学习 canvas (二) 绘制图表

1,676 阅读1分钟

创建一个新页面

新建一个barchart.html文件:

<!DOCTYPE html>
<html lang="en">
  <body>
    <canvas width="500" height="500" id="canvas"></canvas>
    <script type="text/javascript"></script>
  </body>
</html>

Canvas元素是类似于DIV的块级DOM元素,因此您可以对其进行样式设置或定位,就像在页面中进行其他操作一样。
现在给画布添加一个背景颜色。

    <script type="text/javascript">
      // 获取元素DOM
      var canvas = document.getElementById("canvas");

      // 获取画布上下文
      var c = canvas.getContext("2d");

      // 绘制背景
      c.fillStyle = "gray";
      c.fillRect(0, 0, 500, 500);
    </script>

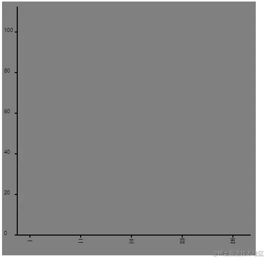
绘制轴线和标签

  // 绘制轴线
  c.fillStyle = "black";
  c.lineWidth = 2.0;
  c.beginPath();
  c.moveTo(30, 10);
  c.lineTo(30, 460);
  c.lineTo(490, 460);
  c.stroke();

  // 绘制 Y轴 刻度值
  c.fillStyle = "black";
  for (var i = 0; i < 6; i++) {
    // 绘制是 从上向下绘制的
    c.fillText((5 - i) * 20 + "", 4, i * 80 + 60);
    c.beginPath();
    c.moveTo(25, i * 80 + 60);
    c.lineTo(30, i * 80 + 60);
    c.stroke();
  }

  // 绘制 X 轴刻度
  var labels = ["一", "二", "三", "四", "五"];
  // 添加刻个 从左向右绘制
  for (var i = 0; i < 5; i++) {
    c.fillText(labels[i], 50 + i * 100, 475);
    c.beginPath();
    c.moveTo(55 + i * 100, 460);
    c.lineTo(55 + i * 100, 465);
    c.stroke();
  }

image.png

添加数据

坐标轴已绘制成功,现在为统计图添加添加数据。

  // 添加数据
  var data = [20, 10, 20, 30, 54];
  c.beginPath();
  for (var i = 0; i < data.length; i++) {
    var dp = data[i];
    if (dp) {
      if (i != 0) {
        c.lineTo(55 + i * 100, 460 - dp * 4);
      }
      c.stroke();
      c.beginPath();

      c.arc(55 + i * 100, 460 - dp * 4, 3, 0, 2 * Math.PI);
      c.fill();
      c.beginPath();

      c.moveTo(55 + i * 100, 460 - dp * 4);
    } else {
      c.beginPath();
    }
  }

image.png

  1. 通过循环数据计算出点的位置。
  2. 需要注意的是画布的坐标,是以左上角为原点(0,0)。所以 y轴 计算高度是用 y轴线的高度 - 坐标轴和数据的比例 = 显示位置。

增加折线沉叠渐变

  // 获取最大值
  var maxData = [...data].sort((a, b) => a - b)[data.length - 1];

  // 添加渐变色
  var g1 = c.createLinearGradient(0, 460 - maxData, 0, 460);
  g1.addColorStop(0, "rgba(5, 234, 200, 0.8)");
  g1.addColorStop(1, "rgba(5, 234, 200, 0.1)");
  c.fillStyle = g1;

  // 绘制填充
  for (var i = 0; i < data.length; i++) {
    var dp = data[i];
    if (dp) {
      if (data[i + 1]) {
        // 绘制 当前点 和 后一个点组合成 的图形 填充
        c.moveTo(55 + i * 100, 460 - dp * 4);
        c.lineTo(55 + (i + 1) * 100, 460 - data[i + 1] * 4);
        c.lineTo(55 + (i + 1) * 100, 460);
        c.lineTo(55 + i * 100, 460);

        c.fill();
        c.beginPath();
      }
    } else {
      c.beginPath();
    }
  }

image.png

  1. 是使用当前点和下一个点组合成一个新图形,给这个图形设置渐变实现的。

饼形图

现在开始绘制饼状图,新建一个barchart.html文件:

<!DOCTYPE html>
<html lang="en">
  <body>
    <canvas width="500" height="500" id="canvas"></canvas>
    <script type="text/javascript">
      // 获取元素DOM
      var canvas = document.getElementById("canvas");

      // 获取画布上下文
      var c = canvas.getContext("2d");

      // 绘制背景
      c.fillStyle = "gray";
      c.fillRect(0, 0, 500, 500);

      //
    </script>
  </body>
</html>

开始计算数据,并绘图。

      // 现在进行数据总值计算和颜色规定;
      // 数据
      var data = [100, 80, 10, 30, 200];
      // 颜色
      var colors = ["orange", "green", "blue", "yellow", "teal"];
      // 总值
      var total = 0;
      for (var i = 0; i < data.length; i++) {
        total += data[i];
      }

      //
      var proportion = 0;
      for (var i = 0; i < data.length; i++) {
        // 比例
        var fraction = data[i] / total;
        // 弧度
        var angle = proportion + fraction * Math.PI * 2;

        // 设置颜色
        var grad = c.createRadialGradient(250, 250, 0, 250, 250, 100);
        grad.addColorStop(0, "white");
        grad.addColorStop(1, colors[i]);
        c.fillStyle = grad;

        // 绘制弧形图
        c.beginPath();
        c.moveTo(250, 250);
        c.arc(250, 250, 100, proportion, angle, false);
        c.lineTo(250, 250);
        // 填充
        c.fill();

        // 边框
        c.strokeStyle = "black";
        c.stroke();

        // 修改下一次起点
        proportion = angle;
      }

image.png

为了图表更有用,您可以尝试进行一些其他改进。