牛顿迭代法(Newton's Method)

237 阅读4分钟

牛顿迭代法(Newton's Method)                   

简介

牛顿迭代法(简称牛顿法)由英国著名的数学家牛顿爵士最早提出。但是,这一方法在牛顿生前并未公开发表。

 

 

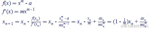
牛顿法的作用是使用迭代的方法来求解函数方程的根。简单地说,牛顿法就是不断求取切线的过程。

对于形如f(x)=0的方程,首先任意估算一个解x0,再把该估计值代入原方程中。由于一般不会正好选择到正确的解,所以有f(x)=a。这时计算函数在x0处的斜率,和这条斜率与x轴的交点x1。

f(x)=0中精确解的意义是,当取得解的时候,函数值为零(即f(x)的精确解是函数的零点)。因此,x1比x0更加接近精确的解。只要不断以此方法更新x,就可以取得无限接近的精确的解。

但是,有可能会遇到牛顿迭代法无法收敛的情况。比如函数有多个零点,或者函数不连续的时候。

 

牛顿法举例

 

下面介绍使用牛顿迭代法求方根的例子。牛顿迭代法是已知的实现求方根最快的方法之一,只需要迭代几次后就能得到相当精确的结果。

首先设x的m次方根为a。

 

下面程序使用牛顿法求解平方根。

 1 const float EPS = 0.00001; 
 2 int sqrt(double x) { 
 3     if(x == 0) return 0; 
 4     double result = x; /*Use double to avoid possible overflow*/ 
 5     double lastValue; 
 6     do{ 
 7         lastValue = result; 
 8         result = result / 2.0f + x / 2.0f / result; 
 9     }while(abs(result - lastValue) > EPS);
10  return (double)result;
11  }

 

更快的方法

 

文献2提到了比上述程序更快的求解平方根的非典型牛顿迭代法。介绍如下。

1999年12月,美国id Software公司发布了名为“雷神之锤III”的电子游戏。它是第一个支持软件加速的游戏,取得了极大成功。(由于影响力过大,文化部于2004年将它列入了非法游戏名单)

 

 

雷神之锤III并不是id Software公司的第一次成功。早在1993年开始,这家公司就以“毁灭战士”系列游戏名闻天下。1995年,“毁灭战士”的安装数超过了当年微软的windows 95。据传比尔盖茨才曾经考虑买下id software。(id software公司后来被推出过“上古卷轴”系列的Bethesda公司买下)

id Software所取得的成功很大程度上要归功于它的创始人约翰·卡马克。马克尔也是一个著名的程序员,他是id Software游戏引擎的主要负责人。 回到刚才提到的雷神之锤,马克尔是开源软件的积极推动者,他于2005年公布了雷神之锤III的源代码。至此人们得以通过研究这款游戏引擎的源文件来查看它成功的秘密。

在其中一个名字为q_math.c的文件中发现了如下代码段。

 

 1 float Q_rsqrt( float number ) { 
 2     long i; float x2, y; const float threehalfs = 1.5F;
 3     x2 = number * 0.5F; 
 4     y = number; 
 5     i = * ( long * ) &y; // evil floating point bit level hacking 
 6     i = 0x5f3759df - ( i >> 1 ); // what the fuck? 
 7     y = * ( float * ) &i; 
 8     y = y * ( threehalfs - ( x2 * y * y ) ); // 1st iteration 
 9     // y = y * ( threehalfs - ( x2 * y * y ) ); // 2nd iteration, this can be removed
10     #ifndef Q3_VM #
11     ifdef __linux__ assert( !isnan(y) ); // bk010122 - FPE?
12     #endif
13     #endif return y; 
14 }

这段代码的作用就是求number的平方根,并且返回它的倒数。



经过测试,它的效率比上述牛顿法程序要快几十倍。也比c++标准库的sqrt()函数要快好几倍。此段代码有一个奇怪的句子:



i = 0x5f3759df - ( i >> 1 ); // what the fuck? 



这句话的注释是“what the fuck?”,翻译过来就是“我靠?”



任何受过程序训练的人看到这句大概都会在想,这句话到底在搞什么鸟?



之所以会出现这种奇怪的注释,要么是此段程序的作者(可能是马克尔)根本不知道该如何解释清楚,或者是维护这段程序的程序员完全看不懂这句话,所以有点儿抓毛。而实际上,它的作用(再加上y
= y * ( threehalfs - ( x2 * y * y ) )这句牛顿迭代)就是求平方根。



至于是为什么,本博主也不知道。



以雷神之锤III程序为蓝本可以写出比sqrt()更强大的求平方根函数:

 1 int sqrt(float x) { 
 2     if(x == 0) return 0; 
 3     float result = x; 
 4     float xhalf = 0.5f*result; 
 5     int i = *(int*)&result; 
 6     i = 0x5f375a86- (i>>1); // what the fuck? 
 7     result = *(float*)&i; 
 8     result = result*(1.5f-xhalf*result*result); // Newton step, repeating increases accuracy 
 9     result = result*(1.5f-xhalf*result*result); 
10     return 1.0f/result; 
11 }

参考文献:

1.wikipedia.org

2.www.2cto.com/kf/201206/1…