logistic回归

347 阅读2分钟

欢迎点击「算法与编程之美」↑关注我们!

本文首发于微信公众号:"算法与编程之美",欢迎关注,及时了解更多此系列文章。

在上一周的视频中我们学习了logistic回归这一节,这让我对它有了一些自己的理解,现在就让我和大家交流一下我的看法。

一.什么是logistic回归?

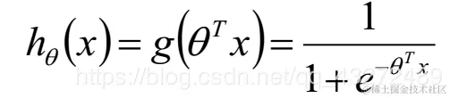
logistic回归又叫做logistic回归分析,它是机器学习中非常重要的一部分。在上一周的时候我们谈过多元线性回归,它的公式就是:y_=θ0+θ1x1+θ2x2+…+θn*xn。

而logistic回归的本质其实就是换了一种方式来对参数进行表示,logistic回归的公式为:

640?wx_fmt=png

二.logistic回归与多元线性回归的区别

logistic回归与多元线性回归最大的一个区别就是:多元线性回归它的结果值是连续的,所以它是用于做回归的。而logistic回归虽然也叫做回归,但是它是用于结果值不连续的,是用于做二分类的。那什么是分类呢?我们举一个简单的列子,比如一个人患感冒病受很多因素的影响,比如有天气的温度、自身的身体条件、还有是否熬夜等等,这些各个因素我们就可以看成是各个自变量x,虽然自变量x包括很多因素,有很多个值,但是最后得出的因变量y值就只有了两个结果,要么患病,要么不患病。这就是一个简单的二分类,把最后的结果分成了患病和不患病这两类。

三.如何来求logistic回归的参数呢?

640?wx_fmt=png640?wx_fmt=png640?wx_fmt=png640?wx_fmt=png

四.logistic回归的运用

logistic回归常用于数据挖掘,和对一些经济领域的预测等。列如探讨引发疾病的危险因素,并根据危险因素预测疾病发生的概率等。以胃病病情分析为列。选择两组人群,一组是胃病组,一组是非胃病组。两组人群必有不同的体征和生活方式等。因此因变量就为是否患胃病,自变量就可以包括很多了,比如年龄、性别、饮食习惯等。然后通过logistic回归分析,可以得到自变量的权重,从而可以大致了解到底哪些因素是引起患胃病的因素,就可以预测一个人患胃病的可能性

更多精彩文章:


640?wx_fmt=png

温馨提示: 点击页面右下角“写留言”发表评论,期待您的参与!期待您的转发!