字节面试高频题(k 个一组翻转链表)|Java 刷题打卡

2,043 阅读3分钟

本文正在参加「Java主题月 - Java 刷题打卡」,详情查看 活动链接

题目描述

这是 LeetCode 上的 25. K 个一组翻转链表 ,难度为 困难

Tag : 「递归」、「迭代」、「链表」

给你一个链表,每 k 个节点一组进行翻转,请你返回翻转后的链表。

k 是一个正整数,它的值小于或等于链表的长度。

如果节点总数不是 k 的整数倍,那么请将最后剩余的节点保持原有顺序。

进阶:

  • 你可以设计一个只使用常数额外空间的算法来解决此问题吗?
  • 你不能只是单纯的改变节点内部的值,而是需要实际进行节点交换。

示例 1:

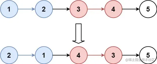
输入:head = [1,2,3,4,5], k = 2

输出:[2,1,4,3,5]

示例 2:

img

输入:head = [1,2,3,4,5], k = 3

输出:[3,2,1,4,5]

示例 3:

输入:head = [1,2,3,4,5], k = 1

输出:[1,2,3,4,5]

示例 4:

输入:head = [1], k = 1

输出:[1]

提示:

  • 列表中节点的数量在范围 sz 内
  • 1 <= sz <= 5000
  • 0 <= Node.val <= 1000
  • 1 <= k <= sz

迭代解法(哨兵技巧)

哨兵技巧我们在前面的多道链表题讲过,让三叶来帮你回忆一下:

做有关链表的题目,有个常用技巧:添加一个虚拟头结点(哨兵),帮助简化边界情况的判断。

链表和树的题目天然适合使用递归来做。

但这次我们先将简单的「递归版本」放一放,先搞清楚迭代版本该如何实现。

我们可以设计一个翻转函数 reverse

传入节点 root 作为参数,函数的作用是将以 root 为起点的 kk 个节点进行翻转。

当以 root 为起点的长度为 kk 的一段翻转完成后,再将下一个起始节点传入,直到整条链表都被处理完成。

当然,在 reverse 函数真正执行翻转前,需要先确保节点 root 后面至少有 kk 个节点。

我们可以结合图解再来体会一下这个过程:

假设当前样例为 1->2->3->4->5->6->7k = 3640.png

然后我们调用 reverse(cur, k),在 reverse() 方法内部,几个指针的指向如图所示,会通过先判断 cur 是否为空,从而确定是否有足够的节点进行翻转:

然后先通过 while 循环,将中间的数量为 k - 1 的 next 指针进行翻转:

最后再处理一下局部的头结点和尾结点,这样一次 reverse(cur, k) 执行就结束了:

回到主方法,将 cur 往前移动 k 步,再调用 reverse(cur, k) 实现 k 个一组翻转:

代码:

class Solution {
    public ListNode reverseKGroup(ListNode head, int k) {
        ListNode dummy = new ListNode(-1);
        dummy.next = head;
        ListNode cur = dummy;
        while (cur != null) {
            reverse(cur, k);
            int u = k;    
            while (u-- > 0 && cur != null) cur = cur.next;
        }
        return dummy.next;
    }
    // reverse 的作用是将 root 后面的 k 个节点进行翻转
    void reverse(ListNode root, int k) {
        // 检查 root 后面是否有 k 个节点
        int u = k;
        ListNode cur = root;
        while (u-- > 0 && cur != null) cur = cur.next;
        if (cur == null) return;

        // 进行翻转
        ListNode tail = cur.next;
        ListNode a = root.next, b = a.next;
        // 当需要翻转 k 个节点时,中间就有 k - 1 个 next 指针需要翻转
        while (k-- > 1) {
            ListNode c = b.next;
            b.next = a;
            a = b;
            b = c;
        }
        root.next.next = tail;
        root.next = a;
    }
}
  • 时间复杂度:会将每个节点处理一遍。复杂度为 O(n)O(n)
  • 空间复杂度:O(1)O(1)

递归解法

搞懂了较难的「迭代哨兵」版本之后,常规的「递归无哨兵」版本写起来应该更加容易了。

需要注意的是,当我们不使用「哨兵」时,检查是否足够 kk 位,只需要检查是否有 k1k - 1nextnext 指针即可。

代码:

class Solution {
    public ListNode reverseKGroup(ListNode head, int k) {
        int u = k;
        ListNode p = head;
        while (p != null && u-- > 1) p = p.next;
        if (p == null) return head;

        ListNode tail = head;
        ListNode prev = head, cur = prev.next;
        u = k;
        while (u-- > 1) {
            ListNode tmp = cur.next;
            cur.next = prev;
            prev = cur;
            cur = tmp;
        }
        tail.next = reverseKGroup(cur, k);
        return prev;
    }
}
  • 时间复杂度:会将每个节点处理一遍。复杂度为 O(n)O(n)
  • 空间复杂度:只有忽略递归带来的空间开销才是 O(1)O(1)

最后

这是我们「刷穿 LeetCode」系列文章的第 No.25 篇,系列开始于 2021/01/01,截止于起始日 LeetCode 上共有 1916 道题目,部分是有锁题,我们将先将所有不带锁的题目刷完。

在这个系列文章里面,除了讲解解题思路以外,还会尽可能给出最为简洁的代码。如果涉及通解还会相应的代码模板。

为了方便各位同学能够电脑上进行调试和提交代码,我建立了相关的仓库:github.com/SharingSour…

在仓库地址里,你可以看到系列文章的题解链接、系列文章的相应代码、LeetCode 原题链接和其他优选题解。