吴恩达机器学习-3-逻辑回归与正则化问题
第三周主要讲解的内容包含:
- 逻辑回归
- 代价函数
- 线性回归和逻辑回归的比较
- 正则化问题
逻辑回归
分类问题
假设预测的变量y是离散的值,需要使用逻辑回归Logistic Regression,LR的算法,实际上它是一种分类算法
二元分类问题
将因变量dependent variable可能属于的两个类分别称为负向类negative class和正向类positive class,因变量y的取值只能在0和1之间,其中0表示负类,1表示正类

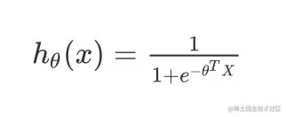
假说表示Hypothesis Representation
分类器的输出值在0和1之间,因此,希望找出一个满足某个性质的假设函数,这个性质是它的预测值要在0和1之间


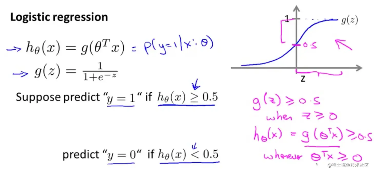
引入一个新的模型:逻辑回归,该模型的输出变量范围始终在0和1之间。 逻辑回归模型的假设是: h(θ)=g(θTX) 其中X代表的是特征向量g的逻辑函数,常用的S型函数(上图的右边,sigmoid function)公式为 g(z)=1+e−z1 Python代码实现sigmod激活函数:
import numpy as np
def sigmod(z):
return 1 / (1 + np.exp(-z))

hθ(x)=g(z)=1+e−θTX1
hθ(x)作用是对于给定的输入变量,根据选择的参数计算输出变量=1的可能性,即:hθ(x)=P(y=1∣x;θ)
例如:对于给定的x,通过已经确定的参数计算得出hθ(x)=0.7,则表示有70%的几率y属于正类
决策边界decision boundary
解释逻辑回归
- 在逻辑回归中h≥0.5预测y=1;反之y=0
- 在激活函数g(z)中:
当z≥0则g(z)≥0.5
当z<0则g(z)<0.5
又因为z=θTx,那么当θTx≥0的时候,则有y=1;反之y=0
又因为 z=θTx ,即: θTx>=0 时,预测 y=1 ;反之:θTx<0 时,预测 y=0
实例demo
在下图的中实例中,参数θ满足[-3,1,1],当−3+x1+x2≥0,即x1+x2≥3时,模型预测y=1;说明此时:直线x1+x2=3就是决策边界

复杂的模型边界问题

代价函数Cost Function
如何拟合LR模型的参数θ

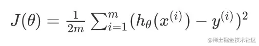
1. 线性模型中代价函数是模型误差的平方和 :

J(θ)=2m1∑i=1m(hθ(x(i))−y(i))2
如果直接使用线性模型中的代价函数,即误差平方和,得到的代价函数是个**"非凸函数"**,但是实际上我们期望看的是凸函数(右边)

-
重新定义逻辑回归的代价函数

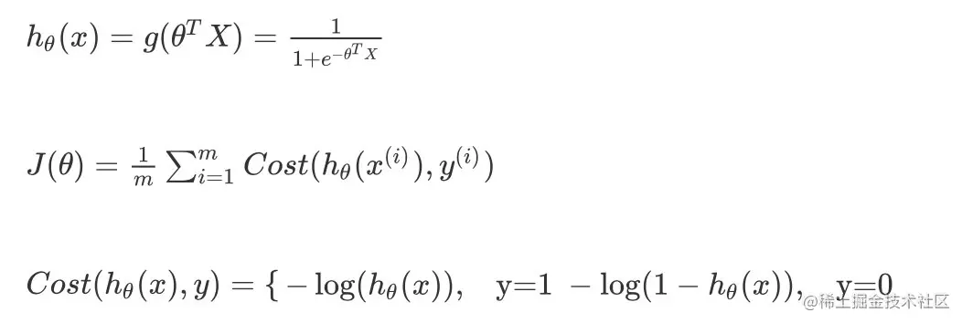
hθ(x)=g(θTX)=1+e−θTX1
J(θ)=m1∑i=1mCost(hθ(x(i)),y(i))
Cost(hθ(x),y)={−log(hθ(x)),y=1 −log(1−hθ(x)),y=0
将上面的两个式子进行合并:

Cost(hθ(x),y)=−ylog(hθ(x))−(1−y)log(1−hθ(x))

- hθ(x)和Cost(hθ(x),y)之间的关系
根据y的不同取值来进行分别判断,同时需要注意的是:假设函数h的取值只在[0,1]之间

y=1的情形

y=0的情形

Python代码实现代价函数
利用Python实现下面的代价函数
first 表示的是右边第一项
second 表示的是右边第二项
Cost(hθ(x),y)=−ylog(hθ(x))−(1−y)log(1−hθ(x))
import numpy as np
def cost(theta, X, y):
theta=np.matrix(theta)
X = np.matrix(X)
y = np.matrxi(y)
first = np.multiply(-y, np.log(sigmod(X * theta.T)))
second = np.multiply((1 - y), np.log(1-sigmod(X * theta.T)))
return np.sum(first - second) / (len(X))
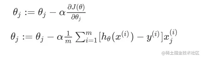
利用梯度下降来求解LR最小参数
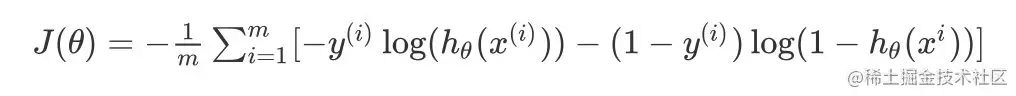
1、LR中的代价函数是

J(θ)=−m1∑i=1m[−y(i)log(hθ(x(i)))−(1−y(i))log(1−hθ(xi))]
2、最终结果

∂θj∂J(θ)=m1∑i=1m[hθ(x(i))−y(i)]xj(i)
3、具体过程

不断地迭代更新θj:

θj:=θj−α∂θj∂J(θ)
θj:=θj−αm1∑i=1m[hθ(x(i))−y(i)]xj(i)
如果存在n个特征,也就是θ=[θ0,θ1,…,θn]T。那么就需要根据上面的式子从0 n来更新所有的θ
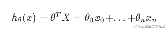
线性回归 VS 逻辑回归
- 假设的定义规则发生变化
线性回归:

hθ(x)=θTX=θ0x0+...+θnxn
逻辑回归:

hθ(x)=1+e−θTX1
因此,即使更新参数的规则看起来基本相同,但由于假设的定义发生了变化,所以逻辑函数的梯度下降,跟线性回归的梯度下降实际上是两个完全不同的东西。
其他求解代价函数最小的算法
- 共轭梯度
conjugate gradient
- 局部优化法
Broyden fletcher goldfarb shann,BFGS
- 有限内存局部优化法
LBFGS
多类别分类one-vs-all
我们举一个实际中的例子来说明:
假如现在需要一个学习算法能自动地将邮件归类到不同的文件夹里,或者说可以自动地加上标签,那么需要一些不同的文件夹,或者不同的标签来完成这件事,来区分开来自工作、朋友、家人或者有关兴趣爱好的邮件,那么,就有了这样一个分类问题:其类别有4个,分别用y=1,2,3,4 来代表。
](
正则化问题Regularization
正则化基础
正则化技术主要是为了解决过拟合的问题。过拟合指的是:对样本数据具有很好的判断能力,但是对新的数据预测能力很差。

- 第一个模型是一个线性模型,欠拟合,不能很好地适应我们的训练集
- 第三个模型是一个四次方的模型,过于强调拟合原始数据,而丢失了算法的本质:预测新数据
- 中间的模型似乎最合适
如果是多项式拟合,x的次数越高,拟合的效果越好,但是相应的预测能力就可能变差。对于过拟合的处理:
- 丢弃一些不能正确预测的特征。可以是手工选择保留哪些特征,或者使用一些模型选择的算法,例如PCA
- 正则化。 保留所有的特征,但是减少参数的大小
magnitude*

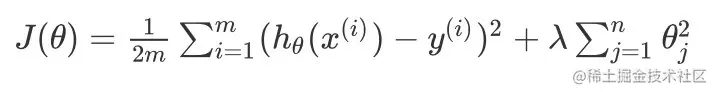
加入正则化参数
在模型hθ(x)=θ0+θ1x1+θ2x2+θ3x3+θ4x4中,主要是高次项产生的过拟合问题:

加入正则化参数后能够防止过拟合问题,其中λ是正则化参数Regularization Parameter
那么,相应的代价函数变成为:

J(θ)=2m1∑i=1m(hθ(x(i))−y(i))2+λ∑j=1nθj2
Attention:
- 一般地,不对θ0进行惩罚;加上正则化参数实际上是对参数θ进行惩罚。经过正则化处理后的模型和原模型的对比:

- 如果λ过大,所有的参数最小化,模型变成了hθ(x)=θ0,造成了过拟合
正则化线性回归Regularized Linear Regression
正则化线性回归的代价函数:

J(θ)=2m1∑i=1m[(hθ(x(i))−y(i))2+λ∑j=1nθj2]
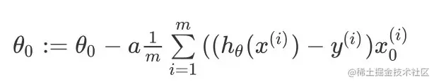
Attention:在线性回归中,不对θ0进行正则化:

θ0:=θ0−am1i=1∑m((hθ(x(i))−y(i))x0(i)
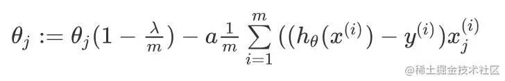
当j=1,2,…,n时:

θj:=θj−a[m1i=1∑m((hθ(x(i))−y(i))xj(i)+mλθj];j=1,2,...,n
调整下变成:

θj:=θj(1−mλ)−am1i=1∑m((hθ(x(i))−y(i))xj(i)
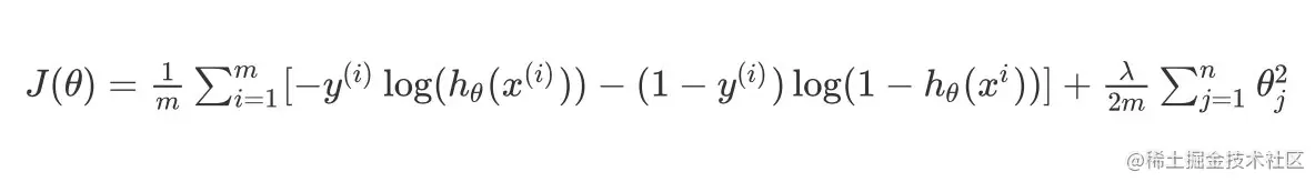
正则化逻辑回归Regularized Logistic Regression
LR问题两种优化方法:
加上正则惩罚项后的代价函数为:

J(θ)=m1∑i=1m[−y(i)log(hθ(x(i)))−(1−y(i))log(1−hθ(xi))]+2mλ∑j=1nθj2
python代码实现
import numpy as np
def costReg(theta, X, y, lr):
theta= np.matrix(theta)
X = np.matrix(X)
y = np.matrix(y)
first = np.multiply(-y, np.log(sigmoid(X * theta.T)))
second = np.multiply((1 - y), np.log(1 - sigmoid(X * theta.T)))
reg = (lr / (2 * len(X)) * np.sum(np.power(theta[:, 1:theta.shape[1]], 2))
return np.sum(first - second) / len((X)) + reg
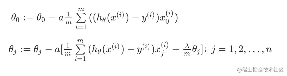
通过求导,得到梯度下降算法,本质上就是对θ的不断更新:

θ0:=θ0−am1i=1∑m((hθ(x(i))−y(i))x0(i))
θj:=θj−a[m1i=1∑m(hθ(x(i))−y(i))xj(i)+mλθj];j=1,2,...,n