RMQ问题(线段树算法,ST算法优化)

158 阅读2分钟

RMQ (Range Minimum/Maximum Query)问题是指:

对于长度为n的数列A,回答若干询问RMQ(A,i,j)(i,j<=n),返回数列A中下标在[i,j]里的最小(大)值,也就是说,RMQ问题是指求区间最值的问题



主要方法及复杂度(处理复杂度和查询复杂度)如下:

1.朴素(即搜索) O(n)-O(n)

2.线段树(segment tree) O(n)-O(qlogn)

3.ST(实质是动态规划) O(nlogn)-O(1)



线段树方法:

线段树能在对数时间内在数组区间上进行更新与查询。

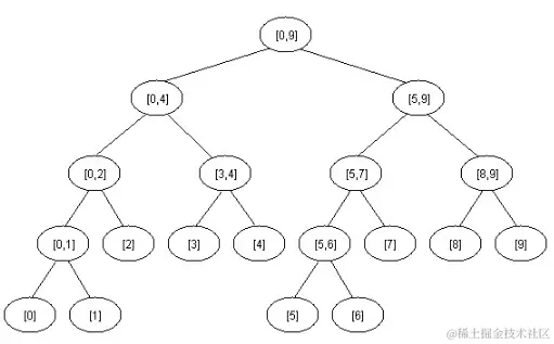
定义线段树在区间[i, j] 上如下:

第一个节点维护着区间 [i, j] 的信息。

if i<j , 那么左孩子维护着区间[i, (i+j)/2] 的信息,右孩子维护着区间[(i+j)/2+1, j] 的信息。

可知 N  个元素的线段树的高度 为 [logN] + 1(只有根节点的树高度为0) .

下面是区间 [0, 9]  的一个线段树:







线段树和堆有一样的结构, 因此如果一个节点编号为 x ,那么左孩子编号为2*x  右孩子编号为2*x+1.



使用线段树解决RMQ问题,关键维护一个数组M[num],num=2^(线段树高度+1).

M[i]:维护着被分配给该节点(编号:i 线段树根节点编号:1)的区间的最小值元素的下标。 该数组初始状态为-1.

 1 #include<iostream>
 2 
 3 using namespace std;
 4 
 5 #define MAXN 100
 6 #define MAXIND 256 //线段树节点个数
 7 
 8 //构建线段树,目的:得到M数组.
 9 void initialize(int node, int b, int e, int M[], int A[])
10 {
11     if (b == e)
12         M[node] = b; //只有一个元素,只有一个下标
13     else
14     {
15     //递归实现左孩子和右孩子
16         initialize(2 * node, b, (b + e) / 2, M, A);
17         initialize(2 * node + 1, (b + e) / 2 + 1, e, M, A);
18     //search for the minimum value in the first and
19     //second half of the interval
20     if (A[M[2 * node]] <= A[M[2 * node + 1]])
21         M[node] = M[2 * node];
22     else
23         M[node] = M[2 * node + 1];
24     }
25 }
26 
27 //找出区间 [i, j] 上的最小值的索引
28 int query(int node, int b, int e, int M[], int A[], int i, int j)
29 {
30     int p1, p2;
31 
32 
33     //查询区间和要求的区间没有交集
34     if (i > e || j < b)
35         return -1;
36 
37     //if the current interval is included in
38     //the query interval return M[node]
39     if (b >= i && e <= j)
40         return M[node];
41 
42     //compute the minimum position in the
43     //left and right part of the interval
44     p1 = query(2 * node, b, (b + e) / 2, M, A, i, j);
45     p2 = query(2 * node + 1, (b + e) / 2 + 1, e, M, A, i, j);
46 
47     //return the position where the overall
48     //minimum is
49     if (p1 == -1)
50         return M[node] = p2;
51     if (p2 == -1)
52         return M[node] = p1;
53     if (A[p1] <= A[p2])
54         return M[node] = p1;
55     return M[node] = p2;
56 
57 }
58 
59 
60 int main()
61 {
62     int M[MAXIND]; //下标1起才有意义,保存下标编号节点对应区间最小值的下标.
63     memset(M,-1,sizeof(M));
64     int a[]={3,1,5,7,2,9,0,3,4,5};
65     initialize(1, 0, sizeof(a)/sizeof(a[0])-1, M, a);
66     cout<<query(1, 0, sizeof(a)/sizeof(a[0])-1, M, a, 0, 5)<<endl;
67     return 0;
68 }

ST算法(Sparse Table):它是一种动态规划的方法。

以最小值为例。a为所寻找的数组.

用一个二维数组f(i,j)记录区间[i,i+2^j-1](持续2^j个)区间中的最小值。其中f[i,0] = a[i];

所以,对于任意的一组(i,j),f(i,j) = min{f(i,j-1),f(i+2^(j-1),j-1)}来使用动态规划计算出来。

这个算法的高明之处不是在于这个动态规划的建立,而是它的查询:它的查询效率是O(1).

假设我们要求区间[m,n]中a的最小值,找到一个数k使得2^k<n-m+1.

这样,可以把这个区间分成两个部分:[m,m+2^k-1]和[n-2^k+1,n].我们发现,这两个区间是已经初始化好的.

前面的区间是f(m,k),后面的区间是f(n-2^k+1,k).

这样,只要看这两个区间的最小值,就可以知道整个区间的最小值!

 1 #include<iostream>
 2 #include<cmath>
 3 #include<algorithm>
 4 using namespace std;
 5 
 6 #define M 100010
 7 #define MAXN 500
 8 #define MAXM 500
 9 int dp[M][18];
10 /*
11 *一维RMQ ST算法
12 *构造RMQ数组 makermq(int n,int b[]) O(nlog(n))的算法复杂度
13 *dp[i][j] 表示从i到i+2^j -1中最小的一个值(从i开始持续2^j个数)
14 *dp[i][j]=min{dp[i][j-1],dp[i+2^(j-1)][j-1]}
15 *查询RMQ rmq(int s,int v)
16 *将s-v 分成两个2^k的区间
17 *即 k=(int)log2(s-v+1)
18 *查询结果应该为 min(dp[s][k],dp[v-2^k+1][k])
19 */
20 
21 void makermq(int n,int b[])
22 {
23     int i,j;
24     for(i=0;i<n;i++)
25         dp[i][0]=b[i];
26     for(j=1;(1<<j)<=n;j++)
27         for(i=0;i+(1<<j)-1<n;i++)
28             dp[i][j]=min(dp[i][j-1],dp[i+(1<<(j-1))][j-1]);
29 }
30 int rmq(int s,int v)
31 {
32     int k=(int)(log((v-s+1)*1.0)/log(2.0));
33     return min(dp[s][k],dp[v-(1<<k)+1][k]);
34 }
35 
36 void makeRmqIndex(int n,int b[]) //返回最小值对应的下标
37 {
38     int i,j;
39     for(i=0;i<n;i++)
40         dp[i][0]=i;
41     for(j=1;(1<<j)<=n;j++)
42         for(i=0;i+(1<<j)-1<n;i++)
43             dp[i][j]=b[dp[i][j-1]] < b[dp[i+(1<<(j-1))][j-1]]? dp[i][j-1]:dp[i+(1<<(j-1))][j-1];
44 }
45 int rmqIndex(int s,int v,int b[])
46 {
47     int k=(int)(log((v-s+1)*1.0)/log(2.0));
48     return b[dp[s][k]]<b[dp[v-(1<<k)+1][k]]? dp[s][k]:dp[v-(1<<k)+1][k];
49 }
50 
51 int main()
52 {
53     int a[]={3,4,5,7,8,9,0,3,4,5};
54     //返回下标
55     makeRmqIndex(sizeof(a)/sizeof(a[0]),a);
56     cout<<rmqIndex(0,9,a)<<endl;
57     cout<<rmqIndex(4,9,a)<<endl;
58     //返回最小值
59     makermq(sizeof(a)/sizeof(a[0]),a);
60     cout<<rmq(0,9)<<endl;
61     cout<<rmq(4,9)<<endl;
62     return 0;
63 }