浅谈切比雪夫多项式推导及其实现模版归类

1,040 阅读6分钟

切比雪夫多项式

 

概述:

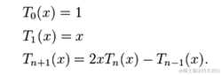
切比雪夫多项式是与棣美弗定理有关,以递归方式定义的一系列正交多项式序列。 通常,第一类切比雪夫多项式以符号Tn表示, 第二类切比雪夫多项式用Un表示。切比雪夫多项式 Tn 或 Un 代表 n 阶多项式。

切比雪夫多项式在逼近理论中有重要的应用。这是因为第一类切比雪夫多项式的根(被称为切比雪夫节点)可以用于多项式插值。相应的插值多项式能最大限度地降低龙格现象,并且提供多项式在连续函数的最佳一致逼近。

 

基本性质:

对每个非负整数n, Tn(x) 和 Un(x) 都为 n次多项式。 并且当n为偶(奇)数时,它们是关于x 的偶(奇)函数, 在写成关于x的多项式时只有偶(奇)次项。

 

按切比雪夫多项式的展开式:

一个N 次多项式按切比雪夫多项式的展开式为如下,多项式按切比雪夫多项式的展开可以用 Clenshaw 递推公式计算。第一类切比雪夫多项式由以下递推关系确定。

 

也可以用母函数表示。

 

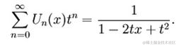
第二类切比雪夫多项式 由以下递推关系给出。

 

此时母函数为

 

Clenshaw递推公式

在数值分析中,Clenshaw递推公式 (由Charles William Clenshaw发现)是一个求切比雪夫多项式的值的递归方法。

 

切比雪夫多项式

N次切比雪夫多项式,是下面形式的多项式p(x)

 

 

其中T nn阶切比雪夫多项式

 

Clenshaw递推公式

Clenshaw递推公式可以用来计算切比雪夫多项式的值。给定

 

 

我们定义

 

于是

 

 

(注)上面的公式在 N=0,1的情况下无意义。此时我们可以用下面的公式:

 

(downward, omit if N=0)

 

这里

或者

 

其中是第二类切比雪夫多项式

棣莫弗(de Moivre)原理

  设两个复数(用三角形式表示)Z1=r1(cosθ1+isinθ1),Z2=r2(cosθ2+isinθ2),则:

  Z1Z2=r1r2[cos(θ1+θ2)+isin(θ1+θ2)].

解析

  证:先讲一下复数的三角形式的概念。在复平面C上,用向量Z(a,b)来表示Z=a+bi.于是,该向量可以分成两个在实轴,虚轴上的分向量.如果向量Z与实轴的夹角为θ,这两个分向量的模分别等于rcosθ,risinθ(r=√a^2+b^2).所以,复数Z可以表示为Z=r(cosθ+isinθ).这里θ称为复数Z的辐角.

  因为Z1=r1(cosθ1+isinθ1),Z2=r2(cosθ2+isinθ2),所以

  Z1Z2=r1r2(cosθ1+isinθ1)(cosθ2+isinθ2)

  =r1r2(cosθ1cosθ2+icosθ1sinθ2+isinθ1cosθ2-sinθ1sinθ2)

  =r1r2[(cosθ1cosθ2-sinθ1sinθ2)+i(cosθ1sinθ2+sinθ1cosθ2)]

  =r1r2[cos(θ1+θ2)+isin(θ1+θ2)].

  其实该定理可以推广为一般形式:

推广

  设n个复数Z1=r1(cosθ1+isinθ1),Z2=r2(cosθ2+isinθ2),……,Zn=rn(cosθn+isinθn),则:

  Z1Z2……Zn=r1r2……rn[cos(θ1+θ2+……+θn)+isin(θ1+θ2+……+θn)].

解析

  证:用数学归纳法即可,归纳基础就是两个复数相乘的棣莫弗定理。

  如果把棣莫弗定理和欧拉(Euler)公式“e^iθ=cosθ+isinθ”(参见《泰勒公式》,严格的证明需要复分析)放在一起看,则可以用来理解欧拉公式的意义。

  利用棣莫弗定理有:

  Z1Z2……Zn=r1r2……rn [cos(θ1+θ2+……+θn)+isin(θ1+θ2+……+θn)]

  如果可以把所有的复数改写成指数的形式,即:Z1=r1e^iθ1,Z2=r2e^iθ2,……,Zn=rne^iθn,

  Z1Z2……Zn=r1r2……rn e^i(θ1+θ2+……+θn)

  这和指数的可加性一致.

  在一般形式中如果令Z1=Z2=……=Zn=Z,则能导出复数开方的公式.有兴趣可自己推推看.

下面这题可作为切比雪夫多项式的模版:

**Trig Function **

**TimeLimit: 2000/1000 MS (Java/Others)    Memory Limit:32768/32768 K (Java/Others)
Total Submission(s): 714    Accepted Submission(s): 206

**

Problem Description

 

f(cos(x))=cos(n∗x) holds for all x.

Given two integersn and m , you need to calculate the coefficient of x^m​​ in f(x), modulo 998244353

 

  

Input

 

Multiple testcases (no more than 100).

Each test casecontains one line consisting of two integers n and m.

1≤n≤109,0≤m≤104

 

  

Output

Output the answerin a single line for each test case.

  

Sample Input

2 0

2 1

2 2

 

Sample Output

998244352

0

2

\

【题意】

给出一个函数,代入n,m后求出xm的系数,并取模输出。

\

【思路】

\

我们先尝试把cos(nx)化为cos(x)的形式,然后把cos(x)用x代换,就可以得到f(x)=...的形式,然后就能得到所求的系数了。

\

那么我们如何把cos(nx)化为cos(x)的形式呢。

\

其实可以尝试着暴力写出前几项的形式。如下图:

 

由写出的式子,我们可以发现以下几点:

  1. 当m大于n时,答案显然为0。
  2. 当n为奇数且m为偶数或n为偶数且m为奇数时答案显然为0。
  3. 当n为奇数,且m为1时,答案的绝对值为n。
  4. 当n为偶数,且m为0时,答案的绝对值为1。
  5. 其余情况答案的绝对值均为【 n * (n-m+2) * (n-m+4) * ... * (n+m-4) * (n+m-2) 】/(m!)。(注意逆元的运用)
  6. 上面出现绝对值的情况,3和4 当(n/2)%2 == 0 时符号为正,否则为负;5 当((n-m)/2)%2 == 0时,符号为正,否则符号为负。

依照这个规律分类讨论一下即可。

于是我们可以得到以下一般解析式

注意"!!"不是阶乘的阶乘,而是不超过n且与n具有相同奇偶性的所有正整数连乘积。

n分类讨论下,当n为偶数时m=2*k, n为奇数时m=2*k-1

还有注意下"!!"的约分,可能下面的比上面的大

于是我们就得到了以下代码:

 1 #include<bits/stdc++.h>
 2 using namespace std;
 3 typedef long long ll;
 4 const int maxn=1e5+5;
 5 const int mod=998244353;
 6 ll fac[maxn]={1};
 7 ll n,m;
 8 void init()
 9 {
10     for(int i=1;i<maxn;i++)
11         fac[i]=fac[i-1]*i%mod;
12 }
13 ll qmod(ll x,int q)
14 {
15     ll res=1;
16     while(q)
17     {
18         if(q%2)
19             res=res*x%mod;
20         x=x*x%mod;
21         q/=2;
22     }
23     return res;
24 }
25 int main(void)
26 {
27     init();
28     while(~scanf("%lld%lld",&n,&m))
29     {
30         if(m>n)
31             puts("0");
32         else if(n%2&&m%2==0)
33             puts("0");
34         else if(n%2==0&&m%2)
35             puts("0");
36         else
37         {
38             ll fz=n%mod;
39             if(m>=1)
40             {
41                 for(int i=n-m+1;i<=n+m-1;i++)
42                 {
43                     if(i%2==(n+m-2)%2)
44                     {
45                         fz=fz*i%mod;
46                     }
47                 }
48                 ll tmp=fz*qmod(fac[m],mod-2)%mod;
49                 if((n-m)/2%2)
50                     tmp=-tmp;
51                 printf("%lld\n",(tmp+mod)%mod);
52             }
53             else
54             {
55                 ll t=1;
56                 for(int i=n+m-1;i<=n-m;i++)
57                 {
58                     if(i%2==(n+m-2)%2)
59                         t=t*i%mod;
60                 }
61                 ll tmp=fz*qmod(fac[m],mod-2)%mod*qmod(t, mod-2)%mod;
62                 if((n-m)/2%2)
63                     tmp=-tmp;
64                 printf("%lld\n",(tmp+mod)%mod);
65             }
66         }
67     }
68 }