吴恩达机器学习-9-降维PCA

1,400 阅读6分钟

出品:尤而小屋
作者:Peter
编辑:Peter

吴恩达机器学习-9-降维PCA

在本文中主要介绍的是数据降维相关的内容,重点讲解了PCA算法

  • 为何实施降维
    • 数据压缩
    • 数据可视化
  • PCA算法
    • PCA和线性回归算法的区别
    • PCA算法特点
    • Python实现PCA
  • sklearn中实现PCA

为何降维

在现实高维数据情况下,会有数据样本稀疏、距离计算困难等问题,被称为维数灾难

解决的方法就是降维,也称之为“维数约简”,即通过某种数据方法将原始高维属性空间转成一个低维“子空间”。在这个子空间中,样本密度大大提高,将高维空间中的一个低维“嵌入”。

降维Dimensionality Reduction

数据降维主要是有两个动机:

  • 数据压缩Data Compression
  • 数据可视化Data Visualization

数据压缩Data Compression

上图解释:

  1. 在一个三维空间中的特征向量降至二维的特征向量。
  2. 将三维投影到一个二维的平面上,迫使所有的数据都在同一个平面上。
  3. 这样的处理过程可以被用于把任何维度的数据降到任何想要的维度,例如将1000维的特征降至100维。

数据可视化Data Visualization

降维能够帮助我们进行数据的可视化工作。

上面图的解释:

  1. 假设给定数据,具有多个不同的属性
  2. 某些属性表示的含义可能相同,在图形中可以放到同一个轴上,进行数据的降维

PCA- Principal Component Analysis

PCA中,要做的是找到一个方向向量(Vector direction),当把所有的数据都投射到该向量上时,PCA的关键点就是找到一个投影平面使得投影误差最小化

方向向量是一个经过原点的向量,而投射误差是从特征向量向该方向向量作垂线的长度。

PCA与线性回归的区别

  1. 线性回归中的纵轴是预测值,PCA中是特征属性
  2. 误差不同:PCA是投射误差,线性回归是尝试最小化预测误差。
  3. 线性回归的目的是预测结果,`PCA·是不做任何分析。

PCA算法

主成分分析中,首先对给定数据进行规范化,使得数据每一变量的平均值为0,方差为1。

之后对数据进行正交变换,用来由线性相关表示的数据,通过正交变换变成若干个线性无关的新变量表示的数据。

新变量是可能的正交变换中变量的方差和(信息保存)最大的,方差表示在新变量上信息的大小。将新变量一次成为第一主成分,第二主成分等。通过主成分分析,可以利用主成分近似地表示原始数据,便是对数据降维。

PCA算法中从n维到k维的过程是

  • 均值归一化。计算所有特征的均值,令xj=xjμjx_j=x_j-\mu_j,如果特征不在一个数量级上,需要除以标准差

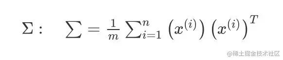
  • 计算协方差矩阵 covariance matrix

Σ:=1mi=1n(x(i))(x(i))T\Sigma: \quad \sum=\frac{1}{m} \sum_{i=1}^{n}\left(x^{(i)}\right)\left(x^{(i)}\right)^{T}

  • 计算协方差矩阵\sum特征向量 eigenvectors

在西瓜书中的描述为

主成分个数确定

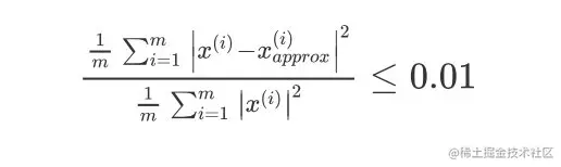
关于PCA算法中主成分个数k的确定,一般是根据公式:

1mi=1mx(i)xapprox(i)21mi=1mx(i)20.01\frac{\frac{1}{m} \sum_{i=1}^{m}\left|x^{(i)}-x_{a p p r o x}^{(i)}\right|^{2}}{\frac{1}{m} \sum_{i=1}^{m}\left|x^{(i)}\right|^{2}} \leq 0.01

不等式右边的0.01可以是0.05,或者0.1等,都是比较常见的。当为0.01的时候,表示保留了99%的方差数据,即大部分的数据特征被保留了。

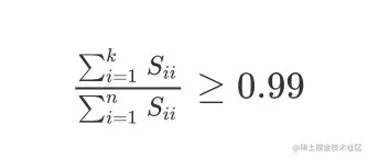
当给定了个数k,协方差矩阵S中求解出来的各个特征值满足公式:

1i=1kSiii=1nSii0.011- \frac{\sum^k_{i=1}S_{ii}}{\sum^n_{i=1}S_{ii}} \leq0.01

也就是满足:

i=1kSiii=1nSii0.99\frac{\sum^k_{i=1}S_{ii}}{\sum^n_{i=1}S_{ii}} \geq 0.99

这个和上面的公式是等价的。

重建的压缩表示

重建的压缩表示Reconstruction from Compressed Representation指的是将数据从低维还原到高维的过程。

上图中有两个样本s(1),x(2)s^{(1)},x^{(2)}。通过给定的实数zz,满足z=UreduceTxz={U_{r e d u c e}^{T}} x

将指定的点位置映射到一个三维曲面,反解前面的方程:

xappox=Ureducez,xappoxxx_{\text {appox}}=U_{\text {reduce}} \cdot z, x_{\text {appox}} \approx x

PCA特点

  1. PCA本质上是将方差最大的方向作为主要特征,让这些特征在不同正交方向上没有相关性。
  2. PCA是一种无参数技术,不需要进行任何参数的调节

Python实现PCA

利用numpy、pandas、matplotlib库实现PCA算法

import numpy as np
import matplotlib.pyplot as plt
import pandas as pd

def loadData(filename):
  # 文件加载函数
  df = pd.read_table(filename, seq='\t')
  return np.array(df)  # 一定要返回array数组

def showData(dataMat, reconMat):
  # 图片显示函数
  fig = plt.figure()  # 画布
  ax = fig.add_subplot(111)  # 子图显示
  ax.scatter(dataMat[:, 0], dataMat[:, 1], c='green')  # 散点图
  ax.scatter(np.array(reconMat[:, 0]), reconMat[:, 1], c='red')
  plt.show()

def pca(dataMat, topNfeat):   # topNfeat就是需要筛选的前K个主成分
  # 1. 样本中心化过程:所有样本属性减去属性的平均值
  meanVals = np.mena(dataMat, axis=0)   # 平均值
  meanRemoved = dataMat - meanVals  # 中心化之后的数据

  # 2.计算样本的协方差矩阵 XXT
  covmat = np.cov(meanRemoved, rowvar=0)
  print(covmat)

  # 3. 对协方差矩阵做特征值分解,求出特征向量和特征值,并且将特征值从大到小排序,筛选出topNfeat个
  # np.mat 实际上就是创建矩阵
  # np.linalg.eig 求解矩阵特征向量和特征值
  eigVals, eigVects = np.linalg.eig(np.mat(covmat))
  eigValInd = np.argsort(eigVals)  # 将特征值进行排序,argsort返回的是索引
  eigValInd = eigValInd[:-(topNfeat + 1):-1]   # 比如前7个,[:-8:-1]
  redEigVects = eigVects[:, eigValInd]   # 取前topNfeat大的特征值所对应的特征向量

  # 将数据转换到低维空间中
  lowDataMat = meanRemoved * redEigVects   # 只有topNfeat维,降维之后的数据
  reconMat = (lowDataMat * redEigVects.T) + meanVals   # 重构数据
  return np.array(lowDataMat), np.array(reconMat)

# 主函数部分
if __name__ == "__main__":
  dataMat = loadDataSet(filepath)   # 填写文件路径
  loadDataMat, reconMat = pca(dataMat, 1)
  # showData(dataMat, lowDataMat)
  showData(dataMat, reconMat)
  print(lowDataMat)

sklearn中实现PCA

Linear dimensionality reduction using Singular Value Decomposition of the data to project it to a lower dimensional space. The input data is centered but not scaled for each feature before applying the SVD.

用sklearn学习PCA

实现模块

scikit-learn中,与PCA相关的类都在sklearn.decomposition包中。最常用的PCA类就是sklearn.decomposition.PCA

白化:对降维后的数据的每个特征进行归一化,让方差都为1

class sklearn.decomposition.PCA(n_components=None, # 降维后的特征数目,直接指定一个整数
                                copy=True,
                                whiten=False, # 判断是否进行白化,默认是不白化
                                svd_solver='auto', # 指定奇异值分解SVD的方法
                                tol=0.0,
                                iterated_power='auto',
                                random_state=None)

demo

在这里讲解一个例子,利用PCA算法来进行IRIS数据的分类

import numpy as np
import matplotlib.pyplot as plt
from mpl_toolkits.mplot3d import Axes3D  # 3D模块
from sklearn import decomposition  # 压缩模块
from sklearn import datasets

np.random.seed(5)

centers = [[1,1], [-1,-1], [1,-1]]
iris = datasets.load_iris()  # 导入数据

X = iris.data  # 样本空间
y = iris.target  # 输出

fig = plt.figure(1, figsize=(4,3))
plt.clf()
ax = Axes3D(fig, rect=[0,0,.95,1], elev=48, azim=134)

plt.cla()
pca = decomposition.PCA(n_components=3)
pca.fit(X)
X = pca.transform(X)

for name, label in [('Setosa', 0), ('Versicolour', 1), ('Virginica', 2)]:
  ax.text3D(X[y == label, 0].mean(),
           X[y == label, 1].mean() + 1.5,
           X[y == label, 2].mean(), name,
           horizontalalignment = 'center',
           bbox = dict(alpha=.5, edgecolor='w', facecolor='w'))

y = np.choose(y, [1,2,0]).astype(np.float)
ax.scatter(X[:, 0], X[:, 1], X[:, 2], c=y, cmap=plt.cm.nipy_spectral, edgecolor='k')

ax.w_xaxis.set_ticklabels([])
ax.w_yaxis.set_ticklabels([])
ax.w_zaxis.set_ticklabels([])

plt.show()