,作者提出了一个vertical anchor的方法,具体的做法是只预测文本的竖直方向上的位置,水平方向的位置不预测。与faster rcnn中的anchor类似,但是不同的是,vertical anchor的宽度都是固定好的了论文中的大小是16个像素。而高度则从11像素到273像素(每次除以0.7)变化,总共10个anchor.
  3. 采用RNN循环网络将检测的小尺度文本进行连接,得到文本行
  4. 采用CNN+RNN端到端的训练方式,支持多尺度和多语言,避免后处理       

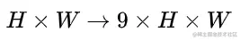
output_5.png

三.ctpn网络结构

假设输入N副Images:

  • 首先VGG提取特征,获得大小N * C * H * W 为conv5 feature map。
  • 之后在conv5上做3* 3的滑动窗口,即每个点都结合周围3* 3区域特征获得一个长度为3* 3* C的特征向量。输出N * 9C * H * W的feature map,该特征显然只有CNN学习到的空间特征。
  • 再将这个feature map进行Reshape:

output_8.png

  • 然后以Batch=NH最大时间长度Tmax=WT_max=W的数据流输入双向LSTM,学习每一行的序列特征。双向LSTM输出,再经Reshape恢复形状:

output_10.png

该特征既包含空间特征,也包含了LSTM学习到的序列特征。

  • 然后经过“FC”卷积层,变为的特征N * 512 * H * W
  • 最后经过类似Faster R-CNN的RPN网络,获得text proposals,如图2-b。                output_12.png  

这里解释一下conv5 feature map如何N * C * H * W从变为N * 9C * H * W

output_15.png

在原版caffe代码中是用im2col提取每个点附近的9点临近点,然后每行都如此处理: 

                                                               output_16.png

接着每个通道都如此处理:

                                                        output_17.png

而im2col是用于卷积加速的操作,即将卷积变为矩阵乘法,从而使用Blas库快速计算。到了tf,没有这种操作,所以一般是用conv2d代替im2col,即强行卷积C --> 9C 。

自己的理解:

首先我们通过VGG网络实现的是特征图的提取,N * C * H * W,其中C就是CNN的最终输出的通道数,然后我们在使用3 * 3的网络对每个像素点(原来是H * W)周围的9个点进行像素提取,变成H * W * 9,最后呈现出来就是N * 9C * H * W,因为我们需要将特征图送入到RNN(双向LSTM),这样的话,我们能够获取到数据的序列特征,因为前文中我们也指出了使用竖向的anchor,所以我们的序列输入就是W,学习每一行的序列特征,连续的特征,我们需要对N * 9C * H * W 进行reshape,(NH) * W * 9C,最后输出256个结果,此时的形状是(NH) * W * 256,在reshape标准图片的形状N * 256 * H * W,经过全连接层后,特征变成了N * 512 * H * W,然后在经过类似Fast R-CNN的RPN网络,这个地方是判断框是否能相连,而Fast R-CNN的RPN方法是将等到框是不是positive和nagetive的和对于候选框的中心位置的修正和收缩的修正。

接下来,文章围绕下面三个问题展开:

  1. 为何使用双向LSTM
  2. 如何通过FC层输出产生图2-b中的Text proposals
  3. 如何通过Text proposals确定最终的文本位置,即文本线构造算法

补充说明:

CTPN的具体实现流程包含三个部分:检测小尺度文本框循环连接文本框文本行边细化.具体的实现步骤如下:

  1. 使用VGG16作为base net提取特征,得到conv5_3的特征作为feature map,大小是W×H×C
  2. 在上述的feature map上使用大小为3* 3的滑动窗进行滑动,每个窗口都能得到一个长度为3×3×C的特征向量,每个滑动窗口中心都会预测k个相对于anchor的偏移(相当于一个像素上有k个框)
  3. 将上一步得到的特征输入到一个双向的LSTM中,得到长度为W×256的输出,然后接一个512的全连接层,准备输出。
  4. 输出层部分主要有三个输出。2k个vertical coordinate,因为一个anchor用的是中心位置的高(y坐标)和矩形框的高度两个值表示的,所以一个用2k个输出。(注意这里输出的是相对anchor的偏移)。2k个score因为预测了k个text proposal,所以有2k个分数,text和non-text各有一个分数(相当于softmax的positive和negative)k个side-refinement,这部分主要是用来精修文本行的两个端点的,表示的是每个proposal的水平平移量
  5. 使用一个标准的非极大值抑制算法滤除多余的text proposal
  6. 最后使用基于图的文本行构造算法将得到的一个一个的文本段合并成文本行

四.双向LSTM

CNN学习的是感受野内的空间信息,LSTM学习的是序列特征。对于文本序列检测,显然既需要CNN抽象空间特征,也需要序列特征(毕竟文字是连续的)。

CTPN中使用双向LSTM,相比一般单向LSTM有什么优势?双向LSTM实际上就是将2个方向相反的LSTM连起来,如图r。

output_19.png

一般来说,双向LSTM都好于单向LSTM。还是看LSTM介绍文章中的例子:

我的手机坏了,我打算____ 一部新手机。

假设使用LSTM对空白部分填词。如果只看横线前面的词,“手机坏了”,那么“我”是打算“修”还是“买”还是“大哭一场”?双向LSTM能看到后面的词是“一部新手机“,那么横线上的词填“买“的概率就大得多了。显然对于文字检测,这种情况也依然适用。

五.全连接层与rpn网络

经过全连接层得到一个512维的feature map。                   output_20.png

CTPN通过CNN和BLSTM学到一组“空间 + 序列”特征后,在"FC"卷积层后接入RPN网络。这里的RPN与Faster R-CNN类似,分为两个分支:

  1. 左边分支用于bounding box regression。由于fc feature map每个点配备了10个Anchor,同时只回归中心y坐标与高度2个值,所以rpn_bboxp_red有20个channels(修正Anchor的部分)
  2. 右边分支用于Softmax分类Anchor(判断anchor中是不是存在文字)

具体RPN网络与Faster R-CNN完全一样,所以不再介绍,只分析不同之处。

六.竖直Anchor定位文字位置

由于CTPN针对的是横向排列的文字检测,所以其采用了一组 (10个)等宽度的Anchors,用于定位文字位置。Anchor宽高为:

                                output_21.png

需要注意,由于CTPN采用VGG16模型提取特征,那么conv5 feature map的宽高都是输入Image的宽高的1/16

同时fc与conv5 width和height都相等

如图6所示,CTPN为fc feature map每一个点都配备10个上述Anchors

                                 output_22.png

这样设置Anchors是为了:

  1. 保证在x方向上,Anchor覆盖原图每个点且不相互重叠
  2. 不同文本在y方向上高度差距很大,所以设置Anchors高度为11-283,用于覆盖不同高度的文本目标

多说一句,我看还有人不停的问Anchor大小为什么对应原图尺度,而不是conv5/fc特征尺度。这是因为Anchor是目标的候选框,经过后续分类+位置修正获得目标在原图尺度的检测框。那么这就要求Anchor必须是对应原图尺度!除此之外,如果Anchor大小对应conv5/fc尺度,那就要求Bounding box regression把很小的框回归到很大,这已经超出Regression小范围修正框的设计目的。

获得Anchor后,与Faster R-CNN类似,CTPN会做如下处理(实际上还是做线性回归,训练网络,得到中心修正和缩放比的修正):

  1. Softmax判断Anchor中是否包含文本,即选出Softmax score大的正Anchor
  2. Bounding box regression修正包含文本的Anchor的中心y坐标与高度。 注意,与Faster R-CNN不同的是,这里Bounding box regression不修正Anchor中心x坐标和宽度。具体回归方式如下:

output_23.png                            

(cy,hc_y,h)是预测得到的中心坐标和高度值cyac_{y}^{a}hah_aAnchor的中心y坐标和高度。(cy,hc_y^* ,h^* )是Ground Truth(真实标记)中心坐标和高度值

v=(vc,vh)v=(v_c,v_h)回归预测的值与anchor的坐标变换v=(vc,vh)v=(v_c^* ,v_h^* )Ground Truth与anchor的坐标变换

最终需要最小化vvvv^* 的回归误差。可以选用smooth L1损失。

Anchor经过上述Softmax和y方向bounding box regeression处理后,会获得图7所示的一组竖直条状text proposal。后续只需要将这些text proposal用文本线构造算法连接在一起即可获得文本位置。 output_32.png

在论文中,作者也给出了直接使用Faster R-CNN RPN生成普通proposal与CTPN LSTM+竖直Anchor生成text proposal的对比,如图8,明显可以看到CTPN这种方法更适合文字检测。 output_33.png

七.文本线构造算法

在上一个步骤中,已经获得了一串或多串text proposal,接下来就要采用文本线构造办法,把这些text proposal连接成一个文本检测框。                  output_34.png

为了说明问题,假设某张图有图9所示的2个text proposal,即蓝色和红色2组Anchor,CTPN采用如下算法构造文本线:

  1. 按照水平x坐标排序Anchor
  2. 按照规则依次计算每个Anchor boxibox_ipair(boxi)pair(box_i),组成pair(xi,xj)pair(x_i,x_j)
  3. 通过pair(xi,xj)pair(x_i,x_j)建立一个Connect graph,最终获得文本检测框

下面详细解释。假设每个Anchor index如绿色数字,同时每个Anchor Softmax score如黑色数字。

文本线构造算法通过如下方式建立每个Anchor boxibox_ipair(boxi)pair(box_i)

正向寻找:

  1. 沿水平正方向,寻找和boxibox_i水平距离小于50的候选Anchor
  2. 从候选Anchor中,挑出boxibox_i与竖直方向overlapv>0.7overlap_v > 0.7的Anchor
  3. 挑出符合条件2中Softmax score最大boxibox_i

再反向寻找:

  1. 沿水平负方向,寻找和boxibox_i水平距离小于50的候选Anchor
  2. 从候选Anchor中,挑出boxibox_i与竖直方向overlapv>0.7overlap_v > 0.7的Anchor
  3. 挑出符合条件2中Softmax score最大boxibox_i

注:这里的overlapvoverlap_v是垂直方向的一维IOU。

最后对比scoreiscore_iscorekscore_k:

如果scorei>=scorekscore_i >= score_k,则这是一个最长连接,那么设置Graph(i,j)=TrueGraph(i,j)=True

如果scorei<scorekscore_i < score_k,说明这不是一个最长的连接(即该连接肯定包含在另外一个更长的连接中)。  

output_55.png

举例说明,如图10,Anchor已经按照 x 顺序排列好,并具有图中的Softmax score(这里的score是随便给出的,只用于说明文本线构造算法):

output_56.png

然后,这样就建立了N * N 一个的Connect graph(其中N是正Anchor数量)。遍历Graph:

output_58.png

这样就通过Text proposals确定了文本检测框。

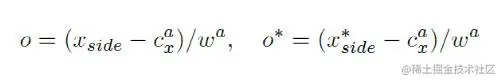
八.文本行的side-refinement

因为这里规定了回归出来的box的宽度是16个像素,所以会导致一些位置上的误差,这时候就是Side-refinement发挥作用的时候了。定义的式子如下:

                                            output_59.png

其中带* 表示为GroundTruth.。xsidex_side表示回归出来的左边界或者右边界,cxac_{x}^a表示anchor中心的横坐标,waw_a是固定的宽度16像素。所以O的定义相当于是一个缩放的比例,帮助我们去拉伸回归之后的box的结果,从而更好地符合实际文本的位置。对比图如下,红色框是使用了side-refinement的,而黄色框是没有使用side-refinement方法的结果:

output_63.png                                      

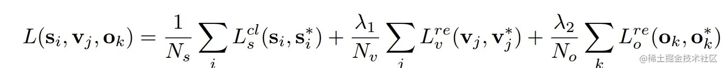
九.Loss 

loss的表达式如下:

output_64.png output_65.png

CTPN整体包含了3个loss,分类的Ls边框回归的Lv边框左右的回归的偏移Lo

Ls为传统的softmax_cross_entropy_loss(分类的交叉熵损失),其中,i表示所有预测的anchor中的第i个,si=0,1s_i = 0,1,Ns为归一化参数,表示所有的anchor的总和。

Lv使用的smooth_L1_loss(线性回归:均方误差损失),其中,j表示所有IOU > 0.5的anchor中的第j个,Nv为归一化参数,表示所有的anchor和groudtruth的IOU > 0.5的anchor数总和。λ1为多任务的平衡参数,λ1=1.0。 Lo也是使用的smooth_L1_loss,其中,k表示边界anchor中的第k个,即预测和groundtruth相距32个像素的边界anchor的集合。Nv为归一化参数,表示所有边界anchor数总和。λ1为多任务的平衡参数,λ1=2.0

十.总结

优点:

CTPN对于检测的边框在上下左右4个点上都比较准确,这点比EAST要好。

缺点:

(1)CTPN只可以检测水平方向的文本,竖直方向的话就会出现一个字一个字断开的想象。倾斜角度的话需要修改后处理anchor的连接方式,但是应该会引入新的问题。

(2)CTPN由于涉及到anchor合并的问题,何时合并,何时断开,这是一个问题。程序使用的是水平50个像素内合并,垂直IOU > 0.7合并。或许由于BLSTM的引入,导致断开这个环节变差。所以对于双栏,三栏的这种文本,ctpn会都当做一个框处理,有时也会分开处理,总之不像EAST效果好。