Lucas定理学习(进阶中)

211 阅读2分钟

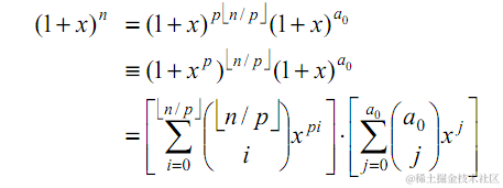
(1)Lucas定理:p为素数,则有:

(2)证明: n=(ak...a2,a1,a0)p = (ak...a2,a1)p*p + a0 =  [n/p]*p+a0,m=[m/p]*p+b0其次,我们知道,对任意质数p有(1+x)^p=1+(x^p)(mod p) 。我们只要证明这个式子:C(n,m)=C([n/p],[m/p]) * C(a0,b0)(mod p),那么就可以用归纳法证明整个定理。对于模p而言,我们有下面的式子成立:

上式左右两边的x的某项x^m(m<=n)的系数对模p同余。其中左边的x^m的系数是 C(n,m)。 而由于a0和b0都小于p,因此右边的x^m 一定是由 x^([m/p]*p) 和 x^b0 (即i=[m/p] , j=b0 ) 相乘而得 因此有:C(n,m)=C([n/p],[m/p]) * C(a0,b0)  (mod p)。

(3)拓展应用:上面的p是素数,那么不是素数怎么办呢?若不是素数,将p分解质因数,将C(n,m)分别按照(1)中的方法求对p的质因数的模,然后用中国剩余定理合并。比如计算C(10,3)%14。C(10,3)=120,14有两个质因数2和7,120%2=0,120%7=1,这样用(2,0)(7,1)找到最小的正整数8即是答案,即C(10,3)%14=8。注意,这里只适用于p分解完质因数后每个质因数只出现一次,例如12=2*2*3就不行,因为2出现了两次。若p分解完质因数后,含有某个质因数出现多次,比如C(10,3)%98,其中98=2*7*7,此时就要把7*7看做一个数,即:120%2=0,120%49=22,用(2,0)(49,22)和中国剩余定理得到答案22,即C(10,3)%98=22。此时,你又会有疑问,C(10,3)%49不也是模一个非素数吗?此时不同的是这个非素数不是一般的非素数,而是某个素数的某次方。下面(4)介绍如何计算C(n,m)%p^t(t>=2,p为素数)。

(4)计算C(n,m)%p^t。我们知道,C(n,m)=n!/m!/(n-m)!,若我们可以计算出n!%p^t,我们就能计算出m!%p^t以及(n-m)!%p^t。我们不妨设x=n!%p^t,y=m!%p^t,z=(n-m)!%p^t,那么答案就是x*reverse(y,p^t)*reverse(z,p^t)(reverse(a,b)计算a对b的乘法逆元)。那么下面问题就转化成如何计算n!%p^t。比如p=3,t=2,n=19,

n!=1*2*3*4*5*6*7*8* ……*19

   =[1*2*4*5*7*8*… *16*17*19]*(3*6*9*12*15*18)

   =[1*2*4*5*7*8*… *16*17*19]*3^6(1*2*3*4*5*6)

然后发现后面的是(n/p)!,于是递归即可。前半部分是以p^t为周期的[1*2*4*5*7*8]=[10*11*13*14*16*17](mod 9)。下面是孤立的19,可以知道孤立出来的长度不超过 p^t,于是暴力即可。那么最后剩下的3^6啊这些数怎么办呢?我们只要计算出n!,m!,(n-m)!里含有多少个p(不妨设a,b,c),那么a-b-c就是C(n,m)中p的个数,直接算一下就行。

至此整个计算C(n,m)%p(p为任意数)的问题完美解决。下面给出代码:

 

i64 POW(i64 a,i64 b,i64 mod)
{
    i64 ans=1;
    while(b)

    {
        if(b&1) ans=ans*a%mod;
        a=a*a%mod;
        b>>=1;
    }
    return ans;
}

i64 POW(i64 a,i64 b)
{
    i64 ans=1;
    while(b)
    {
        if(b&1) ans=ans*a;
        a=a*a;
        b>>=1;
    }
    return ans;
}


i64 exGcd(i64 a,i64 b,i64 &x,i64 &y)
{
    i64 t,d;
    if(!b)
    {
        x=1;
        y=0;
        return a;
    }
    d=exGcd(b,a%b,x,y);
    t=x;
    x=y;
    y=t-a/b*y;
    return d;
}

bool modular(i64 a[],i64 m[],i64 k)
{
    i64 d,t,c,x,y,i;

    for(i=2;i<=k;i++)
    {
        d=exGcd(m[1],m[i],x,y);
        c=a[i]-a[1];
        if(c%d) return false;
        t=m[i]/d;
        x=(c/d*x%t+t)%t;
        a[1]=m[1]*x+a[1];
        m[1]=m[1]*m[i]/d;
    }
    return true;
}



i64 reverse(i64 a,i64 b)
{
    i64 x,y;
    exGcd(a,b,x,y);
    return (x%b+b)%b;
}

i64 C(i64 n,i64 m,i64 mod)
{
    if(m>n) return 0;
    i64 ans=1,i,a,b;
    for(i=1;i<=m;i++)
    {
        a=(n+1-i)%mod;
        b=reverse(i%mod,mod);
        ans=ans*a%mod*b%mod;
    }
    return ans;
}

i64 C1(i64 n,i64 m,i64 mod)
{
    if(m==0) return 1;
    return C(n%mod,m%mod,mod)*C1(n/mod,m/mod,mod)%mod;
}

i64 cal(i64 n,i64 p,i64 t)
{
    if(!n) return 1;
    i64 x=POW(p,t),i,y=n/x,temp=1;
    for(i=1;i<=x;i++) if(i%p) temp=temp*i%x;
    i64 ans=POW(temp,y,x);
    for(i=y*x+1;i<=n;i++) if(i%p) ans=ans*i%x;
    return ans*cal(n/p,p,t)%x;
}

i64 C2(i64 n,i64 m,i64 p,i64 t)
{
    i64 x=POW(p,t);
    i64 a,b,c,ap=0,bp=0,cp=0,temp;
    for(temp=n;temp;temp/=p) ap+=temp/p;
    for(temp=m;temp;temp/=p) bp+=temp/p;
    for(temp=n-m;temp;temp/=p) cp+=temp/p;
    ap=ap-bp-cp;
    i64 ans=POW(p,ap,x);
    a=cal(n,p,t);
    b=cal(m,p,t);
    c=cal(n-m,p,t);
    ans=ans*a%x*reverse(b,x)%x*reverse(c,x)%x;
    return ans;
}

//计算C(n,m)%mod
i64 Lucas(i64 n,i64 m,i64 mod)
{
    i64 i,t,cnt=0;
    i64 A[205],M[205];
    for(i=2;i*i<=mod;i++) if(mod%i==0)
    {
        t=0;
        while(mod%i==0)
        {
            t++;
            mod/=i;
        }
        M[++cnt]=POW(i,t);
        if(t==1) A[cnt]=C1(n,m,i);
        else A[cnt]=C2(n,m,i,t);
    }
    if(mod>1)
    {
        M[++cnt]=mod;
        A[cnt]=C1(n,m,mod);
    }
    modular(A,M,cnt);
    return A[1];
}
//代码仅供参考,正确性不得而知,知道思路即可!