树遍历专题:利用二叉树的中序遍历有序特性|Java 刷题打卡

623 阅读1分钟

本文正在参加「Java主题月 - Java 刷题打卡」,详情查看 活动链接

题目描述

这是 LeetCode 上的 938. 二叉搜索树的范围和 ,难度为 简单

Tag : 「树的搜索」、「DFS」、「BFS」

给定二叉搜索树的根结点 root,返回值位于范围 [low, high] 之间的所有结点的值的和。

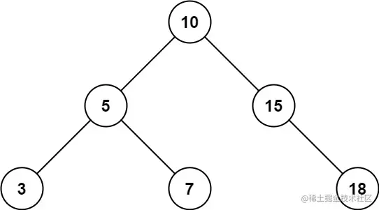
示例 1:

输入:root = [10,5,15,3,7,null,18], low = 7, high = 15

输出:32

示例 2:

输入:root = [10,5,15,3,7,13,18,1,null,6], low = 6, high = 10

输出:23

提示:

  • 树中节点数目在范围 [1, 2 * 10410^4] 内
  • 1 <= Node.val <= 10510^5
  • 1 <= low <= high <= 10510^5
  • 所有 Node.val 互不相同

基本思路

这又是众多「二叉搜索树遍历」题目中的一道。

二叉搜索树的中序遍历是有序的。

只要对其进行「中序遍历」即可得到有序列表,在遍历过程中判断节点值是否符合要求,对于符合要求的节点值进行累加即可。

二叉搜索树的「中序遍历」有「迭代」和「递归」两种形式。由于给定了值范围 [low,high][low, high],因此可以在遍历过程中做一些剪枝操作,但并不影响时空复杂度。


递归

递归写法十分简单,属于树的遍历中最简单的实现方式。

代码:

class Solution {
    int low, high;
    int ans;
    public int rangeSumBST(TreeNode root, int _low, int _high) {
        low = _low; high = _high;
        dfs(root);
        return ans;
    }
    void dfs(TreeNode root) {
        if (root == null) return;
        dfs(root.left);
        if (low <= root.val && root.val <= high) ans += root.val;
        dfs(root.right);
    }
}
  • 时间复杂度:O(n)O(n)
  • 空间复杂度:O(n)O(n)

迭代

迭代其实就是使用「栈」来模拟递归过程,也属于树的遍历中的常见实现形式。

一般简单的面试中如果问到树的遍历,面试官都不会对「递归」解法感到满意,因此掌握「迭代/非递归」写法同样重要。

代码:

class Solution {
    public int rangeSumBST(TreeNode root, int low, int high) {
        int ans = 0;
        Deque<TreeNode> d = new ArrayDeque<>();
        while (root != null || !d.isEmpty()) {
            while (root != null) {
                d.addLast(root);
                root = root.left;
            }
            root = d.pollLast();
            if (low <= root.val && root.val <= high) {
                ans += root.val;
            }
            root = root.right;
        }
        return ans;
    }
}
  • 时间复杂度:O(n)O(n)
  • 空间复杂度:O(n)O(n)

最后

这是我们「刷穿 LeetCode」系列文章的第 No.938 篇,系列开始于 2021/01/01,截止于起始日 LeetCode 上共有 1916 道题目,部分是有锁题,我们将先将所有不带锁的题目刷完。

在这个系列文章里面,除了讲解解题思路以外,还会尽可能给出最为简洁的代码。如果涉及通解还会相应的代码模板。

为了方便各位同学能够电脑上进行调试和提交代码,我建立了相关的仓库:github.com/SharingSour…

在仓库地址里,你可以看到系列文章的题解链接、系列文章的相应代码、LeetCode 原题链接和其他优选题解。