在n=4、k=3时,求1010的海明码。

329 阅读1分钟

(1)确定海明码的位数

  • 设n为有效信息的位数,k为校验位的位数,则信息位n和校验位k应满足 n + k<2^k-1 (若要检测两位错,则需再增加1位校验位,即k+1位)
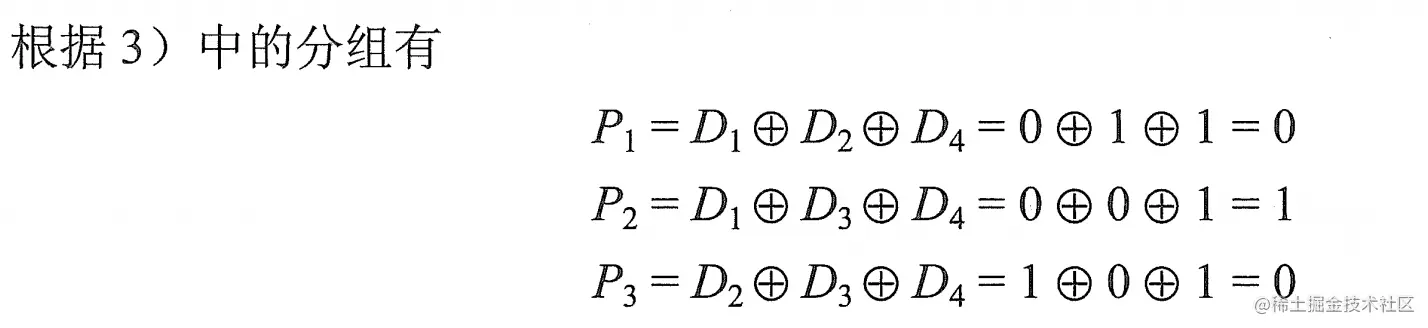
  • 海明码位数为4+3=7<=2^3-1成立,则n,k有效。设信息位为D4D3D2D1(1010),共4位, 校验位为P3P2P1共3位,对应的海明码为H7H6H5H4H3H2H1 (2)确定校验位的分布 图片.png (3)分组以形成校验关系 图片.png (4)校验位取值 校验位Pi的值为,第i组(由该校验位校验的数据位)所有位求异或 图片.png 所以,1010对应的海明码为1010010 (5) 海明码的校验原理 图片.png