树的遍历:迭代 & 递归|Java 刷题打卡

912 阅读3分钟

本文正在参加「Java主题月 - Java 刷题打卡」,详情查看 活动链接

题目描述

这是 LeetCode 上的 872. 叶子相似的树

Tag : 「树的搜索」、「非递归」、「递归」、「DFS」

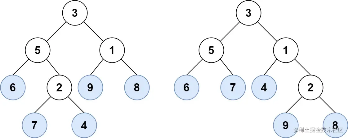
请考虑一棵二叉树上所有的叶子,这些叶子的值按从左到右的顺序排列形成一个 叶值序列 。

举个例子,如上图所示,给定一棵叶值序列为 (6, 7, 4, 9, 8) 的树。

如果有两棵二叉树的叶值序列是相同,那么我们就认为它们是 叶相似 的。

如果给定的两个根结点分别为 root1 和 root2 的树是叶相似的,则返回 true;否则返回 false 。

 

示例 1:

输入:
root1 = [3,5,1,6,2,9,8,null,null,7,4], 
root2 = [3,5,1,6,7,4,2,null,null,null,null,null,null,9,8]

输出:true

示例 2:

输入:root1 = [1], root2 = [1]

输出:true

示例 3:

输入:root1 = [1], root2 = [2]

输出:false

示例 4:

输入:root1 = [1,2], root2 = [2,2]

输出:true

示例 5:

输入:root1 = [1,2,3], root2 = [1,3,2]

输出:false

提示:

  • 给定的两棵树可能会有 1 到 200 个结点。
  • 给定的两棵树上的值介于 0 到 200 之间。

递归

递归写法十分简单,属于树的遍历中最简单的实现方式。

代码:

class Solution {
    public boolean leafSimilar(TreeNode t1, TreeNode t2) {
        List<Integer> l1 = new ArrayList<>(), l2 = new ArrayList<>();
        dfs(t1, l1);
        dfs(t2, l2);
        if (l1.size() == l2.size()) {
            for (int i = 0; i < l1.size(); i++) {
                if (!l1.get(i).equals(l2.get(i))) return false;
            }
            return true;
        }
        return false;
    }
    void dfs(TreeNode root, List<Integer> list) {
        if (root == null) return;
        if (root.left == null && root.right == null) {
            list.add(root.val);
            return;
        }
        dfs(root.left, list);
        dfs(root.right, list);
    }
}
  • 时间复杂度:nm 分别代表两棵树的节点数量。复杂度为 O(n+m)O(n + m)
  • 空间复杂度:nm 分别代表两棵树的节点数量,当两棵树都只有一层的情况,所有的节点值都会被存储在 listlist 中。复杂度为 O(n+m)O(n + m)

迭代

迭代其实就是使用「栈」来模拟递归过程,也属于树的遍历中的常见实现形式。

一般简单的面试中如果问到树的遍历,面试官都不会对「递归」解法感到满意,因此掌握「迭代/非递归」写法同样重要。

代码:

class Solution {
    public boolean leafSimilar(TreeNode t1, TreeNode t2) {
        List<Integer> l1 = new ArrayList<>(), l2 = new ArrayList<>();
        process(t1, l1);
        process(t2, l2);
        if (l1.size() == l2.size()) {
            for (int i = 0; i < l1.size(); i++) {
                if (!l1.get(i).equals(l2.get(i))) return false;
            }
            return true;
        }
        return false;
    }
    void process(TreeNode root, List<Integer> list) {
        Deque<TreeNode> d = new ArrayDeque<>();
        while (root != null || !d.isEmpty()) {
            while (root != null) {
                d.addLast(root);
                root = root.left;
            }
            root = d.pollLast();
            if (root.left == null && root.right == null) list.add(root.val);
            root = root.right;
        }
    }
}
  • 时间复杂度:nm 分别代表两棵树的节点数量。复杂度为 O(n+m)O(n + m)
  • 空间复杂度:nm 分别代表两棵树的节点数量,当两棵树都只有一层的情况,所有的节点值都会被存储在 listlist 中。复杂度为 O(n+m)O(n + m)

最后

这是我们「刷穿 LeetCode」系列文章的第 No.872 篇,系列开始于 2021/01/01,截止于起始日 LeetCode 上共有 1916 道题目,部分是有锁题,我们将先将所有不带锁的题目刷完。

在这个系列文章里面,除了讲解解题思路以外,还会尽可能给出最为简洁的代码。如果涉及通解还会相应的代码模板。

为了方便各位同学能够电脑上进行调试和提交代码,我建立了相关的仓库:github.com/SharingSour…

在仓库地址里,你可以看到系列文章的题解链接、系列文章的相应代码、LeetCode 原题链接和其他优选题解。