Faster R-CNN详解--基于bestrivern的blog和自己的理解

1,440 阅读19分钟

Faster R-CNN详解

前言

本文主要是基于bestrivern的blog对Faster R-CNN的网络进行理解,深化网络的理解,对生成的感悟进行整理

一.概述

首先放一张faster r-cnn的结构图。

output_5.png

经过R-CNN和Fast R-CNN的积淀,Ross B. Girshick在2016年提出了新的Faster RCNN,在结构上,Faster RCN已经将特征抽取(feature extraction)proposal提取bounding box regression(rect refine)classification都整合在了一个网络中,使得综合性能有较大提高,在检测速度方面尤为明显。

                            output_6.png

 Faster R-CNN其实可以分为4个主要内容:

  • Conv layers(特征抽取)。作为一种CNN网络目标检测方法,Faster RCNN首先使用一组基础的conv+relu+pooling层提取image的feature maps。该feature maps被共享用于后续RPN层和全连接层。
  • Region Proposal Networks(候选框的提取)。RPN网络用于生成region proposals。该层通过softmax判断anchors属于positive或者negative,再利用bounding box regression修正anchors获得精确的proposals。
  • Roi Pooling(确定哪些候选框有效)。该层收集输入的feature maps和proposals,综合这些信息后提取proposal feature maps,送入后续全连接层判定目标类别。
  • Classification(进行物体分类,同时对候选框进行修正)。利用proposal feature maps计算proposal的类别,同时再次bounding box regression获得检测框最终的精确位置。

整体的流程:

下图展示了python版本中的VGG16模型中的faster_rcnn_test.pt的网络结构,可以清晰的看到该网络对于一副任意大小PxQ的图像,首先缩放至固定大小MxN,然后将MxN图像送入网络;而Conv layers中包含了13个conv层+13个relu层+4个pooling层;RPN网络首先经过3x3卷积,再分别生成positive anchors和对应bounding box regression偏移量,然后计算出proposals;而Roi Pooling层则利用proposals从feature maps中提取proposal feature送入后续全连接和softmax网络作classification(即分类proposal到底是什么object)。

                 output_7.png

二.详解

1.Conv layers

Conv layers包含了conv,pooling,relu三种层。以python版本中的VGG16模型中的faster_rcnn_test.pt的网络结构为例,如上图,Conv layers部分共有13个conv层,13个relu层,4个pooling层。这里有一个非常容易被忽略但是又无比重要的信息,在Conv layers中:

  • 所有的conv层都是:kernel_size=3,pad=1,stride=1
  • 所有的pooling层都是:kernel_size=2,pad=1,stride=1 

为何重要?在Faster RCNN Conv layers中对所有的卷积都做了扩边处理(pad=1,即填充一圈0),导致原图变为 (M+2)x(N+2)大小,再做3x3卷积后输出MxN 。正是这种设置,导致Conv layers中的conv层不改变输入和输出矩阵大小。如下图:

               output_8.png

类似的是,Conv layers中的pooling层kernel_size=2,stride=2。这样每个经过pooling层的MxN矩阵,都会变为(M/2)x(N/2)大小。综上所述,在整个Conv layers中,conv和relu层不改变输入输出大小,只有pooling层使输出长宽都变为输入的1/2。

那么,一个MxN大小的矩阵经过Conv layers固定变为(M/16)x(N/16)!这样Conv layers生成的feature map中都可以和原图对应起来。

自己的理解:

这个部分完成的是特征的提取,实际上卷积操作实际上就是将一张图片的一对像素糅合成一个点,这个点承载着周围像素不同的权重,通过设置的通道的不同,我们可以得到不同的糅合后的图片,所以新生成的每一张(通道)图片都可以原图片不同参数下的特征图,用这个(通道)图片来代表整张图-------卷积的实际的作用:获取特征图

2 Region Proposal Networks(RPN)

经典的检测方法生成检测框都非常耗时,如OpenCV adaboost使用滑动窗口+图像金字塔生成检测框;或如R-CNN使用SS(Selective Search)方法生成检测框。而Faster RCNN则抛弃了传统的滑动窗口和SS方法,直接使用RPN生成检测框,这也是Faster R-CNN的巨大优势,能极大提升检测框的生成速度。

output_9.png                    

上图展示了RPN网络的具体结构。可以看到RPN网络实际分为2条线,上面一条通过softmax分类anchors获得positive和negative分类,下面一条用于计算对于anchors的bounding box regression偏移量,以获得精确的proposal。而最后的Proposal层则负责综合positive anchors和对应bounding box regression偏移量获取proposals,同时剔除太小和超出边界的proposals。其实整个网络到了Proposal Layer这里,就完成了相当于目标定位的功能。

总结:

  1. 通过候选的128个框做成2分类-softmax的问题,我们可以知道128个框,有哪些是真实有效的,有哪些框是无效的
  2. 下面的 1 * 1 的线计算对于候选框的框偏移量,生成四个值,中心点的偏移位置x,y,scaleh,scalewx_,y_,scale_h,scale_w , 中心位置和放大缩小的比例
  3. 最后的Proposal是将前面的两个部分综合,保留下有效的anchor,并且对有效的anchor进行校准,中心点修正,框的缩放的修正(去除超出图片本身的正向的anchor)
2.1 anchors

anchors实际上就是一组由rpn/generate_anchors.py生成的矩形。直接运行作者demo中的generate_anchors.py可以得到以下输出:

这个是针对一个中心点,生成的9个矩形的坐标

[[ -84.  -40.   99.   55.]
 [-176.  -88.  191.  103.]
 [-360. -184.  375.  199.]
 [ -56.  -56.   71.   71.]
 [-120. -120.  135.  135.]
 [-248. -248.  263.  263.]
 [ -36.  -80.   51.   95.]
 [ -80. -168.   95.  183.]
 [-168. -344.  183.  359.]]

其中每行的4个值(x1,x2,x3,x4x_1,x_2,x_3,x_4)表矩形左上和右下角点坐标。9个矩形共有3种形状,长宽比为大约weight:height$\in${1:1,1:2,2:1}为三种,如下图。实际上通过anchors就引入了检测中常用到的多尺度方法。

output_12.png                                                                          

 注:关于上面的anchors size,其实是根据检测图像设置的。在python demo中,会把任意大小的输入图像reshape成800x600(即图2中的M=800,N=600)。再回头来看anchors的大小,anchors中长宽1:2中最大为352x704,长宽2:1中最大736x384,基本是cover了800x600的各个尺度和形状

那么这9个anchors是做什么的呢?借用Faster RCNN论文中的原图,如下图,遍历Conv layers计算获得的feature maps,为每一个点都配备这9种anchors作为初始的检测框。这样做获得检测框很不准确,不用担心,后面还有2次bounding box regression可以修正检测框位置。

                                                   output_13.png

解释一下上面这张图的数字。

  1. 在原文中使用的是ZF model中,其Conv Layers中最后的conv5层num_output=256,对应生成256张特征图,所以相当于feature map每个点都是256-dimensions。即最后得到的feature map为N16M16256\frac{N}{16} * \frac{M}{16} * 256
  2. 在conv5之后,做了rpn_conv/3x3卷积且num_output=256,相当于每个点又融合了周围3x3的空间信息(猜测这样做也许更鲁棒?反正我没测试),同时256-d不变(上图中的红框)。
  3. 假设在conv5 feature map中每个点上有k个anchor(默认k=9),而每个anhcor要分positive和negative,所以每个点由256d feature转化为cls=2k scores;而每个anchor都有(x, y, w, h)对应4个偏移量,所以reg=4k coordinates
  4. 补充一点,全部anchors拿去训练太多了,训练程序会在合适的anchors中随机选取128个postive anchors+128个negative anchors进行训练(什么是合适的anchors下文有解释)

注意,在本文讲解中使用的VGG conv5 num_output=512,所以是512d,其他类似。

其实RPN最终就是在原图尺度上,设置了密密麻麻的候选Anchor。然后用cnn去判断哪些Anchor是里面有目标的positive anchor,哪些是没目标的negative anchor。所以,仅仅是个二分类而已!(RPN的核心思想)

那么Anchor一共有多少个?原图800x600,VGG下采样16倍,feature map每个点设置9个Anchor,所以:

                                                output_15.png

其中ceil()表示向上取整,是因为VGG输出的feature map size= 50 * 38。

output_16.png

2.2 softmax判定positive与negative

一副MxN大小的矩阵送入Faster R-CNN网络后,到RPN网络变为(M/16)x(N/16),不妨设 W=M/16,H=N/16。在进入reshape与softmax之前,先做了1x1卷积,如下图:                        output_17.png

该1x1卷积的caffe prototxt定义如下:

layer {
  name: "rpn_cls_score"
  type: "Convolution"
  bottom: "rpn/output"
  top: "rpn_cls_score"
  convolution_param {
    num_output: 18   # 2(positive/negative) * 9(anchors)
    kernel_size: 1 pad: 0 stride: 1
  }
}

可以看到其num_output=18,也就是经过该卷积的输出图像为W x H x 18 大小。这也就刚好对应了feature maps每一个点都有9个anchors,同时每个anchors又有可能是positive和negative,所有这些信息都保存 W x H x (9 * 2) 大小的矩阵。为何这样做?后面接softmax分类获得positive anchors,也就相当于初步提取了检测目标候选区域box(一般认为目标在positive anchors中)。

设定两个阈值 __C.TRAIN.RPN_POSITIVE_OVERLAP = 0.7,__C.TRAIN.RPN_NEGATIVE_OVERLAP = 0.3,在所有产生的anchor中选取128个positive anchor和128个negative anchor,(np.sample函数选取)根据iou与阈值的关系设定标签(label: 1 is positive, 0 is negative, -1 is dont care)。

那么为何要在softmax前后都接一个reshape layer?其实只是为了便于softmax分类,至于具体原因这就要从caffe的实现形式说起了。在caffe基本数据结构blob中以如下形式保存数据:

blob=[batch_size, channel,height,width]

对应至上面的保存positive/negative anchors的矩阵,其在caffe blob中的存储形式为 [1, 2 x 9, H, W] 。而在softmax分类时需要进行positive/negative二分类,所以reshape layer会将其变为 [1, 2, 9xH, W] 大小,即单独“腾空”出来一个维度以便softmax分类,之后再reshape回复原状。贴一段caffe softmax_loss_layer .cpp的reshape函数的解释,非常精辟:

"Number of labels must match number of predictions; "
"e.g., if softmax axis == 1 and prediction shape is (N, C, H, W), "
"label count (number of labels) must be N*H*W, "
"with integer values in {0, 1, ..., C-1}.";

综上所述,RPN网络中利用anchors和softmax初步提取出positive anchors作为候选区域(另外也有实现用sigmoid代替softmax,原理类似)。

自己的理解:

这个部分整体的过程梳理下就是:首先经历了一个3 * 3的卷积,再度将feature maps进行特征的糅合,然后我们经过一个1 * 1 * 18的卷积的过程,主要是让上一步生成的每一张特征图增加一个通道,9个positive anchor框和9个negative anchor 这样就是为了后续的分类softmax做准备,两次reshape的原因就是因为原作者使用caffe的时候数据存储受到限制,所以需要两次的reshape进行调整。

2.3 bounding box regression原理

如下图所示绿色框为飞机的Ground Truth(GT),红色为提取的positive anchors,即便红色的框被分类器识别为飞机,但是由于红色的框定位不准,这张图相当于没有正确的检测出飞机。所以我们希望采用一种方法对红色的框进行微调,使得positive anchors和GT更加接近。                                              output_18.png

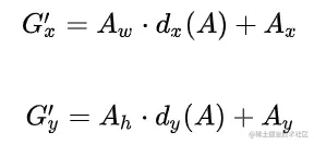
对于窗口一般使用四维向量(x,y,w,h)表示,分别表示窗口的中心点坐标和宽高。如下图,红色的框A代表原始的positive Anchors,绿色的框G代表目标的GT,我们的目标是寻找一种关系,使得输入原始的anchor A经过映射得到一个跟真实窗口G更接近的回归窗口G',即:

给定anchor A=(Ax,Ay,Aw,Ah)A = (A_x,A_y,A_w,A_h)和 GT=(GTx,GTy,GTw,GTh)GT = (GT_x,GT_y,GT_w,GT_h) 寻找一种变换F,使得F(Ax,Ay,Aw,Ah)=(GTx,GTy,GTw,GTh)F(A_x,A_y,A_w,A_h) = (GT_{x}^{'},GT_{y}^{'},GT_{w}^{'},GT_{h}^{'}),其中 (GTx,GTy,GTw,GTh)(GTx,GTy,GTw,GTh)(GT_{x}^{'},GT_{y}^{'},GT_{w}^{'},GT_{h}^{'}) \approx (GT_{x}^{'},GT_{y}^{'},GT_{w}^{'},GT_{h}^{'})  

output_23.png

那么经过何种变换F才能从图10中的anchor A变为G'呢? 比较简单的思路就是:

观察上面4个公式发现,需要学习的是dx(A),dy(A),dw(A),dh(A)d_x(A),d_y(A),d_w(A),d_h(A)这四个变换。当输入的anchor A与GT相差较小时,可以认为这种变换是一种线性变换, 那么就可以用线性回归来建模对窗口进行微调(注意,只有当anchors A和GT比较接近时,才能使用线性回归模型,否则就是复杂的非线性问题了)。

接下来的问题就是如何通过线性回归获得dx(A),dy(A),dw(A),dh(A)d_x(A),d_y(A),d_w(A),d_h(A)了。线性回归就是给定输入的特征向量X, 学习一组参数W, 使得经过线性回归后的值跟真实值Y非常接近,即Y=WX。对于该问题,输入X是cnn feature map,定义为Φ;同时还有训练传入A与GT之间的变换量,即(tx,ty,tw,th)(t_x,t_y,t_w,t_h)。输出是四个变换dx(A),dy(A),dw(A),dh(A)d_x(A),d_y(A),d_w(A),d_h(A)。那么目标函数可以表示为:

                                        output_28.png

其中output_29.png是对应anchor的feature map组成的特征向量,WW_* 是需要学习的参数,d(A)d_* (A)是得到的预测值(* 表示 x,y,w,h,也就是每一个变换对应一个上述目标函数)。为了让预测值d(A)d_* (A)与真实值tt_* 差距最小,设计损失函数: 

output_34.png

函数优化目标为:

output_35.png

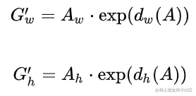
  • 先做平移

output_36.png                                                                                                                   

  • 再做缩放

output_37.png                                                                                                                                  

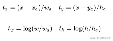
需要说明,只有在GT与需要回归框位置比较接近时,才可近似认为上述线性变换成立。 说完原理,对应于Faster R-CNN原文,positive anchor与ground truth之间的平移量(tx,ty)(t_x,t_y)与尺度因子 (tw,th)(t_w,t_h)如下:

output_41.png

对于训练bouding box regression网络回归分支,输入是cnn feature Φ,监督信号是Anchor与GT的差距(tx,ty,tw,th)(t_x,t_y,t_w,t_h),即训练目标是:输入Φ的情况下使网络输出与监督信号尽可能接近。那么当bouding box regression工作时,再输入Φ时,回归网络分支的输出就是每个Anchor的平移量和变换尺度(tx,ty,tw,th)(t_x,t_y,t_w,t_h),显然即可用来修正Anchor位置了。

计算所有的positive anchor的$(t_x,t_y,t_w,t_h)$,但在最后loss回传的时候只选取128个做loss回传

自己的理解:

这个部分整体的过程梳理下就是:实际上这个部分我们又训练了一个网络,这个网络是简单的线型回归,我们自己生成的anchor,和真实的标签ground truth,之间使用方差作为损失函数训练网络,最终获得(tx,ty,tw,th)(t_x,t_y,t_w,t_h)

2.4 对proposals进行bounding box regression

在了解bounding box regression后,再回头来看RPN网络第二条线路,如下图。

                        output_45.png

先来看一看上图中1x1卷积的caffe prototxt定义: 

layer {
  name: "rpn_bbox_pred"
  type: "Convolution"
  bottom: "rpn/output"
  top: "rpn_bbox_pred"
  convolution_param {
    num_output: 36   # 4 * 9(anchors)
    kernel_size: 1 pad: 0 stride: 1
  }
}

可以看到其 num_output=36,即经过该卷积输出图像为W x H x 36,在caffe blob存储为 [1, 4 x 9, H, W] ,这里相当于feature maps每个点都有9个anchors,每个anchors又都有4个用于回归的           output_46.png

变换量。

VGG输出的特征,对应设置个anchors,而RPN输出:50 * 38 * 512

  • 大小50 * 38 * 2K为的positive/negative softmax分类特征矩阵
  • 大小50 * 38 * 4K为的regression坐标回归特征矩阵 恰好满足RPN完成positive/negative分类 + bounding box regression坐标回归.
2.5 Proposal Layer

Proposal Layer负责综合所有dx(A),dy(A),dw(A),dh(A)d_x(A),d_y(A),d_w(A),d_h(A)变换量和positive anchors,计算出精准的proposal,送入后续RoI Pooling Layer。还是先来看看Proposal Layer的caffe prototxt定义:

layer {
  name: 'proposal'
  type: 'Python'
  bottom: 'rpn_cls_prob_reshape'
  bottom: 'rpn_bbox_pred'
  bottom: 'im_info'
  top: 'rois'
  python_param {
    module: 'rpn.proposal_layer'
    layer: 'ProposalLayer'
    param_str: "'feat_stride': 16"
  }
}

Proposal Layer有3个输入:

  • positive vs negative anchors分类器结果rpn_cls_prob_reshape
  • 对应的bbox reg的dx(A),dy(A),dw(A),dh(A)d_x(A),d_y(A),d_w(A),d_h(A)变换量rpn_bbox_pred,
  • 以及im_info
  • 另外还有参数feat_stride=16。

首先解释im_info。对于一副任意大小PxQ图像,传入Faster R-CNN前首先reshape到固定MxN,im_info=[M, N, scale_factor] 则保存了此次缩放的所有信息。然后经过Conv Layers,经过4次pooling变为WxH=(M/16)x(N/16) 大小,其中feature_stride=16则保存了该信息,用于计算anchor偏移量。

output_53.png                   Proposal Layer forward(caffe layer的前传函数)按照以下顺序依次处理: 

  1. 生成anchors,利用对所有的anchors做bbox regression回归(这里的anchors生成和训练时完全一致)
  2. 按照输入的positive softmax scores由大到小排序anchors,提取前pre_nms_topN(e.g. 6000)个anchors,即提取修正位置后的positive anchors。
  3. 限定超出图像边界的positive anchors为图像边界(防止后续roi pooling时proposal超出图像边界)
  4. 剔除非常小(width<threshold or height<threshold)的positive anchors
  5. 进行nonmaximum suppression
  6. Proposal Layer有3个输入:positive和negative anchors分类器结果rpn_cls_prob_reshape,对应的bbox reg的(e.g. 300)结果作为proposal输出。

之后输出proposal=[x1, y1, x2, y2],注意,由于在第三步中将anchors映射回原图判断是否超出边界,所以这里输出的proposal是对应MxN输入图像尺度的,这点在后续网络中有用。

RPN网络结构就介绍到这里,总结起来就是:

生成anchors -> softmax分类器提取positvie anchors -> bbox reg回归positive anchors -> Proposal Layer生成proposals

                                     output_55.png

3.RoI Pooling

RoI Pooling层则负责收集proposal,并计算出proposal feature maps,送入后续网络。Rol pooling层有2个输入:

  • 原始的feature maps
  • RPN输出的proposal boxes(大小各不相同)

因为rpn输出的proposal boxes大小各不相同,而其之后要进入FC层,必须要有固定的大小,这里用RoI Pooling层来使得所有的proposal boxes为固定的大小。(非常重点)

3.1 RoI Pooling原理

RoI Pooling Layer的caffe prototxt的定义:

layer {
  name: "roi_pool5"
  type: "ROIPooling"
  bottom: "conv5_3"
  bottom: "rois"
  top: "pool5"
  roi_pooling_param {
    pooled_w: 7
    pooled_h: 7
    spatial_scale: 0.0625 # 1/16
  }
}

其中有新参数pooled_wpooled_h,另外一个参数spatial_scale认真阅读的读者肯定已经知道知道用途。RoI Pooling layer forward过程:

  • 由于proposal是对应MXN尺度的,所以首先使用spatial_scale参数将其映射回(M/16)X(N/16)大小的feature map尺度;
  • 再将每个proposal对应的feature map区域水平分为pooled_w * pooled_h的网格;
  • 对网格的每一份都进行max pooling处理。

这样处理后,即使大小不同的proposal输出结果都是pooled_w * pooled_h固定大小,实现了固定长度输出。

总结:RoI Pooling

  1. 这个层实际的目的就是将我们输入的features map 和 proposal 的进行形状归一化,后面连接全连接层的时候,输入保持一致

4.Classification                    

Classification部分利用已经获得的proposal feature maps,通过full connect层与softmax计算每个proposal具体属于那个类别(如人,车,电视等),输出cls_prob概率向量;同时再次利用bounding box regression获得每个proposal的位置偏移量bbox_pred,用于回归更加精确的目标检测框。Classification部分网络结构如下图。

                       output_56.png

从RoI Pooling获取到7x7=49大小的proposal feature maps后,送入后续网络,可以看到做了如下2件事:

  1. 通过全连接和softmax对proposals进行分类,这实际上已经是识别的范畴了
  2. 再次对proposals进行bounding box regression,获取更高精度的rect box

这里来看看全连接层InnerProduct layers,简单的示意图如下,

                                                                               output_57.png

其计算公式如下:

                                        output_58.png

其中Wbias B都是预先训练好的,即大小是固定的,当然输入X和输出Y也就是固定大小。所以,这也就印证了之前Roi Pooling的必要性

5.Faster R-CNN训练

Faster R-CNN的训练,是在已经训练好的model(如VGG_CNN_M_1024,VGG,ZF)的基础上继续进行训练。实际中训练过程分为6个步骤

output_59.png

  1. 在已经训练好的model上,训练RPN网络,对应stage1_rpn_train.pt
  2. 利用步骤1中训练好的RPN网络,收集proposals,对应rpn_test.pt
  3. 第一次训练Fast RCNN网络,对应stage1_fast_rcnn_train.pt
  4. 第二训练RPN网络,对应stage2_rpn_train.pt
  5. 再次利用步骤4中训练好的RPN网络,收集proposals,对应rpn_test.pt
  6. 第二次训练Fast RCNN网络,对应stage2_fast_rcnn_train.pt

可以看到训练过程类似于一种“迭代”的过程,不过只循环了2次。至于只循环了2次的原因是应为作者提到:"A similar alternating training can be run for more iterations, but we have observed negligible improvements",即循环更多次没有提升了。接下来本章以上述6个步骤讲解训练过程。

下面是一张训练过程流程图,应该更加清晰

5.1训练RPN网络

在该步骤中,首先读取RBG提供的预训练好的model(本文使用VGG),开始迭代训练。来看看stage1_rpn_train.pt网络结构,如图19。                        output_60.png

与检测网络类似的是,依然使用Conv Layers提取feature maps。整个网络使用的Loss如下:

output_61.png

上述公式中i表示anchors index,pi表示positive softmax probability,PiP_{i}^{* }代表对应的GT predict概率(即当第i个anchor与GT间IoU>0.7,认为是该anchor是positivePiP_{i}^{* }=1;反之IoU<0.3时,认为是该anchor是negativePiP_{i}^{* }=0;至于那些0.3<IoU<0.7的anchor则不参与训练);t代表predict bounding box,tt^{* }代表对应positive anchor对应的GT box。可以看到,整个Loss分为2部分: 

  1. cls loss,即rpn_cls_loss层计算的softmax loss,用于分类anchors为positive与negative的网络训练
  2. reg loss,即rpn_loss_bbox层计算的soomth L1 loss,用于bounding box regression网络训练。注意在该loss中乘了PiP_{i}^{* },相当于只关心positive anchors的回归(其实在回归中也完全没必要去关心negative)。

由于在实际过程中,NclsN_{cls}NregN_{reg}差距过大,用参数λ平衡二者(如output_69.png时设置output_70.png),使总的网络Loss计算过程中能够均匀考虑2种Loss。这里比较重要是LregL_{reg}使用的soomth L1 loss,计算公式如下:

output_72.png                                                 

  1. 在RPN训练阶段,rpn-data(python AnchorTargetLayer)层会按照和test阶段Proposal层完全一样的方式生成Anchors用于训练
  2. 对于rpn_loss_cls,输入的rpn_cls_scors_reshape和rpn_labels分别对应p与PP^*  ,NclsN_{cls}参数隐含在p与PP^* 的caffe blob的大小中
  3. 对于rpn_loss_bbox,输入的rpn_bbox_pred和rpn_bbox_targets分别对应t与tt^* ,rpn_bbox_inside_weigths对应PP^* ,rpn_bbox_outside_weigths未用到(从soomth_L1_Loss layer代码中可以看到),而NregN_{reg}同样隐含在caffe blob大小中

这样,公式与代码就完全对应了。特别需要注意的是,在训练和检测阶段生成和存储anchors的顺序完全一样,这样训练结果才能被用于检测!

5.2 通过训练好的RPN网络收集proposals

在该步骤中,利用之前的RPN网络,获取proposal rois,同时获取positive softmax probability,如下图,然后将获取的信息保存在python pickle文件中。该网络本质上和检测中的RPN网络一样,没有什么区别。

output_79.png                                     

5.3 训练Faster RCNN网络

读取之前保存的pickle文件,获取proposals与positive probability。从data层输入网络。然后:

  1. 将提取的proposals作为rois传入网络,如下图蓝框
  2. 计算bbox_inside_weights + bbox_outside_weights,作用与RPN一样,传入soomth_L1_loss layer,如下图绿框

这样就可以训练最后的识别softmax与最终的bounding box regression了,如图21。

output_80.png

之后的stage2训练都是大同小异,不再赘述了。Faster R-CNN还有一种end-to-end的训练方式,可以一次完成train。