声明:图片及内容基于www.bilibili.com/video/BV1zc…
树和二叉树之间的对应关系
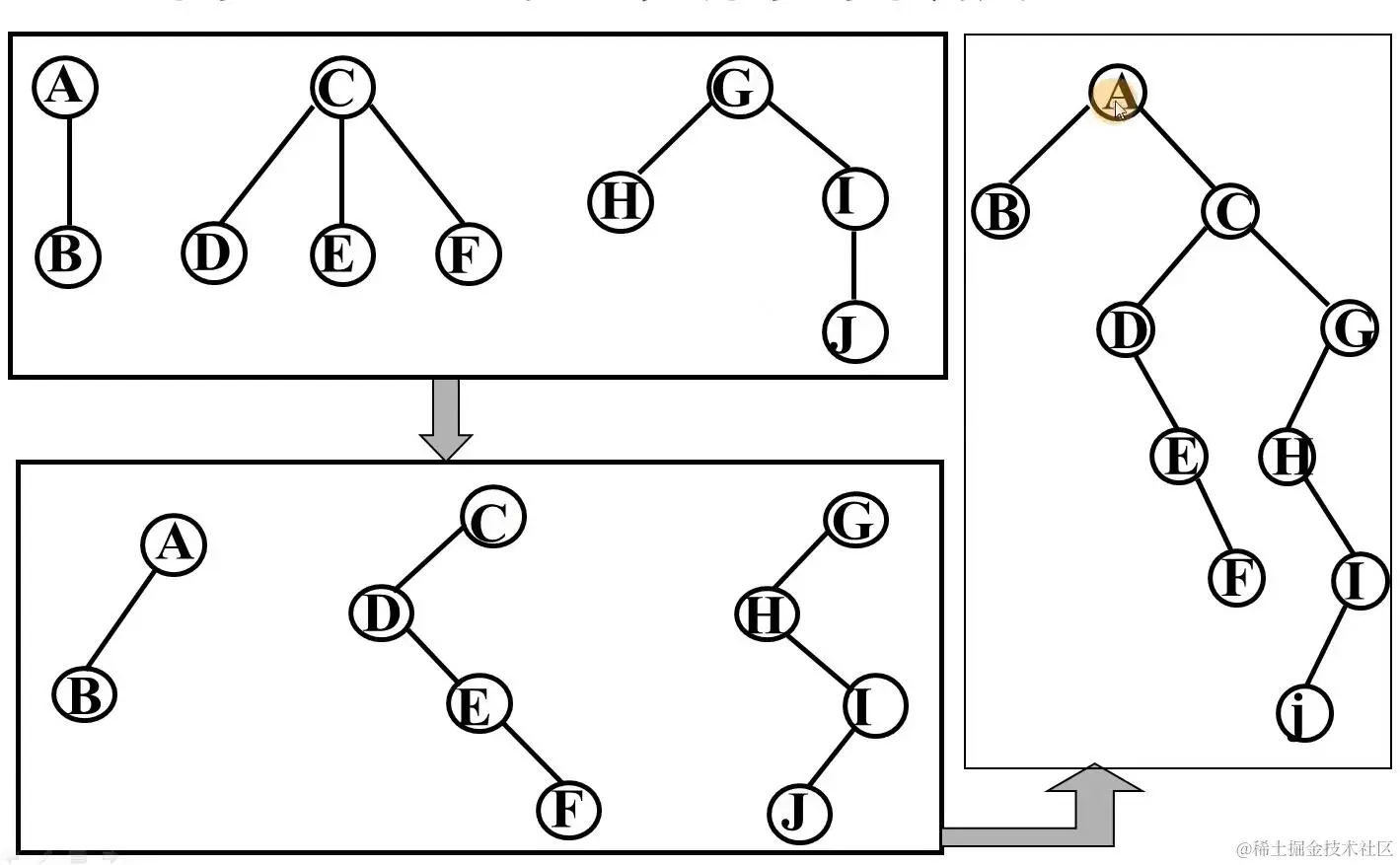
树转化成二叉树
具体步骤
1.兄弟加线
2.保留双亲与第一个孩子连线,删除与其他孩子的连线
3.顺时针转动使其层次分明(原有的线保持其原有孩子关系,加的线全部变为右孩子)
声明:图片及内容基于www.bilibili.com/video/BV1zc…
1.兄弟加线
2.保留双亲与第一个孩子连线,删除与其他孩子的连线
3.顺时针转动使其层次分明(原有的线保持其原有孩子关系,加的线全部变为右孩子)