除法取模与逆元/费马小定理

330 阅读2分钟

**对于正整数,如果有,那么把这个同余方程中的最小正整数解叫做的逆元。
**

**逆元一般用扩展欧几里得算法来求得,如果为素数,那么还可以根据费马小定理得到逆元为。(都要求a和m互质)
**

 

推导过程如下(摘自Acdreamer博客)

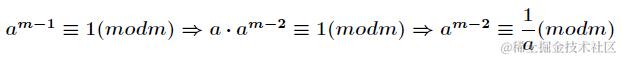
这个为费马小定理,m为素数是费马小定理的前置条件。

求a/b=x(mod M)

只要M是一个素数,而且b不是M的倍数,就可以用一个逆元整数b1,通过 a/b=a*b1 (mod M),只能来以乘换除。
费马小定理:对于素数 M 任意不是 M 的倍数的 b,都有: b ^ (M-1) = 1 (mod M)
于是可以拆成:b*b^(M-2)=1(mod M)
于是:a/b=a/b*(b * b ^ (M-2))=a*(b ^ (M-2)) (mod M)

求a/b=x(mod M)

用扩展欧几里德算法算出b1,然后计算a*b1(mod M)

exgcd(b,M,x,y);   b1=x;


 

当p是个质数的时候有
inv(a) = (p - p / a) * inv(p % a) % p

 

证明:

设x = p % a,y = p / a
于是有 x + y * a = p
(x + y * a) % p = 0
移项得 x % p = (-y) * a % p
x * inv(a) % p = (-y) % p
inv(a) = (p - y) * inv(x) % p
于是 inv(a) = (p - p / a) * inv(p % a) % p

然后一直递归到1为止,因为1的逆元就是1

 

 1 #include<cstdio>
 2 typedef long long LL;
 3 LL inv(LL t, LL p) 
 4 {//求t关于p的逆元,注意:t要小于p,最好传参前先把t%p一下 
 5     return t == 1 ? 1 : (p - p / t) * inv(p % t, p) % p;
 6 }
 7 int main()
 8 {
 9     LL a, p;
10     while(~scanf("%lld%lld", &a, &p))
11     {
12         printf("%lld\n", inv(a%p, p));
13     }
14 }

它可以在O(n)的复杂度内算出n个数的逆元

 1 #include<cstdio>
 2 const int N = 200000 + 5;
 3 const int MOD = (int)1e9 + 7;
 4 int inv[N];
 5 int init()
 6 {
 7     inv[1] = 1;
 8     for(int i = 2; i < N; i ++)
 9         inv[i] = (MOD - MOD / i) * 1ll * inv[MOD % i] % MOD;
10 }
11 int main()
12 {
13     init();
14 }