《算法图解》读书笔记四

298 阅读1分钟

K最近邻算法

一、K最近邻分类

判断水果是橙子还是柚子呢?根据水果的特征:大小和颜色将水果进行分类。 image.png

二、K最近邻特征抽取

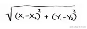
上面例子中,大小和颜色是比较特征,并可将特征作为坐标轴进行定位,接着计算距离来度量相似度。而计算距离可使用毕达哥拉斯公式计算即可。image.png

特征不一定只有两个,也存在多维的特征,距离仍然按照毕达哥拉斯公式计算即可。选择最近的数时,也并非是3个,可选择2个、10个或10 000个。这就是这种算法名为K最近邻而不是3最近邻的原因!

三、K最近邻特征回归(预测数值)

通过最近K个数值,求平均值得到回归。

机器学习

OCR:通过图片识别数字,可使用KNN。

  1. 浏览大量的数字图像,将这些数字的特征提取出来。 ————训练(training)
  2. 遇到新图像时,你提取该图像的特征,再找出它最近的邻居都是谁。

朴素贝叶斯分类器

计算出分类为X类的概率。